- 易迪拓培训,专注于微波、射频、天线设计工程师的培养
LLC谐振回路电流(tank current)分析与测量
录入:edatop.com 点击:
引言
LLC是前端DC-DC转换器的最佳备选项,它可以满足宽输入电压范围和高效率要求。UCC25600专为使用谐振拓扑结构的DC/DC应用而设计,特别是LLC半桥谐振转换器。这种高度集成的控制器只有8支引脚,并使用小尺寸封装,它可以极大简化系统设计和布局,同时还可以缩短产品上市时间【2】。因此,我们把LLC半桥谐振转换器作为一个例子,来分析谐振回路电流。
谐振回路电流分析
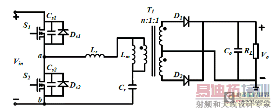
图1为一个LLC谐振半桥转换器电路。
S1和S2为一次MOSFET。
CS1和CS2为MOSFET漏极和源极之间的寄生电容器。
DS1和DS2为MOSFET的体二极管。
Lr和Cr为谐振电感器和谐振电容器。
Lm为变压器的磁电感器。
n为一次和二次线圈的匝数比
二次整流器包含D1和D2。
CO为输出电容器。
RL为负载。
Vin为输入电压,而VO则为输出电压。

图 1 LLC谐振半桥转换器
LLC谐振转换器共有2个谐振频率:一个由Lr和Cr产生,如方程式1所示;另一个由Lr、Lm和Cr产生,如方程式2所示。一般而言,按照设计,正常输入电压时LLC工作在fr频率下,从而实现最佳效率。开关频率大于fr。一次MOSFET的ZVS可以实现,但是二次二极管的ZCS无法实现;它被称作LC串联谐振。当开关频率低于fr但高于fm时,可以同时实现ZVS和ZCS。由于某个时间内会出现Lr、Lm和Cr谐振,因此它被称作LLC串联谐振。在参考文献【3】中,大部分负载范围的开关频率均低于fr,因此本应用报告会对频率低于fr的工作情况进行分析。

图2为fmsr的波形,半周期被划分为四部分。考虑到t2至t3的电压峰值,该周期情况如下图所示。所有方程式表明了功率参数的关系。

图 2 fmsr的波形
在t2下,高侧MOSFET S1被关闭,但低侧MOSFET仍处于关闭状态,因此t2为死区时间之初。在此周期,谐振回路电流无法流经MOSFET;它对CS1充电,然后对CS2放电。CS1和CS2参与谐振。CS1和CS2相等,并且都很小,因此该周期非常短。ZVS迅速达到。在现实系统中,Cr>>CS1,因此在该周期内,VCr几乎不变;可以把它看作是一个DC电压源。图3显示了一个简化版电路。

图 3 t23的简化版电路
所有参数如方程式3和4所示,谐振频率等于方程式5。由于Ceq,fr3远远大于fr1和fr2。

其中,
我们对该周期内谐振回路电流值的变化进行研究,因此要求一个方程式来描述时域谐振回路电流。该周期的实际开始时间为t2,结束时间为t3。为了简化计算过程,假设周期开始时间为0,则结束时间为ta。时间为0时,VCeq的电压为
,谐振回路电流为ILr,因此
。时间ta时,VCeq的电压为
,因此
。
根据方程式3,VCeq(t)为:

其中,p1和p2为常量。我们定义
,因此方程式6可以得到简化。

iLr(t)表示为方程式8。

分别代入方程式7和8中,常量系数p1和p2推导得:

放入方程式6。

根据方程式11,可推导出sin(ωrmt a) 和cos(ωrmt a)。
iLr(ta)如方程式12所示。由于推导得到所有参数,因此可得到iLr(ta)的确切值。 [p]

本周期内谐振回路电流的变化被称作 iLr,其如下所示:

一般而言,谐振回路电流分析常常会忽略 iLr,因为它的值小于谐振回路电流的峰值,并且这种过渡周期远短于开关周期。但是,这种短过渡周期会给测量电路带来噪声。前述方程式可以验证测量结果是否为真。当为假时,应改进测量电路。
谐振回路电流测量方法
要求电流波形时,可使用三种方法来测量电流。
小容限功率电阻
电流变换器(CT)
直接通过电流探针来测量谐振回路电流
第一种方法是小容限功率电阻,其与谐振回路中的其它组件串联。这种电阻必须拥有高分辨率和良好的温度性能。正常情况下,谐振回路通过一个端子连接接地,这样可以减少测量的共模噪声。另外,它还是一种测量谐振回路电流的简单方法。但是,它会增加功耗,特别是在强电流条件下。另一方面,它改变了谐振参数,并使其偏离初始设计。同时,由于要求高性能,因此它的成本价格也很高。

图 4 电流变换器等效模型
第二种方法是电流变换器(CT),其一次侧与谐振回路串联。相比功率电阻(第一种方法),这种方法的电阻较低,并且其功耗也低于功率电阻方法。另外,相比谐振回路的Lr和Lm,CT的磁电感小到可以忽略不计。但是,由于许多寄生参数原因,CT并非是一种最佳解决方案。图4显示了CT的等效模型。由于二次漏电感远大于一次漏电感,因此漏电感设置在二次侧。
图4中:
Cps为一次线圈和二次线圈之间的寄生电容。
Cp为一次侧的寄生电容。
Cs为二次侧的寄生电容。
Lm为CT的磁电感。
R为采样电阻。
当使用硬开关开启或者关闭MOSFET时,电路状态立刻剧烈变化。这时,产生大量的开关噪声。这种噪声通过Cps耦合到CT的二次侧。另外,噪声还流经Cp和Cs。Lm和Lleak也受到影响。如果使用通用电压探针来测量R的电压,则通常会出现一个高电压峰值;但是,如果使用差分电压探针,则Cps耦合的共模噪声被消除,并且仅剩下差模噪声。电压峰值得到了有效降低。然而,差模电压探针测量的波形仍非真正的电流波形。
第三种方法是直接使用电流探针测量谐振回路电流。正常情况下,电流探针拥有较高的带宽,足以进行电源系统检测。例如,Tektronix设计的TCP202便是一种DC耦合电流探针,其拥有高达50MHz的DC带宽。LLC谐振回路电流频率为100kHz。电流探针具有较高的性能,可以显示近似真实的电流波形。只需要一条短线,把它与回路中的其它组件串联在一起,这样便组成了一个最低成本的电流波形观察方法。但是,电流探针测量的电流信号不能用于其它目的,例如:回路控制、保护电路等。
UCC25600 300W EVM演示了前面的分析。图5中,使用不同方法对谐振回路电流进行测量。CH2和CH3均由CT测量,差别是,“差分”电压探针用于对CH2中CT输出端的电压信号进行采样,而“共模”电压探针则用于对CH3中CT输出端的电压信号进行采样。CH4通过电流探针直接测量。图5(b)和5(c)中,单独测量CH2和CH3,但在图5(d)中,同时对它们进行测量。在图5(a)中,相比CH4,可在CH3中看到大电流脉冲,其为严重噪声。在图5(b)和图5(c)中,相比CH3,CH2的电流脉冲得到极大降低,因为消除了共模噪声;但是,差模噪声仍然存在,因此CH2的电流脉冲大于CH4。在图5(d)中,CH2和CH3同时被测量,因为在内部示波器,所有示波器探针接地均连接。CH3的共模噪声会影响CH2。图5(d)中CH2和CH3的波形相同,其表明在图5(b)和图5(c)中,CH3和CH2的共模噪声结果相同。

图5 使用不同方法对谐振回路电流进行测量
根据实验结果,前述分析得到了证实。在低电流条件下使用功率电阻方法,而采样电流信号可用于实现其它功能。在高电流条件下使用CT,采样电流信号可用于实现其它功能。如果给CT添加补偿和滤波器,则效果更好。在所有情况下都可以使用电流探针,但其采样电流信号不可以用于其它功能。
请注意:推荐使用小范围电流探针来测量低电流。同样,推荐使用大范围电流探针来测量高电流。
实验
为了验证第2小节的分析结果,我们使用TI的LLC谐振半桥转换器300W评估模件来获得7组数据。所有参数均经过设计和优化,Lr = 55 μH、Lm = 280 μH、Cr = 24 nF、Cs1 = 340 pF,并且必须测量出Vin, VCr和ILr。
图6显示了谐振回路电流、DS电压和VCr(ZVS期间波形),其中,CH2为谐振回路电流波形。在图6(a)中,CH1为DS电压波形。在图6(b)中,CH1为Cr波形的电压。通过电流探针测量谐振回路电流,并使用差分电压探针来测量DS电压和Cr电压。
表1列出了所有数据:ILr1为ZVS之初ILr的值,ILr2为ZVS结束时ILr的值,而ΔIcal则为通过方程式13到方程20计算的结果。由于这些方程式都太复杂,因此我们使用Mathcad来简化计算。对比ΔI和ΔIcal我们可以知道,ΔIcal接近于ΔI,这表明第2小节中参考文献【3】的分析是正确和合理的。ΔIcal和ΔI的差值由寄生参数和测量误差所造成。

图 6 谐振回路电流、DS电压及ZVS期间VCr波形
表 1 参数值

结论
LLC可以提供宽输入电压范围的高效率。我们分析了LLC的谐振回路电流,并通过大量方程式说明了所有电能参数的关系。文章讨论了三种电流测量方法及其应用、优点和缺点。实验结果证明了分析的正确性。
参考文献
【1】《宽负载范围LLC谐振转换器的高效率优化》,作者:Ya Liu。美国弗吉尼亚州布莱克斯堡:2007年弗吉尼亚理工学院及州立大学硕士学位论文。
【2】《8引脚高性能谐振模式控制器》。2008年9月《TI UCC25600产品说明书》(SLUS846B),2011年7月修订。
【3】LLC谐振半桥转换器300W评估模块。2009年4月《TI 用户指南》(SLUU361)。
LLC是前端DC-DC转换器的最佳备选项,它可以满足宽输入电压范围和高效率要求。UCC25600专为使用谐振拓扑结构的DC/DC应用而设计,特别是LLC半桥谐振转换器。这种高度集成的控制器只有8支引脚,并使用小尺寸封装,它可以极大简化系统设计和布局,同时还可以缩短产品上市时间【2】。因此,我们把LLC半桥谐振转换器作为一个例子,来分析谐振回路电流。
谐振回路电流分析
图1为一个LLC谐振半桥转换器电路。
S1和S2为一次MOSFET。
CS1和CS2为MOSFET漏极和源极之间的寄生电容器。
DS1和DS2为MOSFET的体二极管。
Lr和Cr为谐振电感器和谐振电容器。
Lm为变压器的磁电感器。
n为一次和二次线圈的匝数比
二次整流器包含D1和D2。
CO为输出电容器。
RL为负载。
Vin为输入电压,而VO则为输出电压。

图 1 LLC谐振半桥转换器
LLC谐振转换器共有2个谐振频率:一个由Lr和Cr产生,如方程式1所示;另一个由Lr、Lm和Cr产生,如方程式2所示。一般而言,按照设计,正常输入电压时LLC工作在fr频率下,从而实现最佳效率。开关频率大于fr。一次MOSFET的ZVS可以实现,但是二次二极管的ZCS无法实现;它被称作LC串联谐振。当开关频率低于fr但高于fm时,可以同时实现ZVS和ZCS。由于某个时间内会出现Lr、Lm和Cr谐振,因此它被称作LLC串联谐振。在参考文献【3】中,大部分负载范围的开关频率均低于fr,因此本应用报告会对频率低于fr的工作情况进行分析。

