- 易迪拓培训,专注于微波、射频、天线设计工程师的培养
分光光度色差计测量光通量的原理和装置
录入:edatop.com 点击:
目前市场流行精度最好的色差计都是分光光度类,国产色差计目前为止还没分光光度色差计,但是三恩驰今年三月将会推出国产首款分光光度色差计,目前正在紧锣密鼓的测试中……那么分光光度色差计与一般色差计的区别在哪里呢,这里我们呢很珍惜一下。
分布光度色差计与积分球的比较:
1.积分球:测试方法简单,但条件限制多,测量误差大;高功率的光源测总光通量时会将测试仪器损坏或烤焦球壁。
2.分光光度色差计:不论功率多大,发热量多高均可用分光光度色差计测量,只是测试装置比较复杂,价格高。(测试时间由于引入了计算机已得到了改善)
工作原理
由光通量定义有:
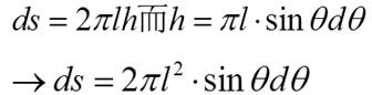
设想一闭合球面包围光源,将球面分割成若干面积元S1、S2、S3……测出各个面积元上所对应的照度为E1 、E2 、E3……求出各个面元上的光通量为E1S1 、E2S2 、E3S3 ……
再求和即可得到总的光通量为:

即为分光光度色差计计的工作原理
每个球带的面积为:

总光通量为:


对比说明简单明了的说出了分光光度色差计与积分球类色差计的区别,分光光度色差计的优点可以说一目了然,未来色差计市场将会全面想着分光光度色差计转变。


