- 易迪拓培训,专注于微波、射频、天线设计工程师的培养
基于虚拟仪器的发动机故障诊断系统的研究
作者 陈雷1 杨丽娟2 1.西安工业大学 计算机学院(陕西 西安 710032) 2.西安工业大学 北方信息工程学院(陕西 西安 710200)
*基金项目:陕西省教育厅专项科研计划项目(编号:2010JK595)
陈雷(1980-),男,硕士,讲师,研究方向:计算机控制,故障诊断。
摘要:柴油发动机维修费用很大,对于产生故障的发动机,找出其原因并有效地排除故障具有十分重要的意义。本文主要介绍了柴油发动机的主要故障以及故障树诊断的方法、步骤,再运用故障树分析法对柴油机供油系统故障做出系统全面地分析。在系统的分析之后,用LabVIEW平台模拟柴油发动机故障诊断系统,对模拟故障进行诊断,诊断结果通过人机界面输出,从而实现了故障诊断的智能化。
引言
柴油发动机一般工作在高温、高速、强振动、大应力的恶劣环境下,发动机的工作状态经常变换,承受变载荷,对安全性与可靠性要求极高。柴油发动机结构复杂,工作条件恶劣,使得发动机故障率较高,维修保养费用很大。据统计,发动机各种使用费用中,维修保养费就占了15%~30%,而且,一旦出现故障,发动机的动力性、经济性、可靠性、安全性都会受到很大的影响,甚至会直接影响到发动机的使用寿命。对于发生了故障的柴油机,快速地找出故障发生的原因,并根据故障发生的原因来有效地排除故障,从而保障动力装置能够正常、平稳地运行。
1 柴油发动机故障诊断方法
故障诊断方法可以分为基于模型的方法、基于信号处理的方法和基于知识的方法。基于模型的方法需要建立比较准确的数学模型,基于信号处理的方法需要利用频谱分析、相关分析、小波分析等各种方法,基于知识的方法主要是利用诊断对象信息、专家诊断知识等。
由于信息处理技术的发展和新型传感器的应用,柴油发动机的监测数据越来越多。用于状态监测与故障诊断的有用信息以各种形式存在于信息载体中,在发动机故障诊断过程中,可以获取发动机的负荷程度、功率、转速、燃油温度、燃油消耗率、滑油消耗量、滑油温度、滑油压力、冷却液温度、冷却液压力、增压器压力、增压器转速、排气温度、进气温度、进气压力和光谱数据等参数的实时数据和历史数据,通过这些参数的监测可以对发动机的故障进行准确的诊断。本文采用了基于故障参数加权可信度的故障树诊断方法。

2 实时获取参数的加权可信度
在系统进行故障诊断时,获取了实时的故障参数,而后诊断传感器采集的参数数值进行判断,但是在利用这些参数进行数据融合时,没有考虑到此时传感器采集的数据是否可信。如果此时采集的数据是不可信的,对于最后的诊断结果会产生误差,所以本文提出了加权可信度的方法,利用传感器获取的历史数据来计算此时数据的可信度。
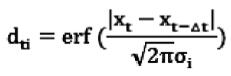
假设在某一时刻t获得了传感器的采集某参数的数据Xt,在这个时刻的之前第t-△t获得采集数据Xt-△t,数据服从高斯分布,以它们的高斯曲线作为传感器的特性函数,记为Pt(x)、Pt-△t(x)。
用置信距离测度反映Pt(x)和Pt-△t (x)之间的偏差大小,设:

其中:

dti表示t时刻数据与t-Δt时刻数据的置信距离测度,借助误差函数erf(θ),求得:

假设r1表示xt-Δt对xt的支持程度,则r1应该为置信距离测度dti的函数,并且dti越大,r1越小,根据实际情况可以设置时间间隔Δt,从而获得多个ri。

ri=f(dti)
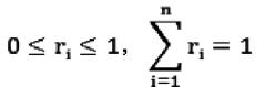
ri是单调下降的函数,且0≤ri ≤10。
则在某时刻的数据xt,存在一个一维支持矩阵R=[r1 r2 r3…… rn]。
xt的真实支持程度应该由r1 ,r2 ,r3…… rn的综合支持程度体现,设xt的综合支持程度为ri,ri越大,xt的可靠性越高,则ri应满足下面条件:

由于与t时刻的数据越近的置信度越高,所以针对不同的时间间隔,分配不同的权重系数a1,a2,a3…… an。
R=r1a1+ r2a2+ r3a3……rnan
写成矩阵形式如下:
r=Ra
其中a=[a1,a2,a3……an]T,r就是t时刻该参数此时数据的可信度权值。利用本方法就可以针对所有要进行诊断的参数数据进行可信度权值的计算,计算后就产生了所有诊断参数的权值矩阵:
。

之后利用根据先验知识设置的各参数置信权值限矩阵进行比对,如果采集的参数的可信度没有达到置信权值限,则认为此时的数据不可信就可以不将此参数作为故障诊断的输入。如此操作后,可以将诊断的所有输入参数统一进行加权可信度的分析,从而剔除了不可信的参数,使得最后的诊断结果更加准确。

3 仿真实验结果
本文以柴油发动机的凸轮轴磨损故障为例进行实验验证,该故障树如图2所示。
其数据型参数的参考数值范围如表1所示。
首先测量出该故障的故障参数的数值如下:
排气冒黑烟,光谱数据发生变化。每个参数的先验权值设为16.6667%,实际的采集数据为:
100%负荷下功率: 289 287 290 293 289 301 293 294 289 300 298;
增压压力:84 92 86 94 83 91 90 89 94 87 82;
排温:412.2 427 423 415 427 430 428 426 423 431 400;
冷却水温度:71 70 77 72 73 70 74 70 72 74 72;
测量出10组数据后,根据参数的参考范围设置参数的比较上下限,经过上文提到的可信度加权的计算给采集的参数加权,最后利用各个参数的可信度加权数据进行逻辑判断计算出该故障的概率,通过该概率与设置的概率报警下限的比较实现故障的报警。
4 结论
经过本系统的可信度计算,系统就会根据设定的野值剔除规则将出现的野值剔除,从而避免了故障的误报。通过本系统的设计及仿真,可以看出基于可信度的技术的应用大大降低了故障的误报率,解决了误报率居高不下的问题,并且为日后的数据分析提供了可查数据。但是本系统的数据是模拟的数据,能够从一定程度上验证算法的可信性,希望能够利用真实的数据和硬件的系统进行集成,为日后的真实系统开发提供参考。
参考文献:
[1]徐章遂.房立清.米东.神经网络的柴油机燃油系统故障诊断[J].内燃机工程,2001. 22(3):32-35.
[2]乔新勇.刘东利.康葳.基于压力波的柴油发动机喷油器故障诊断研究[J].无损检测,2004(4):180-184.
[3]卫军.宋保维.王文斌.基于虚拟仪器的柴油发动机喷油器故障诊断研究[J].机械与电子,2006(7):53-55.
[4]刘守道,张来斌,王朝晖.柴油机故障诊断的现代方法及展望[J].石油矿场机械, 2000, 29(1):32-35.
[5]郭涛,赵志宇.基于故障树的车辆柴油机故障诊断[J].数码世界, 2016(9).
[6]陈农田,马婷,王杰,等.模糊故障树分析法在航空发动机滑油渗漏分析中的应用
[J].计算机测量与控制,2016, 24(6).
本文来源于《电子产品世界》2017年第4期第41页,欢迎您写论文时引用,并注明出处。
上一篇:配电系统绝缘故障定位信号发生器的设计与应用
下一篇:粉红噪声与粉红噪声发生器