图2为fm

图 2 fm
在t2下,高侧MOSFET S1被关闭,但低侧MOSFET仍处于关闭状态,因此t2为死区时间之初。在此周期,谐振回路电流无法流经MOSFET;它对CS1充电,然后对CS2放电。CS1和CS2参与谐振。CS1和CS2相等,并且都很小,因此该周期非常短。ZVS迅速达到。在现实系统中,Cr>>CS1,因此在该周期内,VCr几乎不变;可以把它看作是一个DC电压源。图3显示了一个简化版电路。

图 3 t2
所有参数如方程式3和4所示,谐振频率等于方程式5。由于Ceq,fr3远远大于fr1和fr2。

其中,
我们对该周期内谐振回路电流值的变化进行研究,因此要求一个方程式来描述时域谐振回路电流。该周期的实际开始时间为t2,结束时间为t3。为了简化计算过程,假设周期开始时间为0,则结束时间为ta。时间为0时,VCeq的电压为
根据方程式3,VCeq(t)为:
其中,p1和p2为常量。我们定义
,因此方程式6可以得到简化。iLr(t)表示为方程式8。

放入方程式6。根据方程式11,可推导出sin(ωrmt a) 和cos(ωrmt a)。
iLr(ta)如方程式12所示。由于推导得到所有参数,因此可得到iLr(ta)的确切值。 [p]
本周期内谐振回路电流的变化被称作 iLr,其如下所示:
一般而言,谐振回路电流分析常常会忽略 iLr,因为它的值小于谐振回路电流的峰值,并且这种过渡周期远短于开关周期。但是,这种短过渡周期会给测量电路带来噪声。前述方程式可以验证测量结果是否为真。当为假时,应改进测量电路。
谐振回路电流测量方法
要求电流波形时,可使用三种方法来测量电流。
小容限功率电阻
电流变换器(CT)
直接通过电流探针来测量谐振回路电流
第一种方法是小容限功率电阻,其与谐振回路中的其它组件串联。这种电阻必须拥有高分辨率和良好的温度性能。正常情况下,谐振回路通过一个端子连接接地,这样可以减少测量的共模噪声。另外,它还是一种测量谐振回路电流的简单方法。但是,它会增加功耗,特别是在强电流条件下。另一方面,它改变了谐振参数,并使其偏离初始设计。同时,由于要求高性能,因此它的成本价格也很高。

图 4 电流变换器等效模型
第二种方法是电流变换器(CT),其一次侧与谐振回路串联。相比功率电阻(第一种方法),这种方法的电阻较低,并且其功耗也低于功率电阻方法。另外,相比谐振回路的Lr和Lm,CT的磁电感小到可以忽略不计。但是,由于许多寄生参数原因,CT并非是一种最佳解决方案。图4显示了CT的等效模型。由于二次漏电感远大于一次漏电感,因此漏电感设置在二次侧。
图4中:
Cps为一次线圈和二次线圈之间的寄生电容。
Cp为一次侧的寄生电容。
Cs为二次侧的寄生电容。
Lm为CT的磁电感。
R为采样电阻。
当使用硬开关开启或者关闭MOSFET时,电路状态立刻剧烈变化。这时,产生大量的开关噪声。这种噪声通过Cps耦合到CT的二次侧。另外,噪声还流经Cp和Cs。Lm和Lleak也受到影响。如果使用通用电压探针来测量R的电压,则通常会出现一个高电压峰值;但是,如果使用差分电压探针,则Cps耦合的共模噪声被消除,并且仅剩下差模噪声。电压峰值得到了有效降低。然而,差模电压探针测量的波形仍非真正的电流波形。
第三种方法是直接使用电流探针测量谐振回路电流。正常情况下,电流探针拥有较高的带宽,足以进行电源系统检测。例如,Tektronix设计的TCP202便是一种DC耦合电流探针,其拥有高达50MHz的DC带宽。LLC谐振回路电流频率为100kHz。电流探针具有较高的性能,可以显示近似真实的电流波形。只需要一条短线,把它与回路中的其它组件串联在一起,这样便组成了一个最低成本的电流波形观察方法。但是,电流探针测量的电流信号不能用于其它目的,例如:回路控制、保护电路等。
UCC25600 300W EVM演示了前面的分析。图5中,使用不同方法对谐振回路电流进行测量。CH2和CH3均由CT测量,差别是,“差分”电压探针用于对CH2中CT输出端的电压信号进行采样,而“共模”电压探针则用于对CH3中CT输出端的电压信号进行采样。CH4通过电流探针直接测量。图5(b)和5(c)中,单独测量CH2和CH3,但在图5(d)中,同时对它们进行测量。在图5(a)中,相比CH4,可在CH3中看到大电流脉冲,其为严重噪声。在图5(b)和图5(c)中,相比CH3,CH2的电流脉冲得到极大降低,因为消除了共模噪声;但是,差模噪声仍然存在,因此CH2的电流脉冲大于CH4。在图5(d)中,CH2和CH3同时被测量,因为在内部示波器,所有示波器探针接地均连接。CH3的共模噪声会影响CH2。图5(d)中CH2和CH3的波形相同,其表明在图5(b)和图5(c)中,CH3和CH2的共模噪声结果相同。

