- 易迪拓培训,专注于微波、射频、天线设计工程师的培养
高功率因数电源设计
方案论证
1.1 DC/DC主回路拓扑方案
方案1:Buck型拓扑结构变换器
该方案可在隔离变压器输出端进行三倍压整流,再将直流电压通过Buck型拓扑结构进行降压变换实现。但采用Buck型变换器输入端电压偏高,驱动电路和控制电路的电源方案较麻烦,并且可靠性不高。
方案2:Cuk型拓扑结构变换器
它的输出电压极性与输入电压相反,但其值可以高于、等于或低于输入电压的值。其输入和输出电流都是连续的,经两个电感的补偿耦合,将输入和输出的波纹电流和电压抑制到零,但内部谐振使传递作用断续或在某些频率上削弱输入波纹抑制。在耦合电感线圈和变压器隔离的结构中,由于“开关导通”初期的冲击耦合电流会引起输出电压反向,并且也存在稳定性问题。
方案3:Boost型拓扑结构变换器
Boost电路的输出电压极性与输入电压相同,但总是高于输入电压。输入电流是连续的,只需要较小的输入滤波。输出电压与负载电流无关,并且输出电阻非常低,硬件上容易实现,且控制简单,技术成熟。通过以上综合分析比较,Boost型拓扑结构变换器是DC/DC变换器的理想选择。
1.2 系统控制方案
方案1:幅度控制方式,即通过改变开关电源输入电压的幅值而控制输出电压大小的控制方式。这种方式效率很低,当低压输出时,将造成大部分能量消耗在调整管或电阻上。
方案2:脉冲宽度控制,指功率管的开关工作频率(即开关周期)固定,是一种直接通过改变导通时间(即占空比)来控制输出电压大小的方式,它采用升压型(Boost)或降压型(Buck)拓扑结构来实现输出电压的改变。这种控制又称PWM控制。
由于PWM控制方式采用了固定的开关频率,因此,设计滤波电路时简单方便。综合比较,采用方案二作为控制方法。
2 硬件设计与主要参数计算
2.1 系统总体电路框架
根据题目的设计要求,系统由AC/DC变换电路、DC/DC变换电路、功率因数检测电路、PFC控制电路、数字设定及测量显示电路、保护电路等6大部分组成。其系统电路总体框架如图1所示
![]()
2.2 DC/DC变换模块
DC/DC采用Boost变换电路,其电路结构如图2所示。
![]()
2.2.1 二极管参数
在功率MOSFET截止期间,VD正向偏置而导通,最大流通电流达2 A左右;在MOSFET导通期间,VD反向偏置而截止,此时二极管反向电压为Vin。为了确保电路的可靠性,故选取整流二极管MUR3060。
2.2.2 功率开关管参数
功率开关MOSFET所要承受的基本电压为截止时所承受的电压Vin,导通时所要承受的导通电流为2 A。为确保电路的可靠性,应考虑适当的安全裕量,故选取功率开关管IRFP150N,其耐压、耐流完全满足要求。
2.2.3 储能电感参数
变换器中的电感线圈在任何正常条件下不能饱和,并且为了有好的效率,线圈和磁心的损耗必须要小。理论上电感可具有任何值,大电感可具有低波纹电流,且轻载时可连续导通,但负载瞬态响应差。小的电感波纹电流大,增加了开关损耗和输出波纹。在轻载时出现不连续导通,且导致系统不稳定。可是,其瞬态响应性能好,效率高,尺寸小,所以电感的选择只能折中,通常选择使临界电流低于最小规定负载电流的电感,或按可接受的波纹电流尽可能地以小的标准来选择。电感量通过公式:
![]()
