- 易迪拓培训,专注于微波、射频、天线设计工程师的培养
涡街流量计在现场的应用
①输出为脉冲频率,其频率与被测流体的实际体积流量成正比,不受流体组分、密度、压力、温度的影响;
②测量范围宽,一般范围度可达10:1以上;
③精确度为中上水平;
④无可动部件,可靠性高;
⑤结构简单牢固,安装方便,维护费较低;
⑥应用范围广泛,可适用液体、气体和蒸汽。
涡街流量计的工作原理
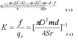
在流体中设置旋涡发生体(阻流体),从旋涡发生体两侧交替地产生有规则的旋涡,这种旋涡称为卡曼涡街(见图1),旋涡列在旋涡发生体下游非对称地排列。根据卡曼涡街原理,有如下关系式:f=SrU1/d=SrU/md
式中,m为旋涡发生体两侧弓形面积与管道横截面面积之比;D为表体通径;d为旋涡发生体迎面宽度;f为旋涡的发生频率;U1为旋涡发生体两侧平均流速;Sr为斯特劳哈尔数;U为被测介质流的平均速度。

图1 卡曼涡街

K除与旋涡发生体、管道的几何尺寸有关外,还与斯特劳哈尔数有关。斯特劳哈尔数为无量纲参数,它与旋涡发生体形状及雷诺数有关,图2为圆柱状旋涡发生体的斯特劳哈尔数与管道雷诺数的关系图。由图2可见,在ReD=2×104~7×106的范围内,Sr可视为常数,这是仪表正常工作范围。当测量气体流量时,涡街流量计的流量计算式为:

图2 斯特劳哈尔数与雷诺数关系曲线
涡街流量计由传感器和转换器两部分组成,如图3所示。传感器包括旋涡发生体(阻流体)、检测元件、仪表表体等;转换器包括前置放大器、滤波整形电路、DAC、输出接口电路、端子、支架和防护罩等。近年来智能式流量计还把微处理器、显示通信及其他功能模块装在转换器内。
图3 涡街流量计
涡街流量计合用的流体比较普遍,但不合用于测量低雷诺数(ReD≤2×104)流体。低雷诺数时,斯特劳哈尔数跟着雷诺数而变,仪表线性度变差,流体粘度高,明显影响甚至障碍旋涡的发生,还关于流体的脏污性质有要求。含固体微粒的流体对旋涡发作体的冲刷会发生噪声,对旋涡发作体发生磨损。若含有的短纤维环绕在旋涡发作体上,将改动仪表系数。涡街流量计在混相流体中的使用如下:
① 可以用于含涣散、平均的细小气泡,但容积含气率应小于7%~10%的气、液两相流,若容积含气率超出2%,应对仪表系数进行批改。
② 可以用于含涣散、平均的固体微粒,含量不大于2%的气固、液固两相流。
③ 可以用于互不消融的液液(如油和水)两组分流等。
脉动流和扭转流将对涡街流量计发生严峻影响。假如脉动频率与涡街频率吻合,将能够惹起谐振,毁坏正常任务和设备,使涡街旌旗灯号发生“锁定(1ock-in)”景象,这时旌旗灯号固定于某一频率。“锁定”与脉动幅值、旋涡发作体外形及梗塞比等有关。
涡街流量计的准确度关于液体大致为士(0.5%~±2%)R,关于气体为士(1%~±2%)R,反复性普通为0.2%~0.5%。因为涡街流量计的仪表系数较低,频率分辩率低,口径愈大,精度愈低,故仪表口径不宜过大(DN300以下[4])。
局限度宽是涡街流量计的长处,量程下限的流量数值更为主要。普通液体均匀流速下限为0.5m/S,气体为4~5m/s[5]。涡街流量计的正常流量最好在正常测量局限的1/2~2/3处。
涡街流量计的最大长处是仪表系数不受测量介质物性的影响,可以用一种典型的介质进行校验而使用于其他介质,为处理校验设备问题供应了便当。但因为液、气的流速局限差异很大,招致频率局限差异亦很大。在处置涡街旌旗灯号的扩大器电路中,滤波器的通带分歧,电路参数亦分歧,因而,统一电路参数不克不及用于测量分歧的介质。介质改动后,电路参数亦应随之改动。
另外,气体和液体的密度差别很大,而旋涡分离时产生的信号强度与密度成正比,因此信号强度差别亦很大。液、气放大器电路的增益、触发灵敏度等皆不相同,压电电荷差别大,电荷放大器的参数也不相同。即使同为气体(或液体、蒸汽),随着介质压力、温度、密度不同,使用的流量范围不同,信号强度亦不同,电路参数同样要改变。因此,一台涡街流量计不经硬件或软件修改,改变使用介质或改变仪表口径是不可行的。
2 安装注意事项
涡街流量计属于对管道流速分布畸变、旋转流和流动脉动等敏感的流量计,因此,对现场管道安装条件应充分重视,严格遵照使用说明书执行。
涡街流量计可安装在室内或室外。如果安装在地井里,为防止被水淹没,应选用涎水型传感器。传感器在管道上可以水平、垂直或倾斜安装,但测量液体和气体时为防止气泡和液滴的干扰,要注意安装位置(见图4)。
图4 测量含液体和含气液体的流量仪表安装 [p]
涡街流量计必须保证上、下游直管段有必要的长度(见图5)。
图5 涡街流量计对上、下游直管段长度的要求在图5中,a为一个90°弯头,b 为同心扩管,c为同心收缩全开阀门,d为不同平面两个90°弯头,e为调节阀半开阀门,f为同一平面两个90°弯头。
传感器与管道的连接如图6所示,在与管道连接时要注意以下问题。
图6 传感器与管道的连接① 上、下游配管内径D与传感器内径D’相同,其差异满足下述条件:0.95D≤D’≤1.1D;
② 配管应与传感器同心,同轴度应小于0.05D’;
③ 密封垫不能凸入管道内,其内径可比传感器内径大1~2mm;
④ 如需断流检查与清洗传感器,应设置旁通管道(见图7);
图7 旁通管道示意图
⑤ 减小振动对涡街流量计的影响应该作为涡街流量计现场安装的一个突出问题来关注。首先,在选择传感器安装场所时尽量注意避开振动源;其次,采用弹性软管连接在小口径中可以考虑;第三,加装管道支撑物是有效的减振方法。
电气安装应注意传感器与转换器之间采用屏蔽电缆或低噪声电缆连接,其距离不应超过使用说明书的规定。布线时应远离强功率电源线,尽量用单独金属套管保护。应遵循“一点接地”原则,接地电阻应小于10Ω。整体型和分离型都应在传感器侧接地,转换器外壳接地点应与传感器“同地”。
3 现场常见故障现象、原因及排除方法
涡街流量计有多种检测方式,传感器和测量电路差别也较大,但涡街流量计常见的故障有共性。
结语 在众多的流量计中,涡街流量计的购置费低于质量式、电磁式、容积式等类型,而安装、运行、维护费低于节流式、容积式、涡轮式等类型,是一种经济性较好、比较实用的流量计。涡街流量计结构简单牢固,安装维护方便,尤其适用于冶炼厂、化工厂、输油管道等工业现场的使用。
上一篇:选购温湿度检测仪表应该考虑的几个问题
下一篇:高温流体的流量测量


