- 易迪拓培训,专注于微波、射频、天线设计工程师的培养
labview双路正弦波信号发生器频率测量方法
录入:edatop.com 点击:
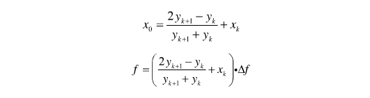
频率测量





能量矩平衡


上一篇:基于LabVIEW的虚拟触摸屏控制面板设计
下一篇:LabVIEW应用-Write
Table
To
Excel
use
ActiveX


