- 易迪拓培训,专注于微波、射频、天线设计工程师的培养
继电器型抢答器的逻辑设计
作者 吕炳仁 北京联合大学 自动化学院(北京 100020)
吕炳仁(1936-),男,教授,研究方向:控制系统计算机仿真及CAD,断续控制系统理论及应用。
摘要:本文以四人继电器型抢答器为例,介绍其逻辑设计方法。该型抢答器的特点是:强抗干扰、工作可靠、结构简单、维护方便和成本低廉。经使用证明,效果良好。
1 设计要求
1)抢答器接入电源,打开电源开关SP,电源指示灯HLP点亮;
2)主持人按下抢答命令按钮SBs,抢答命令蜂鸣器HA1发出短促提示声,同时抢答命令指示灯HLs点亮;
3)若第i(i=1,2,3,4)号抢答者先按下自己的抢答按钮SBi,抢答选通蜂鸣器HA2发一短促提示声,同时第i号抢答指示灯HLi点亮,其余抢答者抢答无效;
4)第i号抢答者抢答完毕,经裁判之后,主持人按下复位按钮SBr,指示灯HLs及HLi均熄灭,电路复位。

2 逻辑设计[1]
2. 1 抢答命令元件逻辑式
抢答命令继电器Ks的得电条件:按下抢答命令按钮SBs (其动合触点sbs闭合),Ks得电(其动合触点ks闭合)并自锁;按下复位按钮SBr 时(其动断触点
断开),Ks失电复位。Ks的逻辑式为:
(1)
抢答命令指示灯HLs受Ks控制。其逻辑式为:
(2)
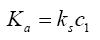
定时脉冲继电器Ka是在Ks得电动作情况下,由电容器C1充电而动作(动作原理见后续)。其逻辑式(电容器C1权作触点处理)为:
(3)
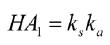
抢答命令蜂鸣器HA1的定时时间由定时脉冲继电器Ka控制,其逻辑式为:
(4)
2. 2 抢答选通继电器逻辑式
四人各自分配一个抢答选通继电器K1、K2、K3、K4。它们的动合触点分别是K1、K2、K3、K4;动断触点分别是
。抢答选通继电器K1的得电条件:在Ks动作(其动合触点ks闭合),且K2、K3和K4不动作(即它们的动断触点
、和
闭合)及按下抢答选通按钮SB1(其动合触点sb1闭合)时,使K1得电动作(其动合触点k1闭合)并自锁。K1的逻辑式为:

2. 3 抢答选通指示灯及抢答选通蜂鸣器逻辑式

抢答选通指示灯HL1、HL2、HL3、HL4分别与K1、K2、K3、K4并联,故它们的逻辑式与抢答选通继电器的相同。定时脉冲继电器Kb是在Ks得电动作,且K1、K2、K2或K4得电动作(即它们的动合触点k1、k2、k3或k4闭合),由电容器C2充电而动作。其逻辑式为:


3 抢答器电源

4 结束语
为了改善抢答器的可靠性,可以将各继电器的逻辑式展开,采用基本逻辑型顺序控制器的思路,与二极管矩阵结合加以实现。这样,每个继电器仅需一副转换触点。也可以使用可编程控制器,通过编程构成抢答器[3],这可以实现更多人的抢答。
参考文献:
[1]吕炳仁,童启明,杨纯久.断续控制系统[M].北京:电子工业出版社,1999.
[2]隆礼湘.继电器逻辑电路的图解设计[M].北京:机械工业出版社,1978.
[3]李霞飞.用PLC制成的竞赛游戏抢答器[J].北京:电器时代,2000.
本文来源于《电子产品世界》2017年第4期第51页,欢迎您写论文时引用,并注明出处。
上一篇:氧化锆氧量分析仪的结构及种类
下一篇:氧化锆氧量分析仪正常清扫步骤


