- 易迪拓培训,专注于微波、射频、天线设计工程师的培养
高阻器件低频噪声测试技术与应用研究--低频噪声测试技术理论(一)
1.1高阻器件的定义
电子器件或材料按其等效电阻大小可划分为:高阻器件、中阻器件、低阻器件。而上述三类器件的定义随器件或材料的应用目的和应用领域的不同而不同。
本项研究工作从噪声测试的角度来定义和划分上述三类器件。常规噪声测试方法和测试仪器能够准确测量等效阻值在50 -106欧之间的器件的噪声,我们将阻值在该范围内的器件定义为中阻器件。我们根据传统噪声测试原理,改进已有噪声测试技术和测试方法还可以继续测量一些等效阻值在该范围之外的器件的噪声,这些器件被定义为低阻器件或高阻器件,其中等效阻值大致在1 -50欧之间的器件被定义为低阻器件,等效阻值大致在10 6 -10 10欧之间的器件被定义为高阻器件。
本研究中高阻器件阻值范围的下限是10 6欧,这是因为:①根据国内外已有研究经验,能够被常规噪声测试方法和仪器准确测量到噪声的器件的阻值均小于10 6欧②本人查阅过的所有文献中,能用传统电压测试方法测量到噪声的器件的最高阻值为255K ,刚好处于本划分方法的中阻器件阻值范围上限附近。③阻值在此界限以上的器件全部采用了针对高阻器件的特殊噪声测试方法。本研究中高阻器件阻值范围的上限是10G,这是因为:对于最常见的大阻值电阻器、电容器、栅氧化层三类高阻器件或材料来说:①常用电容器的等效绝缘电阻从上百兆欧姆可延伸至上千兆欧姆。再比如,mos器件常用的二氧化硅栅氧化层的厚度从当前工艺极限1.2nm到2.5nm之间的等效电阻的大致范围在10 5 -10 10欧;有噪声研究意义的高阻值电阻的阻值也大都在10 9以下。②采用本文设计的噪声测试方法可以准确测量噪声的器件阻值在10 10欧以下。
1.2高阻样品噪声测试的需求
随着科技的发展,电子器件尺寸不断缩小、寿命不断增加、性能不断提高。在这种背景下,诸如高低温老化法,长时间过载应力施加法等传统的可靠性分析方法所需的时间在不断增加,消耗的资源和成本也在上升,因此常常难以满足科研和生产工作的需要。然而基于低频噪声测试技术的可靠性分析手段以其相对于传统方法独特的优势体现出重要的研究价值和应用意义。低频噪声测试技术拥有耗时短,对器件无损伤,对器件缺陷敏感的诸多优势,被广泛用于可靠性表征、产品筛选、失效分析,或被当作样品的性能指标。
目前高阻器件低频噪声测试的需求主要来源于针对mos栅氧化层、高阻值电阻器、电容器这三类器件的噪声测试。近年来国外已有研究证实上述三类高阻器件的噪声同中低阻器件的噪声一样有重要的研究价值。
国内对高阻器件噪声测试技术的需求也已开始出现,体现在针对电容器和电阻器这两种器件的测试需求。西安某电阻浆料厂曾经向我们实验室提出测试阻值较高的电阻浆料低频噪声的要求,但受限于当时测试技术条件,我们未能进行合作。我们实验室承接的国内某研究所的项目中也有通过电容的低频噪声来表征其可靠性的应用研究。最近国内又有某MLCC电容生产商向我们提出器件噪声测试要求。
1.3国内外高阻样品噪声测试技术的研究及应用现状
目前国内外在高阻样品噪声测试方面已经做了探索工作,并针对不同的器件开发出不同的测试技术,以满足高阻器件噪声测试应用的需求。
1.3.1应用于电容器的测试技术现状
目前针对电容的低频噪声测试技术主要采取的是一种间接测试噪声的方法。这种方法让来自电容的漏电流噪声经过一个大阻值电阻,从而在大阻值电阻上产生一个电压波动,以此将漏电流噪声信号转变为电压噪声信号,最后通过测试电压噪声信号来间接测试电容的漏电流噪声。
电容的噪声测试技术应用现状如下:已有研究发现对于一些常用的电容器(钽电解电容,铝电解电容),漏电流噪声可以用作反映器件质量的性能指标,因为研究中发现电容的噪声量级与质量成反比 。在另一个电容噪声与寿命的关系的研究中,研究者测试了一批铝电解电容在2Hz频点上的噪声功率谱密度,发现该数据与电容的寿命有直接关系,并以这个数据为基础从数学上推导出了一套器件质量筛选方法 。还有研究比较了被施加反向电应力前后的电容的噪声,发现了电容的噪声在器件受到反向电应力后幅度增加,说明噪声对反向应力所造成的介质损伤非常敏感,可以用来筛选出性能较好的器件。另一份研究 将噪声应用于电容失效机理的分析。
1.3.2应用于大阻值电阻器的测试技术现状
针对大阻值电阻器的低频噪声测试技术是一种电压噪声测试技术。该测试技术的特点是一次测量两个样品的总电压噪声,并且能保证进入放大器的信号中的直流分量不会使放大器饱和。
大阻值电阻的噪声测试技术应用现状如下:目前国外在航天领域中发现热辐射仪分辨率会受到仪器内部大阻值偏置电阻噪声的限制,并以此为背景,提出了特殊的测试技术,测量了超大阻值电阻的低频噪声,并将这种噪声测试方法测到的噪声作为性能指标对电阻进行筛选。该研究同时将噪声量级大小作为性能是否提高的标准,提出了一种降低噪声的电路连接方法,提高了系统的分辨率,使大阻值电阻噪声测试技术实现了有价值的应用。
1.3.3应用于MOS类器件的测试技术现状
针对MOS的噪声测试技术普遍采用了用电流放大器测流过样品的电流噪声的方法。一套完善的低噪声电流放大系统的放大倍数通常很大,可以将微弱的电流噪声信号充分放大,因此该技术被用来测试噪声极其微弱的MOS类器件的栅漏电流噪声。
MOS类器件的噪声测试技术应用现状如下:近年来已有低频噪声研究主要集中在各种材料的MOS栅氧化层的可靠性研究上。研究发现MOS类器件的噪声在表征器件可靠性和分析器件失效机理上有重要的研究价值,主要体现在三方面:第一,应用于器件失效机理分析。有研究表明栅氧化层在击穿前会产生一系列的爆裂噪声,这些噪声脉冲的频率与击穿的发生时间有一定关系。研究者们在爆裂噪声的脉冲频率达到一定临界条件时,及时的消除电应力使器件免于被击穿,以此来更有效的观察接近击穿时器件性能的改变,从而可以更细致的研究导致击穿的原因,进行失效机理研究。第二,作为性能指标来表征可靠性。随着器件尺度的缩小,目前已出现了很多不同种类的高K栅介质。然而这些栅介质的漏电流噪声大小各不相同,有研究测试了不同栅材料的低频噪声,以噪声量级作为指标,寻找低噪声的材料来改进工艺。第三,应用于可靠性表征。器件尺寸缩小后,MOS电容中各种隧穿电流(FN隧穿,直接隧穿,由电应力导致的氧化层陷阱隧穿)噪声对系统影响越来越明显。有研究者[2]研究了各种隧穿电流噪声与CMOS超大规模集成电路可靠性之间的关系。
第二章低频噪声测试技术理论
本章主要阐述了低频噪声的物理基础、测试技术的要求和实现方案。
2.1噪声的物理理论
2.1.1低频噪声的定义
当给器件(如电阻器、电容器)两端施加直流偏压V时,器件内部电荷会产生定向移动形成电流,但是该电流的瞬时值却是随机涨落的,因此测试器件两端电压时实际测得的是直流电压V(或电流I)和随机涨落导致的交流电压Vn(或电流In)两种成分的叠加。
这种涨落是由器件内载流子的随机涨落和器件中的缺陷对载流子的随机俘获、释放以及晶界势垒对载流子的散射等多种原因导致的。我们将这种电流的随机涨落称为噪声。如图2.1所示,将样品R接入电路时,不仅有直流源V的作用,电路中还会产生低频噪声,一般将其等效为电路中的一个交流信号源V n。 [p]

