- 易迪拓培训,专注于微波、射频、天线设计工程师的培养
基于凌华PCI-9846高速数字化仪的复杂超声场自动检测与分析
该研究为复杂医学超声传感器的设计与超声场自动测量分析及参数建模领域
• 挑战
为了适应人体组织结构的特点,医学超声换能器的设计正向复合声场方面发展,复杂超声场的测量与建模是业界公认的难题。传统的超声场测量信号采集效率低,不能进行信号的自动采集分析,更不能满足复杂超声场的参数评估与准确建模,制约了复杂医用超声换能器的设计与应用。为了适应复杂超声换能器设计和应用的要求,迫切需要研究一种适合复杂超声场信号的自动检测与分析系统,以解决复杂超声场的计算建模及实际测量中存在的诸多困难。
• 解决方案
以凌华科技PCI-9846高速数字化仪为中心,组合前置放大器与水听器,用LabVIEW开发高效声场信号采集系统,通过高效的数据采集模块,将三维声场的声压数据实时显示和保存。设计、制作步进电机驱动的四轴精密工业机器人系统,开发自动控制与自动测量系统,实现超声场任意部位的立体定位,实现机器人测量点自动定位控制和数据采集之间的协调。开发声场测量数据的回放及多功能综合分析系统,可视化显示结果。
1. 应用背景
医用超声诊断和治疗设备已经成为医疗卫生事业中不可或缺的组成,尤其是对患者的健康生活起着重要的作用。在超声诊断和治疗中都离不开超声换能器这一重要的器件。因此对其声场特性和频率等性能的准确测定,需要引起超声设备研究人员和换能器生产单位的足够重视。现在国内对声换能器性能的全面测试还没有普及,尤其是与国外产品相比,有的制造者不能对其生产的换能器提供可靠的性能数据,价格,性能,稳定程度的差距不小,成为国内超声换能器设备研制和生产工艺的瓶颈[1]。
面对复杂的医疗临床要求,超声设备对换能器的选型和设计的要求也越来越高,而在使用过程中,由于压电材料自身的特性和其它原因,如温度变化大,保存不规范和操作失误等,有可能使换能器性能受损。如果在这种不知情的情况下继续使用,容易造成医疗事故和漏检等,其治疗和诊断效果的可靠性都很难保证,带来的后果和损失也不堪设想,因此急需设计合理检测超声换能器声场特性的系统和方案。超声的物理特性研究是超声生物效应研究的基础,随着超声技术应用更广泛,目前国内外开展了许多对超声辐射的生物效应的研究课题,特别是如换能器频率,输出功率,辐射时间等是如何与组织相互作用的,这方面取得了很多的研究成果,超声辐射场的特性也倍受人们的重视。虽然超声工程中各种新技术不断发展,但是可视化成像技术和计算机应用仍然是医学超声工程中的薄弱缓解,因此需要在硬件设备和软件开发的基础上自主创新,加快超声场的测量和建模仿真的研究。
生物医学超声工程中对超生辐射声场特性的研究,主要包括两个方面:一方面开发基于计算机辅助计算的仿真软件上,另一方面研究进行超声实际测量的多功能系统。目前生物医学超声的自动检测系统还不多见,超声的自动检测主要是应用于工业探伤检测,如浙江大学开发的无损检测工艺制定专家系统(CAPPNDT) [2],冶金部压力容器检测站研制的无损检测的专用软件NDTS[3]等,将机电一体化的自动控制技术应用于超声信号的采集,量化处理的研制。虽然目前针对医疗超声技术应用的超声测量和仿真系统的理论研究还鲜见报道,但也有一些公司研发相关的超声医疗设备,如fluke的Sonora超声声场检测系统等。
2.面临的问题
虽然目前对超声换能器声场性能的测量进行了许多研究工作,但是测量过程中普遍使用示波器人工方法,效率低,机械化程度差,人为误差大,严重影响了检测结果的精确性和可信性。随着超声设备在医学诊断和治疗中的应用越来越广泛,对超声换能器的功能要求更多元化和精确化。
为了适应人体组织结构的特点,医学超声换能器的设计正向复合声场方面发展,复杂超声场的测量与建模是业界公认的难题。特别对于组合阵列换能器和复频率换能器的设计和测试评估中,通过先进的超声场自动检测技术可以节省检测时间和经费;另外,由于医疗应用中传播超声的介质是生理材料,具有特殊性如非均质和各向异性的需要,对超声波诊断和治疗中换能器使用的方案和参数设计提出了更高的要求,因此,必须对超声换能器发射声场的物理作用作深入的研究。传统的超声场测量信号采集效率低,不能进行信号的自动采集分析,更不能满足复杂超声场的参数评估与准确建模,制约了复杂医用超声换能器的设计与应用。为了适应复杂超声换能器设计和应用的要求,迫切需要研究一种适合复杂超声场信号的自动检测与分析系统,以解决复杂超声场的计算建模及实际测量中存在的诸多困难。
3. 解决方案
本文设计和开发以凌华科技PCI-9846高速数字化仪为信息采集中心,组合前置放大器与检测传感器,用LabVIEW开发高效声场信号自动采集与分析系统,通过高效的数据采集模块,将三维声场的声压数据实时显示和保存。设计、制作步进电机驱动的四轴精密工业机器人系统,开发自动控制与自动测量系统,实现超声场任意部位的立体定位与数据采集之间的协调。开发声场测量数据的回放及多功能综合分析系统,可视化结果显示。实现超声换能器性能指标的快速准确地测量,并建立超声辐射场的建模仿真分析系统,以减轻测量人员的劳动强度,缩短计量检定的工作时间,提高超声换能器设计和使用的规范化,标准化和结果的可信度。
3.1 超声信号采集与分析
1)信号采集单元:超声信号采集以高速数据采集卡为中心,联合前置放大器与信号采集传感器,再经计算机平台的信号采集软件实现信号的采集。
在超声信号采集中,使用宽带灵敏度较好的水听器接收微伏级的电压信号,然后采用带通滤波选择采集的频率范围,再经前置放大器放大后进预处理,由高速数据采集卡A/D转换输入计算机中保存和显示。采集过程中,采样频率和带宽是重要指标。带宽一般是取频率谱的-3dB带宽,或者功率谱上的半功率点为信号带宽。超声信号采集的带宽直接影响整个设备的总分辨率,灵敏度和信噪比等。带宽范围大可以使接收到的信号频谱丰富,高频分量丢失小,波形失真小。在医用超声设备中,要尽量利用超声发射和接收换能器带宽,提高分辨力,同时又具有较高灵敏度和信噪比,使发射和采集电路的带宽要大于超声换能器的带宽[4]。采集的信号频谱确定在5M以下。信号采集方案原理图见图3-1。

