- 易迪拓培训,专注于微波、射频、天线设计工程师的培养
数字万用表测电阻的三种高精度方法
四线测量法
在利用数字万用表测电阻的过程中,技术人员为了提升对小于100Ω的小电阻的精确测试,常常会用到四线测量法。所谓的四线测量法,就是将恒流源电流流入被测电阻R的两根电流线和数字万用表电压测量端的两根电压线分离开,使得数字万用表测量端的电压不再是恒流源两端的直接电压,其操作原理如图1所示。

图1
从图1所给出的测试原理图中可以看出,在利用四线测量法完成数字万用表测电阻的精确测试过程中,这一方法比通常的测量法多了两根馈线,断开了电压测量端与恒流源两端连线。由于电压测量端与恒流源端断开,恒流源与被测电阻Rx、馈线RL1、RL2构成一个回路。送至电压测量端的电压只有Rx两端的电压,馈线RL1、RL2电压没有送至电压测量端。因此,馈线电阻RL1和RL2对测量结果没有影响。馈线电阻RL3和RL4对测量有影响,但影响很小,由于数字万用表的输入阻抗远大于馈线电阻,所以,四线测量法测量小电阻的准确度很高。
四线测量外加恒流源测量
上文中所提及的四线测量法固然能够帮助工程师完成高精度的万用表测电阻工作,不过,在四线测量过程中,其恒流源电流的精确度把握是非常关键的。在这里建议采用外加的更稳定的恒流源电流。
应注意的是,外加的恒流源电流的大小要与数字万用表恒流源电流的大小相等。我们采用的外加的恒流源电流由高精密基准电压源MAX6250、运放及扩流复合管组成,如图2所示。电压源MAX6250的温漂≤2ppm/℃,时漂ΔVout/t=20ppm/1000h。在这一测量过程中,电流I应当取800μA~1mA,R是极低温漂线绕电阻(若取I=1mA,R=5kΩ),这时I的温漂和时漂相当于MAX6250的水平。
馈线电阻补偿测量法
馈线电阻补偿法是另一种常见的万用表测电阻的高精度测量方式,在工业领域中,如果需要进行高精度的电阻测试,往往会选择采用三线制接法,使被测电阻与接地的线相接。这一测试方法的原理如图3所示。在采用这一技术进行测量时,电流I取800μA~1mA,R是极低温漂线绕电阻(若取I=1mA,R=5kΩ),这时电流I的温漂和时漂相当于MAX6250的水平。
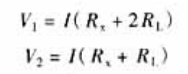
在上图所展示的这一馈线电阻补偿测量法的操作示意图中,当恒流源电流I通过馈线2流入被测电阻,此时馈线1接地,馈线2和3分别接运放A1和A2的输入端。若两运放的增益都为1,其输出电压V1和V2可计算为:

此时,差动放大器A3的输出电压V0可以按下式计算为:

从上式可知,在馈线电阻补偿测量的过程中,馈线电阻上的附加电压加到A3的输入端,通过求差而消除,输出电压仅与被测电阻有关,且成线性关系。不管被测电阻大小如何,误差都能完全补偿。这也就是这一测量方法能够保障数字万用表测电阻的结果保持高精度的原因。
在这种馈线电阻补偿法测量小电阻电路中,测量精确度主要取决于恒流源电流I的精确度和馈线电阻RL的大小是否相等。电路中的运放可选用四通用单运放(LM324)。当用此法测量阻值小于0.5Ω的电阻时,应确保RL完全相等。
以上就是本文针对三种常见的数字万用表测电阻的高精度技术,所进行的总结和分享,希望对各位技术人员的日常工作有所帮助。
上一篇:红外线测温仪都适用于什么行业
下一篇:红外测温仪精确测量温度技巧


