- 易迪拓培训,专注于微波、射频、天线设计工程师的培养
帮你检测空调的风速传感器设计
1 数学模型的建立
1.1 Ptl00的温度特性
铂热电阻是国际公认的成熟产品,它因性能稳定、抗震性好、精度高而被广泛使用。下面是Ptl00电阻随温度变化的关系:

式中Rt为温度在t℃时铂热电阻的电阻值;R0为0℃时铂热电阻的电阻值;A=3.968×10-3;B=-5.847×10-7;C=-4.22×10-12。在0~100℃范围内,B值作用不明显,Rt与R0近似成线性关系,即Rt=R0×(1+At)。
1.2 Ptl00的热平衡方程
当一个被加热的物体置于流体中,该物体的热量损失主要是热辐射和热对流。在温度较低,辐射散热可以忽略不计的情况下,物体的热量传递主要是热对流。当流体的速度增加时,物体的热量损失亦增加。如果以电的方式给铂热电阻加热,那么铂热电阻将达到一个由流体流速所确定的平衡温度。
我们采用铂热电阻作为加热对象。由于温度的变化引起铂热电阻本身阻值的变化,从而可以通过桥式电路建立流体速度和桥式电路输出电压的数学模型。利用此原理来进行风速的测量。
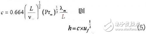
对流换热是指流动的流体流过静止的固体界面时,由于两者的温差而发生的热传递过程。当空气流过铂热电阻时,其单位时间内传热量为:

其中h为对流换热系数;A为对流面积:△t为流体和界面温度差。
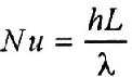
根据传热学有努塞尔特征数
和流体沿界面流动全部为层流的公式
可知:
其中uf为流体的速度;L为界面长度:vm为平均运动黏度;Prm对于空气约等于0.710,λm为平均导热系数。令
则 电流给热阻加热时,其功率为。当热阻单位时间内产热W和φ相等时,即热阻达到热平衡状态。

由上述得出下面结论:当热阻温度和环境温度一定时,电流和风速的1/4次方成正比。
2 电路工作原理
如图所示电路,两条支路a和b两端电压相等,根据热功率公式可知,其产热效率约为支路a的1/10。因此,在考虑由于热功时可以忽略电流对b支路的影响。

风速为0m/s时,设计R2和Ptl000阻值之比小于R1和(Ptl00+R3)之比,放大器输出低电平,晶体管基极电位降低,晶体管Ql集电极电流增大,由于两个半桥的分流比约为10:1,由并联电路分流原理知Ptl00电流增大,使得铂热电阻阻值增加,c点电压降低,最终反馈电路调解使c点电位和d 点接近,达到平衡状态,并以c点电压作为表征风速的输出值。当风速增大时,对流散热增加,Ptl00温度降低,其阻值减小,使得c点电压高于d点电压,放大器输出电压降低,导致晶体管Q1基极电流增加,集电极电流升高使得Ptl00阻值增加,最终达到一新的稳定平衡点。由上述分析可知,风速增大,受控电流增大,端子c输出电压增大。由于采用了差动式测量,且两个测量半桥配置的传感元件同为铂电阻,气体温度对电路测量值的影响可以忽略不计,在不附加其他温度补偿电路的情况下,可以在较宽的温度范围下使用,适合于大多数现场测量环境。 [p]
3 实验结果及误差分析
为了验证所设计的风速测量传感器,搭建了简易的实验验证平台。实验验证平台由EE66-VB5风速计作为标准风速计量单元,对所设计的传感器和测量电路获得的测量数据进行对比。风速计EE66-VB5是一种高精度的风速测量传感器,测量范围:0~2m/s,输出电压:0~10V,风速精度:± (0.1m/s+3%测量值),响应时间:0.2秒,工作温度:-10~+50℃。由于其很高的精度及灵敏度,因此该实验把其测量的值作为真实值,将该风速计和待测量传感器置于相同的环境,在相同的风速下,其测量值和铂热电阻组成的风速传感器测量值做比较。从而分析铂热电阻组成的风速传感器的性能。下面是分别在不同风速下的输出电压,所测部分结果如表1所示。


图2中,由于放大器饱和电压的影响,当输入电压为0V时,其输出电压约为0.25V。经计算,本实验所设计的风速传感器的标准误差为0.085,其偏差主要是因为EE66-VB5探头和铂热电阻采样点的偏筹,以及小风扇风速不稳定性等因素造成的。
4 结论
综上所述,本文阐述了铂热风速传感器的数学模型、电路原理。并且通过对实验数据的具体测量、分析、计算得出本实验风速传感器误差。本实验设计的风速传感器由于具有电路简单,成本低廉,功耗小,较高的精度等特点而具有很强的实用性。可对家用设备如空调、风扇等的风速进行测量,同时还可用在汽车工业等其他行业上用于检测单位时间内的空气流量。
上一篇:复杂的协议使wifi测试变得麻烦
下一篇:精度高成本低的测温方案介绍