2)主要设备选型
高速数据采集卡采用凌华科技科技高速高分辨数字化仪PCI-9846H,它具有4通道16位高精度、40MS/s的采样率,具有低噪音及高动态范围性能,信号采集精度及密度高,可广泛应用与中频信号、雷达应用、光达应用、超声波信号以及无损伤检测方面。该数字化仪完全可以满足应用需求。
水听器选用海鹰ZS-500型针式水听器频率响应范围100K-5M。常用的超声信号采集传感器有PVDF薄膜型和针式水听器[5],由于薄膜型水听器在空间分辨率低,而且存在边缘效应,受温度限制等特点,本研究测量方法是高密度逐点自动扫描法,因此选择针式水听器作为信号采集传感器,直径小于1mm,具有灵敏度高等特点。前置放大器选用鹏翔科技PXPA Ⅳ声信号采集放大器,该放大器带宽范围为15k-2M、低噪音增益40dB,完全可以满足超声信号采集的前置放大要求。
3)超声信号分析
对超声瞬态的时域信号进行频谱分析时,保证信号处理中不会发生失真。为了减弱有限采样长度的超声波信号造成“泄露”现象,可以通过加时间窗函数的方法,有效防止频谱混叠,还可以抑制噪声,提高频率识别能力。调节超声发射换能器和水听器的距离,保持换能器轴线和回波声束共轴;调整表面回波信号的采样频率和采样点数,经过模拟数字数据离散处理,对采样的点数进行FFT转换;根据测得的波形幅度数据,经处理后,画出负载的频率响应曲线;计算超声换能器的频率特性参数,如中心频率。测量声场的关键参数包括声压,声强和声焦域等,相应描述声场的基本形式主要有轴线声压曲线图,焦平面径向声压曲线图,焦平面声场。在声场测量中会生成海量的数据,需要利用可视化技术。该技术将复杂的计算和仿真结果用具体形象的图形方式表示,加深了对数据的理解和规律分析,提高了处理效率,可以分析试验过程的变化,LabVIEW可视化技术为复杂超声换能器的分析和设计提供了有力的工具[6]。
3.2 超声场自动测量定位
整个测量过程的控制和测量点的定位是由一个成都海葳科技直角坐标机器人完成,其中将运动控制和数据采集模块有机地联系在一起,一方面控制机械臂带动水听器作自动扫描运动,另一方面控制信号采集模块采集信号,并对采集的数据进行后处理和可视化显示。整个自动控制平台是用LabVIEW系统开发,结合控制和测量的硬件,建立人机交互界面,完成对硬件的控制,数据分析和显示。自动测量控制平台的结构见图3-2。 [p]

根据超声辐射场测量和分析的需要,分为测量模块和分析模块。测量功能模块包含有上位机控制平台和数据实时处理平台。在综合分析平台中根据声场描述的需要,将采集到的电信号,转换成声压或声强值,并且将转换的值投影到对应的采集区域,采用可视化技术直观显示声场分布的变化规律。
进行自动测量最主要的是运动控制模块,数据采集控制模块。运动控制模块和采集模块的功能是与下位机DMC2410四轴运动卡和信号采集单元通讯,通过硬件组件提供的动态连接库DLL,向运动控制卡和数字示波器发送或提取需要的信息,驱动X、Y、Z轴步进电机运动,达到快速准确测量的目的。因此该模块的一端与硬件提供的动态链接库的DLL相连,能够从硬件系统中获得软件系统所需要的信息,如超声接收传感器的位置信息,即机器人X、Y、Z 轴的位置坐标,和采集到的超声波信息,并把信息进行基础的处理后传送给显示输出模块进行显示和输出,其原理框图如下图3-3所示。在进行数据结构和软件框架的设计上,要考虑人机界面友好,硬件控制和纠错功能要完善,还包括数据显示模块,数据可视化模块等。

4.系统功能实现
系统功能按照上述设计方案全部实现,按自动采集定位控制及信号采集分析分别分两步实现。根据实际测量的需要,根据功能不同分为四个部分,水听器定位,单轴扫描,三维扫描和声谱分析控制平台。
数据采集模块是该系统的核心,该模块的开发要首先下载凌华科技科技提供的PCI-9846H相关的LabVIEW支持函数库,并加载到LabVIEW工具库中(见图4-1),然后可以很方便的与原工具一样编制采集程序。实现了4通道数据的高速采集模块,并实现了该模块内置的在线观察预处理功能,如多参数滤波器、功率谱、频谱分析与幅值、频率等参数的测量(见图4-2)。同时该模块还实现了多种时域、高阶谱、短时傅里叶变化与小波等分析方法,可以对采集到的信号根据需要进行以上预处理,并进行同步三维显示,然后传到后面的三维声场自动分析模块进行建模分析。该模块可以作为单独的4通道超声信号采集与分析使用,可以将数据以文本、数据文件格式存储,也可以将存储的数据回放分析。将该模块作为一个LabVIEW超声信号采集类使用,将其植入相应的数据节点,用于后面的综合分析。

实现直线扫描运动控制,平面扫描运动控制,和三轴立体扫描空间运动控制,以一步一停的运动方式逐点采集数据。可以快速将传感器移动到需要采集的区域,然后从以上信号采集功能模块的数据节点读取数据,观察传感器所在位置的电信号变化,并定量判断该点的声压值。声场自动定位定位功能模块的参数控制面板见图4-3。

单轴扫描,三维扫描和声谱分析软件,是测量声场空间分布和时频特性的专用软件。单轴扫描可以显示在X,Y,Z方向上每个测量点的声压或声强沿直线方向的分布曲线图,通过与设计的各轴向声场分布理论值比较,可快速对超声换能器的性能作出评估。

三维扫描软件能详细描绘整个三维空间和XY,XZ,YZ平面上的声场分布的情况,由于空间分辨率高,可以显示平面上的微小变化,通过不同声压或声强与颜色的对应关系,可以直观看出声场在空间的变化规律,为研究和工程人员提供可靠精确的分析途径,其应用界面见图4-5、6。
频谱分析采用离散傅里叶变换,对采集的声场电信号处理。利用频谱分析方法可研究高频超声信号的频域分布(见图4-6),对超声场全面了解,也是换能器性能测定的重要指标。 [p]


系统整合了精密机器人,硬件和各软件子系统的组成声场自动化测量系统。在实际测量中,利用其高空间分辨率和实时准确性,可对超声换能器的声场特性和频率特性准确测定,及理论模型的建立提供了有效数据。
5.系统功能的验证
为了验证系统的主要功能,选择一标准的凹球壳自聚焦超声换能器,连续波超声功率源驱动进行超声场声压分布参数的验证测试。换能器设计的几何参数分别为:换能器辐射面出口半径r=30mm,球壳曲率半径R=90mm,辐射中心频率f=1.3MHz,水介质的声速取1500m/s。测量声场的关键参数包括声压,声强和声焦域等,相应描述声场的基本形式主要有轴线声压曲线图,焦平面径向声压曲线图,焦平面声场曲面图,焦斑三维立体图。
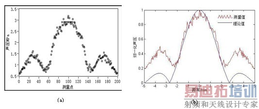
经过测试换能器轴线声压曲线图显示了轴线上声压幅值随距离的变化的规律。水听器初始位置为声束中心轴线距离换能器40mm,经逐点扫描到140mm处结束,各点间距为0.5mm,测量值与理论值验证的结果如图5-1所示:

图5-1 轴向声压分布的理论值与测量值;(a)本文系统的实际测量值 (b)聚焦超声场理论模型仿真值和测量值比较
图5-1(a)是本文开发的系统的实际测量的数据值,该数据点是由机器人单轴扫描方式测试而得。图5-1(b)是在轴向上根据经典声场轴向声压分布模型建模计算的声压理论值与实测值比较的结果,波动的曲线是实际测量值,光滑实线是理论模型值。由模型可知在焦点以外的声压分布显示为低能量振荡,并逐渐衰减,而且在近场区和远场区的衰减幅度并不对称。测试结果显示测量值与理论值在主峰处拟和得很好,但是在旁瓣处,测量的声压值偏大,主要由于高频超声换能器在连续脉冲的激励下产生复杂的谐波,水听器和凌华科技9846H数字化仪响应频率范围宽,检测到的多种谐波频率分量叠加产生的能量,而理论模型和手工示波器检测固定在一个核心频率处,使信息不全。
由于发射换能器为凹球壳面,传播的波面也为球面,可以测量在焦平面一条直径的声压曲线图,作为超声场分布的一个特性,反映了沿径向声压幅值随距离的变化规律,扫描各点间距为0.05mm,实验结果如图5-2所示。

图5-2 焦平面面径向声压分布的理论值与测量值比较结果;(a)测量系统的实际测量值 (b)聚焦超声场理论模型仿真值和测量值比较结果
图5-2(a)是本文系统的实际测量的数据点,该数据是由单轴扫描方式测得。图5-2(b)是在焦平面径向上经经典声压理论建模计算的值与实际值比较结果。波动的曲线是实际测量值,光滑实线是理论模拟值,可见焦平面声压分布是振荡而且沿中心点对称分布的。从图5-2(b)理论值与实际测量值比较结果可知,主峰处拟和得比较好,但是在旁瓣处,实际测的值丰富,原因仍是由于超声换能器有复杂的谐波,水听器与凌华科技9846H数字化仪频率响应宽,可采集到谐波能量,理论模型只是核心频率建立的模型。
在焦平面上,按规定的扫描路径,顺序测量声场中各点的声压值,扫描步距为0.5mm,实验结果和焦平面的理论模型如下图5-3所示:

图5-3 测试换能器焦平面声压分布的实际测量值(a)与声场理论模型仿真值
图5-3图中(a)图是基于精密机器人测量和分析系统的实际测量的焦平面数据点,该数据点是由机器人声场扫描运动软件测试并保存,经测量超声声场分析软件处理而得。(b)图是由在焦平面上建模计算的声压理论值。从焦域的二维模型可知,焦平面上声压的能量比较集中,声压沿径向是振荡衰减的,非焦点区域的能量分布很低,而且单频凹球壳的声场在焦平面是沿超声换能器的主轴线中心对称分布的。比较实际值与理论值可知,在聚焦区域的主峰处拟合很好,在非聚焦区域实际测量值更丰富,表现出凌华科技PCI-9846H良好的宽带频率响应,使采集到的数据比单频率的理论模型贴切实际情况,对换能器设计参数及制作工艺及产品质量评估及安全使用有重要的意义。
6. 结论
通过验证试验可见,以凌华科技9846高性能数字化仪为中心的,超声信号采集与分析系统可满足超声场自动测量与建模的应用,使信号采集的精度、速度,及参数的测量比以往有很多的改进。本文以凌华科技PCI-9846高速数字化仪为中心,组合前置放大器与水听器,开发高效声场信号采集系统,通过高效的数据采集模块,将三维声场的声压数据实时显示和保存。通过电机驱动的四轴精密工业机器人系统,实现了自动控制与自动信号采集与测量系统,实现了超声场任意部位的立体定位及测量点自动定位控制和数据采集之间的协调。实现了声场测量数据的回放及多功能综合分析系统及三维声场的可视化分析与显示。
该超声场自动化测量系统,对声场的分布参数和频率特性进行了准确可靠的测量。测量结果显示,测量点可达到较高的高空间分辨率,能精确快速的完成声场检测,使采集到得超声场信号谱更广。经过验证试验验证了测量功能的的准确性,通过可视化图形显示,对数据分析更直观,全面和精确,为超声换能器的性能评估及超声场人体的生物效应建模提供了有效的参数。


