- 易迪拓培训,专注于微波、射频、天线设计工程师的培养
LabVIEW系列——FIR滤波器与IIR滤波器比较
录入:edatop.com 点击:
FIR滤波器
FIR——Finite impulse response,有限冲激响应。
FIR滤波器,也可称为非递归滤波器,卷积滤波器,滤波器当前输出与当前输入值和以前输入值有关。公式如下:

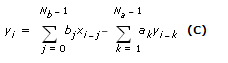
IIR滤波器
IIR——Infinite impulse response,无限冲激响应。
IIR滤波器,也可称为递归滤波器,滤波器当前输出不仅与当前输入值,以前输入值,还与以前输出值有关。因此IIR滤波器的冲激响应趋向与0,当永远不为0,这是和FIR滤波器的区别之一。
公式如下:


以下通过试验证实:




