- 易迪拓培训,专注于微波、射频、天线设计工程师的培养
基于分布式光纤的油井温度场测量系统设计
摘 要:分布式光纤测温覆一种用于实时测量空间温度场分布的新兴技术,由于它在测量分布式温度上的独特之处,该技术在油井温度场测量有很好的应用前景。首先从分布式测量原理、分布式测温原理和测温算法三个方面分析和研究喇曼分布式光纤测温系统原理,接着介绍了分布式光纤测温系统软硬件的设计,并在此基础上设计出了实验系统。实验证明所得结论是正确的,方法是可行有效的。
关键词:分布式光纤;温度场测量;喇曼散射;LabVIEW
0 引 言
在石油的开采过程中,井下温度的测量是必不可少的测量参数,准确的井下温度测量对于地质资料解释和油井监测等都具有重要的作用。尤其在重质油热采工艺中,需要监测井下温度场变化情况。在传统的测量井温过程中,使用了红外测温仪、红外热成像仪、温度传感器阵列等,但由于井下恶劣环境将对测试仪器产生很大的影响,容易造成测试误差,且对于温度场的测量有很多不足。而现代的分布式光纤温度传感器具有测量点多,精度高,轻巧且能承受井下恶劣环境等优点,可以获取整个光纤分布区域的温度场信息。目前分布式光纤温度传感器已实现井下温度场等参数的测量,在重质油热采过程中温度场的测量具有广阔的应用前景。
1 分布式光纤温度传感器原理
1.1 分布式测量的原理
分布式温度传感器借助光时域后向散射(ODTR)技术实现分布式测量。当光脉冲从O点注入光纤,并在光纤中传播时会产生散射。经过一段时间,后向散射光返回到O点。设光脉冲注入的时刻为时间原点那么光纤中散射点与O点距离L和该点散射光返回时间t的关系为:

式中:c为真空中的光速;n为光纤的折射率;t为信号从发射到接收所用的时间。
由式(1)可知,不同时刻的回波对应于不同距离点产生的散射,根据测量不同时间的回波来实现测温点的定位。
1.2 分布式测温的原理
温度的感知和度量基于光纤背向喇曼散射原理。当波长为λ0。的激光注入光纤时,它在光纤中向前传输的同时不断产生后向散射光,这些后向散射光中除了与入射光相同波长λ0。的中心谱线外,在其两侧,还存在着λ0一Δλ和λ0+Δλ的两条谱线。中心谱线为瑞利散射谱线,低频一侧波长为λs=λ0+Δλ的谱线称为斯托克斯线(Stokes);高频一侧波长为λa=λ0-Δλ的谱线称为反斯托克斯线(Anti—Stokes)。由实验可以发现,反斯托克斯散射光对温度敏感,其强度受温度调制,而斯托克斯散射光基本上与温度无关。两者光强的比值只与散射光的温度有关,即:

式中:h为普朗克常数;c为真空中光速;k为波尔兹曼常数;T为绝对温度;Δγ为偏移波数。
因此,以反斯托克斯光作为信号通道,斯托克斯光作为参考通道,检测两者光强的比值,就可以解调出散射区的温度信息。将后向拉曼散射信号的测量与OT-DR技术相结合,就可以实现基于后向拉曼散射的分布式光纤测温系统。
1.3 测温算法实现
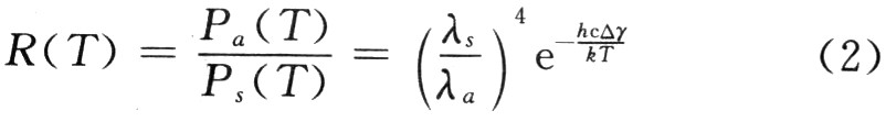
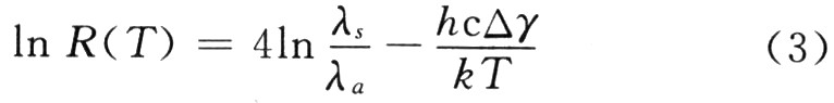
对于式(2),对其两边同时取对数函数,有:

通过变换可以得到:

在实际测试过程中,将光纤传感器放置于温度为T0恒温箱中进行标定,通过标定可以得知:

由上面的式子可以得知,在进行标定后,通过测量光强的比值R(T)就可以推导出分布式光纤各点的温度值。
2 温度场测量系统的设计
2.1 测量系统的硬件设计
分布式光纤测温系统主要由脉冲激光器、光纤放大器、光纤定向耦合器、滤波器、光电检测器、放大器、数据采集与处理电路、信息处理显示(计算机)、敏感光纤、恒温箱等组成,其系统结构框图如图1所示。

各部分的功能如下:脉冲激光器的主要作用是为系统提供光脉冲;光纤放大器对弱光信号进行放大,提高信号强度;光纤耦合器将光信号按照设计要求耦合进光纤,并将返回的散射光信号按事先确定的比例耦合到光处理通路中;滤波器分离出斯托克斯光和反斯托克斯光,滤除瑞利后向散射光;光电检测器将接收到的光信号转换成相应的电信号为信息处理电路提供输入;放大器将微弱的电信号进行放大,以便进行A/D转换;数据采集与处理电路主要完成对光信号的A/D转换及信号的相关处理;计算机将数据进行分析和显示处理,并与数据采集电路进行通信。其中,光纤耦合器、滤波器和光电检测器等关键部件放置在恒温箱中(恒温200℃)。
温度场测量系统的工作过程如下:在计算机和数据采集电路的控制下,脉冲激光器发出光脉冲信号,光脉冲信号通过光纤放大器放大后经定向耦合器耦合到传感光纤中,传感光纤则置身于重质油温度场中。在传感光纤中传播的光脉冲,其传播过程中各点位置上引发的散射光(拉曼散射光中的斯托克斯和反斯托克斯)中的后向散射部分再次经过光纤传输通道进入定向耦合器耦合到接收通道。通过光学滤波后,滤掉能量相对较强的瑞利后向散射光,分离出载有温度信息的反斯托克斯光和斯托克斯光,分别送光电检测器进行光电信号的转换。再经过放大后,送到数据采集与处理电路进行A/D转换及信号的相关处理,并将处理后的信息送入计算机进行分析处理和显示。
2.2 测量系统的软件设计
系统的软件主要包括数据采集与处理端软件和计算机端软件。其中,数据采集与处理端软件主要负责实现信号的采集,目前这方面的技术已经十分成熟,这里不再赘述。本系统的计算机端软件采用的是NI公司的LabVIEW进行开发,主要实现温度场测试系统的控制、系统设置及温度场分布图显示等功能,软件界面如图2所示。

3 温度场测量系统的实验设计
根据结构框图1构建测量系统,脉冲光源选用国产大光腔大功率半导体激光器,入纤峰值功率达110 W,脉冲宽度为50 ns,中心波长为1 550 nm,偏移量小于2 nm;耦合器分光比是50:38:12,目的是减少光损耗;滤波器采用镀膜光学滤波片,并多片叠加使用以降低泵浦光的干扰,滤波器的波长偏移量小于5 nm;光电检测器要求带宽为80 MHz,选用C30902E/C30724E;放大器必须是高增益、宽带、低噪声的放大器,选用轨到轨运放AD8552;光纤传感器是由线性分布光纤温度传感器和分布光纤点式绕组温度传感器组成;数据采集电路的A/D转换器采用高速8位A/D转换器AD9048来实现,最高采样速率为35MSPS。
将自行设计的温度场测量系统进行温度标定后,在对重质油热采时的温度场进行时,将光纤分布在隔热管内,可实现长度约为1 400 m的温度场测量。经过验证发现,该温度场测量系统设计方法独特,系统的空间分辨率达到了1 m,测温精度达到了O.5℃,可以满足重质油热采时的温度场测量的要求。
4 结 语
分布式光纤测温系统作为一种目前正在兴起的测温领域的新技术,优势十分明显,不但在高尖领域得到应用,而且在传统的工业领域被迅速推广。该系统特别适用于对大面积、多点的连续实时性的温度场测量要求,完全可以凭借其独特的材料及形态上的优点去取代大部分传统的测温系统。目前,我国石油行业对于分布式光纤测温系统的使用和研发正处于起步阶段,但可预知,随着制作技术的日益成熟和器件性能的不断提高,分布式光纤测温系统必将在石油开采等领域中得到更为广泛的应用。
上一篇:基于VC的PLC数据采集管理系统
下一篇:基于虚拟仪器的心电仪