图5 使用不同方法对谐振回路电流进行测量
根据实验结果,前述分析得到了证实。在低电流条件下使用功率电阻方法,而采样电流信号可用于实现其它功能。在高电流条件下使用CT,采样电流信号可用于实现其它功能。如果给CT添加补偿和滤波器,则效果更好。在所有情况下都可以使用电流探针,但其采样电流信号不可以用于其它功能。
请注意:推荐使用小范围电流探针来测量低电流。同样,推荐使用大范围电流探针来测量高电流。
实验
为了验证第2小节的分析结果,我们使用TI的LLC谐振半桥转换器300W评估模件来获得7组数据。所有参数均经过设计和优化,Lr = 55 μH、Lm = 280 μH、Cr = 24 nF、Cs1 = 340 pF,并且必须测量出Vin, VCr和ILr。
图6显示了谐振回路电流、DS电压和VCr(ZVS期间波形),其中,CH2为谐振回路电流波形。在图6(a)中,CH1为DS电压波形。在图6(b)中,CH1为Cr波形的电压。通过电流探针测量谐振回路电流,并使用差分电压探针来测量DS电压和Cr电压。
表1列出了所有数据:ILr1为ZVS之初ILr的值,ILr2为ZVS结束时ILr的值,而ΔIcal则为通过方程式13到方程20计算的结果。由于这些方程式都太复杂,因此我们使用Mathcad来简化计算。对比ΔI和ΔIcal我们可以知道,ΔIcal接近于ΔI,这表明第2小节中参考文献【3】的分析是正确和合理的。ΔIcal和ΔI的差值由寄生参数和测量误差所造成。

图 6 谐振回路电流、DS电压及ZVS期间VCr波形
表 1 参数值

结论
LLC可以提供宽输入电压范围的高效率。我们分析了LLC的谐振回路电流,并通过大量方程式说明了所有电能参数的关系。文章讨论了三种电流测量方法及其应用、优点和缺点。实验结果证明了分析的正确性。
参考文献
【1】《宽负载范围LLC谐振转换器的高效率优化》,作者:Ya Liu。美国弗吉尼亚州布莱克斯堡:2007年弗吉尼亚理工学院及州立大学硕士学位论文。
【2】《8引脚高性能谐振模式控制器》。2008年9月《TI UCC25600产品说明书》(SLUS846B),2011年7月修订。
【3】LLC谐振半桥转换器300W评估模块。2009年4月《TI 用户指南》(SLUU361)。
上一篇:锂电池性能及安全性测试方案
下一篇:如何为自动测试系统挑选合适的信号开关