计算出:L≥0.07 mH。另外,输出电流达到2 A,功率较大,由于参数类型特殊,普通电感远达不到要求,故选用粗铜线与环型磁铁的自制电感。
2.2.4 输出滤波电容参数
输出滤波电容C两端电压为输出电压Vout。C的滤波使输出Vout的波形连续。对DC/DC转换器而言,工作频率越高,所要求的电容值越低。设计中选用4 700 μF的电容。
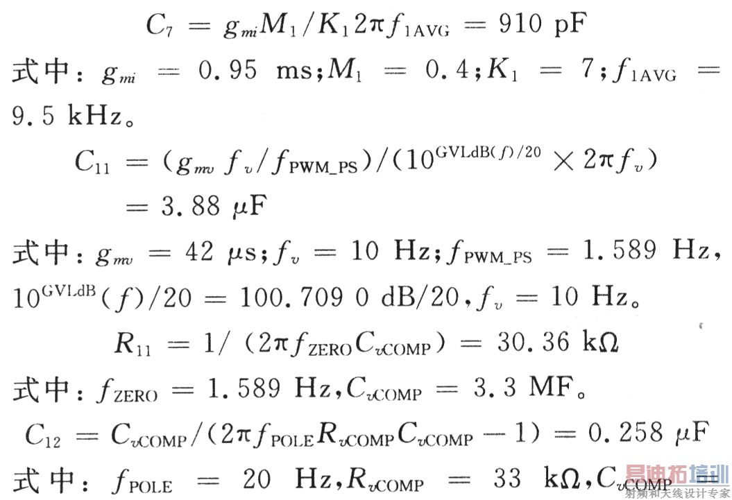
2.3 PFC控制模块
开关电源是借助开关器件的开/关(ON/OFF)实现能量交换的。输出控制由晶体管的导通时间决定。实际上PWM控制就是控制开关管导通的占空比。结合控制方式及功率因数的要求,设计中选用TI公司提供的具有功率因数校正功能的UCC28019芯片作为PFC控制模块。UCC28019为8引脚连续电流模式(CCM)控制器,其重要元件参数的计算如下:
![]()
3.3 MF。PFC控制模块与各电路连接见图3。
![]()
2.4 显示与测量模块
数字设定及显示,功率因数检测两部分由MSP430F247单片机、键盘和128×64液晶显示器构成。与普通LED相比,液晶显示界面与操作界更友好。
2.5 过流保护模块
过电流保护是一种电源负载保护功能,以避免发生包括输出端子上短路在内的过负载输出电流对电源和负载的损坏。出现过流时,控制信号使PWM输出脉宽变窄,输出电压迅速下降,从而抑制电流。
3 软件设计流程
系统软件设计分为两大部分,包括输出检测及显示;功率因数检测。设计流程如图4所示。
![]()
4.系统测试
4.1 测试方法
(1)设定不同输出电压值,测量实际电压输出;
(2)设定某一固定输出电压值,调节U2从15~19 V变化,测量实际电压输出。
(3)设定某一固定输出电压值和U2,调节负载,测量实际电压输出。
4.2 测试仪器
测试仪器有:单相自耦调压器;普通数字万用表;四位半数字万用表;60 MHz数字示波器(双通道)。
![]()
4.3 测试主要数据
4.3.1 输出电压
当电压U2=18 V,负载电流为0.5~2 A时,设定和实际输出的电压见表1。
4.3.2 功率因数
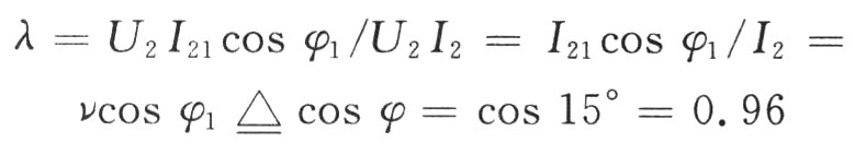
功率因数计算如下:
![]()
式中:U2,I2分别为变压器副边的电压和电流有效值;I21为I2中的基波分量;φ1为U2和I21之间的相位差。为计算简单,这里用U2,I2之间相位差的余弦cosφ作为功率因数。
4.3.3 电压调整率
输出电压设定值为36 V,当U2=15 V,Io=2 A时,Uo=35.7 V;当U2=17 V,Io=2 A时,Uo=35.8 V;当U2=19 V,Io=2 A时,Uo=36.0 V;电压调整率σv≤0.2%。
4.3.4 负载调整率
设定U2=17 V,输出为36 V,则Io=0.2 A时,Uo=35.9 V;Io=2 A时,Uo=35.8 V;负载调整率σL≤0.3%。
5 结 语
通过测试的数据显示,该设计较好地完成了预期设计目标,功率因数高达95%以上,稳定性好。但也有一定的不足,如输出存在杂波,输出电压设定值与实际输出值的误差较大等,这些问题有待以后的研究中进一步改善。
上一篇:FPGA
重复配置和测试的实现
下一篇:直流继电器及交流接触器主要参数测试电路


