- 易迪拓培训,专注于微波、射频、天线设计工程师的培养
一种低温漂输出可调带隙基准电压源的设计
录入:edatop.com 点击:
在A/D和D/A转换器、数据采集系统以及各种测量设备中,都需要高精度、高稳定性的基准电压源,并且基准电压源的精度和稳定性决定了整个系统的工作性能。电压基准源主要有基于正向VBE的电压基准、基于齐纳二极管反向击穿特性的电压基准、带隙电压基准等多种实现方式,其中带隙基准电压源具有低温度系数、高电源抑制比、低基准电压等优点,因而得到了广泛的应用。
本文在基于传统带隙电压基准源原理的基础上,采用电流反馈、一级温度补偿等技术,同时在电路中加入启动电路,设计了一个高精度、输出可调的带隙基准电压源,并在SMIC 0.25μmCMOS工艺条件下对电路进行了模拟和仿真。
1 带隙基准电压源工作原理与传统结构
带隙基准电压源的原理就是利用PN结电压的负温度系数和不同电流密度下两个PN结电压差的正温度系数电压VT相互补偿,使输出电压达到很低的温度漂移。
1.1 带隙基准电压源工作原理
图1为温度对二极管伏安特性的影响。
可以看出,温度升高,保持二极管正向电流不变时所需正向偏压减小,温度系数为:-1.9 mV/℃~2.5 mV/℃。
PN结电流与外加电压的关系为:

图2(a)为带隙电压基准源的原理示意图。

结压降VBE在室温下温度系数约-2.0 mV/K,而热电压VT(VT=k0T/q),在室温下的温度系数为0.085 mV/K,将VT乘以常数k并与KBE相加,可得到输出电压Vref为:

将式(1)对温度T进行一次微分,并在室温下等于0(输出电压在室温下的理论温度系数等于0),解得常数k,即

1.2 传统带隙基准电压源结构
图2(b)是传统的CMOS带隙电压基准源电路,图中运算放大器的作用是使电路处于深度负反馈状态,从而让运算放大器两输入端电压相等。
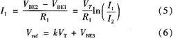
在电路稳定输出时:

由式(3)、式(4)得:

式中:k为常数,

由于实际的运算放大器存在一定的失调电压VOS,所以实际输出电压为:

由式(7)可得,运算放大器的失调电压会导致比较大的基准输出电压误差。运算放大器的失调电压VOS包括自身的失调、电源电压变化引起的失调、工艺不匹配引起的失调及温度引起的失调,其中自身的失调占主要作用,所以在大多数带隙基准源电路中,一般采用两级高增益运算放大器作为反馈运放,以降低失调电压。传统带隙基准电压源结构虽然能输出比较精确的电压,但是所得到的精度有限,而且其基准电压范围有限(1.25 V左右),要想克服上述问题和限制,必须对传统基准源的结构有所改进。 [p]
2 CMOS带隙基准电压源电路结构
本设计是在SMIC 0.25μm CMOS工艺基础上完成的,设计中采用了一级温度补偿、电流反馈等技术。其电路结构如图3所示(不考虑虚线框R5部分)。
BGR核心电路中,晶体管Q1、Q2为使用标准CMOS工艺制造的二极管连接形式的PNP纵向三极管(BJT)。Q2和Q1的发射极面积的比为N,流过Q1和Q2的电流相等,这样△VBE就等于VTln(N)。流过电阻R1的电流I4是与热力学温度成正比的。流过M2、M3、M4的电流相等(I1=I2=I3),所以

参考电压Vref为:

通过调节R3与R1的比值和Q2与Q1发射极面积的比值,可以使输出电压参考在室温下的温度系数为0。

本设计还具有输出可调的特点,设计中采用文献[2]提到的在运算放大器两输入端与地之间加电阻的方法。由式(9)可看出,在调节了k值

后,可以方便地调节R4的值来调节参考电压的输出大小,正是由于运算放大器两输入端的接地电阻R2、R3的增加,使得总的镜像电流通过电阻R4后可以方便地改变输出大小,相比文献[3]中的二次分压结构更简单,更节省面积。
该带隙基准源的电流源不仅用于提供基准输出所需的电流,也用于产生差分放大器所需的电流源偏置电压,大大简化了电路的版图。设计中采用了高增益NMOS差分对运算放大器,根据文献[4],实验仿真结果显示,对于电源电压的直流变化,低电源抑制比的运算放大器也能实现电压跟随,Vref输出稳定。而在电源电压有交流干扰、特别是信号频率较高(>30 MHz)时,Vref输出端也有同频的交流信号,幅度近似于电源干扰信号的幅度,这时Vref已不能认为是恒定的输出。原因是运算放大器输出信号与电源信号之间存在明显的相位差。解决的方法有两种:第1种是提高运算放大器的单位增益带宽;第2种是降低运算放大器本身的PSRR(电源抑制比)。第1种方法会增大电路消耗的功率,对于第2种方法,我们采用低PSRR(电源抑制比)的运算放大器就可以实现,相比于文献[5]中使用的PMOS差分对运算放大器,我们采用相对较低PSRR的NMOS差分对运算放大器。
本设计中还增加了带隙基准源的启动电路,因为带隙基准源存在两个电路平衡点,即零点和正常工作点,当电路处在零点时,整个电路中没有电流流过,电路不能正常工作。启动电路应满足两个方面的要求:一是确保总有电流流过参考源中的晶体管,使得零状态处的环路增益大于1,避免陷入零状态;二是参考源启动后,启动电路不应干扰参考源的正常工作。当基准源工作在零点时,节点N1、N2的电压等于0,基准源没有电流产生。启动电路的目的就是为了避免基准源工作在不必要的零点上。本文设计了图3中所示的启动电路,电路由M11、M12和M13构成。当电路工作在零点时,N2点电压为0,M13管导通,迅速提高节点N1、N2的电压,产生基准电流;这时节点N1的电压通过M11和M12组成的反相器,使M13管完全截止,节点N1、N2的电压回落在稳定的工作点上,基准源开始正常工作而启动电路中没有电流流过。
3 电路模拟和仿真结果
基于0.25μm BSIM3V3.2工艺模型,用cadence的spectre仿真工具对高精度输出可调带隙基准电压源电路进行了温度扫描和电源抑制比的模拟仿真。温度范围为-20℃~70 ℃,电源电压范围为2 V~3 V。在SMIC 0.25μm BSIM3V3.2工艺tt模型下的仿真所得结果为:输出Vref为1.012 V左右时,温度系数可达4.8×10-6/℃(如图4(a)所示),PSRR可达54 dB(如图4(b)所示);输出Vref1为453.7 mV左右时,温度系数可达4.4×10-6/℃(如图5(a)所示),PSRR为42 dB(如图5(b)所示)。


4 结束语
本设计是在传统带隙基准电压源理论的基础上,对电路进行改进而得到的高精度、输出可调的基准电压源,在设计中采用了一级温度补偿、电流反馈等技术,并在电路中增加了启动电路。仿真结果显示该设计温度系数高,可输出不同范围稳定的基准电压,达到预期的设计目标。
本文在基于传统带隙电压基准源原理的基础上,采用电流反馈、一级温度补偿等技术,同时在电路中加入启动电路,设计了一个高精度、输出可调的带隙基准电压源,并在SMIC 0.25μmCMOS工艺条件下对电路进行了模拟和仿真。
1 带隙基准电压源工作原理与传统结构
带隙基准电压源的原理就是利用PN结电压的负温度系数和不同电流密度下两个PN结电压差的正温度系数电压VT相互补偿,使输出电压达到很低的温度漂移。
1.1 带隙基准电压源工作原理
图1为温度对二极管伏安特性的影响。
可以看出,温度升高,保持二极管正向电流不变时所需正向偏压减小,温度系数为:-1.9 mV/℃~2.5 mV/℃。
PN结电流与外加电压的关系为:

图2(a)为带隙电压基准源的原理示意图。

结压降VBE在室温下温度系数约-2.0 mV/K,而热电压VT(VT=k0T/q),在室温下的温度系数为0.085 mV/K,将VT乘以常数k并与KBE相加,可得到输出电压Vref为:

将式(1)对温度T进行一次微分,并在室温下等于0(输出电压在室温下的理论温度系数等于0),解得常数k,即

1.2 传统带隙基准电压源结构
图2(b)是传统的CMOS带隙电压基准源电路,图中运算放大器的作用是使电路处于深度负反馈状态,从而让运算放大器两输入端电压相等。
在电路稳定输出时:

由式(3)、式(4)得:

式中:k为常数,

由于实际的运算放大器存在一定的失调电压VOS,所以实际输出电压为:

由式(7)可得,运算放大器的失调电压会导致比较大的基准输出电压误差。运算放大器的失调电压VOS包括自身的失调、电源电压变化引起的失调、工艺不匹配引起的失调及温度引起的失调,其中自身的失调占主要作用,所以在大多数带隙基准源电路中,一般采用两级高增益运算放大器作为反馈运放,以降低失调电压。传统带隙基准电压源结构虽然能输出比较精确的电压,但是所得到的精度有限,而且其基准电压范围有限(1.25 V左右),要想克服上述问题和限制,必须对传统基准源的结构有所改进。 [p]
2 CMOS带隙基准电压源电路结构
本设计是在SMIC 0.25μm CMOS工艺基础上完成的,设计中采用了一级温度补偿、电流反馈等技术。其电路结构如图3所示(不考虑虚线框R5部分)。
BGR核心电路中,晶体管Q1、Q2为使用标准CMOS工艺制造的二极管连接形式的PNP纵向三极管(BJT)。Q2和Q1的发射极面积的比为N,流过Q1和Q2的电流相等,这样△VBE就等于VTln(N)。流过电阻R1的电流I4是与热力学温度成正比的。流过M2、M3、M4的电流相等(I1=I2=I3),所以

参考电压Vref为:

通过调节R3与R1的比值和Q2与Q1发射极面积的比值,可以使输出电压参考在室温下的温度系数为0。

本设计还具有输出可调的特点,设计中采用文献[2]提到的在运算放大器两输入端与地之间加电阻的方法。由式(9)可看出,在调节了k值

后,可以方便地调节R4的值来调节参考电压的输出大小,正是由于运算放大器两输入端的接地电阻R2、R3的增加,使得总的镜像电流通过电阻R4后可以方便地改变输出大小,相比文献[3]中的二次分压结构更简单,更节省面积。
该带隙基准源的电流源不仅用于提供基准输出所需的电流,也用于产生差分放大器所需的电流源偏置电压,大大简化了电路的版图。设计中采用了高增益NMOS差分对运算放大器,根据文献[4],实验仿真结果显示,对于电源电压的直流变化,低电源抑制比的运算放大器也能实现电压跟随,Vref输出稳定。而在电源电压有交流干扰、特别是信号频率较高(>30 MHz)时,Vref输出端也有同频的交流信号,幅度近似于电源干扰信号的幅度,这时Vref已不能认为是恒定的输出。原因是运算放大器输出信号与电源信号之间存在明显的相位差。解决的方法有两种:第1种是提高运算放大器的单位增益带宽;第2种是降低运算放大器本身的PSRR(电源抑制比)。第1种方法会增大电路消耗的功率,对于第2种方法,我们采用低PSRR(电源抑制比)的运算放大器就可以实现,相比于文献[5]中使用的PMOS差分对运算放大器,我们采用相对较低PSRR的NMOS差分对运算放大器。
本设计中还增加了带隙基准源的启动电路,因为带隙基准源存在两个电路平衡点,即零点和正常工作点,当电路处在零点时,整个电路中没有电流流过,电路不能正常工作。启动电路应满足两个方面的要求:一是确保总有电流流过参考源中的晶体管,使得零状态处的环路增益大于1,避免陷入零状态;二是参考源启动后,启动电路不应干扰参考源的正常工作。当基准源工作在零点时,节点N1、N2的电压等于0,基准源没有电流产生。启动电路的目的就是为了避免基准源工作在不必要的零点上。本文设计了图3中所示的启动电路,电路由M11、M12和M13构成。当电路工作在零点时,N2点电压为0,M13管导通,迅速提高节点N1、N2的电压,产生基准电流;这时节点N1的电压通过M11和M12组成的反相器,使M13管完全截止,节点N1、N2的电压回落在稳定的工作点上,基准源开始正常工作而启动电路中没有电流流过。
3 电路模拟和仿真结果
基于0.25μm BSIM3V3.2工艺模型,用cadence的spectre仿真工具对高精度输出可调带隙基准电压源电路进行了温度扫描和电源抑制比的模拟仿真。温度范围为-20℃~70 ℃,电源电压范围为2 V~3 V。在SMIC 0.25μm BSIM3V3.2工艺tt模型下的仿真所得结果为:输出Vref为1.012 V左右时,温度系数可达4.8×10-6/℃(如图4(a)所示),PSRR可达54 dB(如图4(b)所示);输出Vref1为453.7 mV左右时,温度系数可达4.4×10-6/℃(如图5(a)所示),PSRR为42 dB(如图5(b)所示)。


4 结束语
本设计是在传统带隙基准电压源理论的基础上,对电路进行改进而得到的高精度、输出可调的基准电压源,在设计中采用了一级温度补偿、电流反馈等技术,并在电路中增加了启动电路。仿真结果显示该设计温度系数高,可输出不同范围稳定的基准电压,达到预期的设计目标。
上一篇:频率计算器工具简化混合信号测试设置
下一篇:基于通信技术在三坐标测量系统中的应用