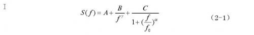
噪声信号虽然微弱但其包含信息丰富,由不同机理产生的电流噪声具有不同的频率分布特性。由于一般导电样品中噪声信号十分微弱,因此对样品噪声进行有效的分析需要放大倍数足够大和频带范围足够宽的放大器对噪声信号进行充分放大。研究表明电子器件与材料中噪声主要由三种噪声成分组成,分别为白噪声(主要为热噪声和散粒噪声)、1/f噪声和G-R噪声。噪声的功率谱密度公式如下:

等式右边多项式中的三项代表电流噪声是由三种噪声成分组成的,其中A为白噪声幅度,B为1/f噪声的幅度,γ为频率指数因子,C为g - r噪声的幅度、f 0和α分别为g- r噪声转折频率和指数因子;等式左边的S(f)是噪声的功率谱密度,其中f是频率。由于上述三种噪声分布在低频段,所以我们通常关注的是器件的低频段的噪声,简称低频噪声。
2.1.2噪声的物理理论基础

器件常见噪声的完整分类如图2.2所示。电子器件中的低频噪声可分为四类:热噪声、散粒噪声、g-r噪声和1/f噪声。这四种噪声的性质各不相同,噪声测试技术的应用中主要考虑g-r噪声和1/f噪声,因为这两种噪声与器件的缺陷直接相关,是低频噪声研究领域中的主要研究对象。
2.1.2.1热噪声
热噪声是一种在电阻性元件中普遍存在的噪声。处于绝对零度以上的导体中的载流子都会做无规则的热运动,载流子这种无规则的热运动就是热噪声的微观表现。大量载流子无规则热运动的总体效应就是器件两端电压(或电流)的起伏。
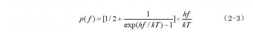
载流子这种无规则的起伏就是热噪声,这种噪声又称为Johnson噪声,以纪念最早发现它的科学家Johnson.热噪声的完全表达式如(2-2)式所示:

上式中f是频率,k为玻尔兹曼常数,R为等效电阻,T为温度(2-2)式中p(f)成为普朗克因子,由下式定义:


上式就是在一般的频率和温度下,热噪声的表达式,E的单位为V 2。
从以上理论中我们可以看到热噪声的一些特性。由(2-4)式我们可以看到热噪声在功率谱密度曲线上为一条直线。如果已知器件的等效电阻,便可计算出器件在不同温度下的热噪声,而不需要实际测量,这一点与1/f噪声需要实际测试才能得到有很大不同。根据(2-4)式还可以计算出器件的等效噪声电压(或电流)。这种由热噪声导致的等效噪声电压(或电流)在给定的温度下,是无法消除的,因而在一些传感器当中,由热噪声导致的等效噪声电压(或电流)直接决定了系统的分辨率。降低噪声测试系统中放大器本底噪声的一种手段就是将整个系统置于液氮或液氦的低温系统之中,通过降低温度来降低热噪声,提高系统分辨率。值的注意的一点是,热噪声是一种普遍现象,这是由物质分子热运动的本性决定的,因此不管是否给器件施加直流偏压,器件中的热噪声都是存在的。测试了不同栅材料的低频噪声,以噪声量级作为指标,寻找低噪声的材料来改进工艺。第三,应用于可靠性表征。器件尺寸缩小后,MOS电容中各种隧穿电流(FN隧穿,直接隧穿,由电应力导致的氧化层陷阱隧穿)噪声对系统影响越来越明显。有研究者研究了各种隧穿电流噪声与CMOS超大规模集成电路可靠性之间的关系。
上一篇:保健品包装质量检测技术的应用
下一篇:虚拟仪器技术在石化科研装备开发中的应用


