- 易迪拓培训,专注于微波、射频、天线设计工程师的培养
双端可调的塞贝克系数测量仪
20世纪末以来,对热电材料的研究成为材料科学的一个研究热点。作为一种能源转换材料,热电材料的应用不需要传动部件,工作时无噪音,无排弃物,与太阳能,风能,水能等二次能源的应用一样,对环境没有污染,并且这种材料性能可靠,使用寿命长,具有广泛的应用前景。
塞贝克系数是热电材料的重要性能参数之一,现有涉及塞贝克系数的测试装置,主要存在结构复杂,测试过程耗时较长,需根据极性来进行样品安装,测量精度较低等问题。针对上述问题,系统采用了精确的高电压电流控制电路,选用半导体致冷片作为制冷机制,简化了系统结构,可实现从任意方向对热电材料的塞贝克系数进行快速的温度控制以及测量。
1 热电材料简介
热电材料指通过其热电效应实现热能和电能直接相互转换的功能材料。目前已有一系列的热电材料被研制出来,如Biz'17、e系、PbTe系、SiGe系等合金,但由于其热电转换率相对较低,限制了热电材料的广泛应用。衡量热电材料的热电性能使用优值系数Z,Z值越高,热电转换效率越高,热电材料的性能越好。优值系数Z可通过以式(1)计算得出:
![]()
其中:S是塞贝克系数;σ是材料的电导率;k是材料的热导率。
塞贝克系数是热电材料重要的性能参数之一,从式(1)可见,塞贝克系数s越大,优值系数Z越大,材料的热电性能越好。精确测量材料的塞贝克系数,对于研究热电材料性能以及开发新型热电材料具有重要的现实意义。
热电材料的塞贝克系数可表示为:
![]()
式中:E为温差电材料两端产生的塞贝克电动势;S即塞贝克系数;ΔT为温差电材料两端的温差。
2 系统设计方案
2.1 系统概述
传统测量塞贝克系数的装置,都是固定一端用于加热,另一端用于制冷,对不同极性的样品进行测量时需要重新装卸。该系统的一个突出特点就是在每个样品夹内均设有加热及制冷机构,样品夹内的加热机构采用交流调压模块控制加热丝实现,制冷机构采用半导体致冷片实现。半导体制冷片是一种利用半导体珀尔帖效应而制的器件,将其冷端贴在样品夹上,热端与水冷装置相连。致冷片通过吸热效应把样品一端的热量传至致冷片的热端,并通过水冷装置把样品冷端的热量带离系统。该测量仪的热电材料温度控制测量仪的硬件结构图如图1所示。

通过加热与致冷机制,该系统可以从任意方向对热电材料的塞贝克系数进行测量、且不需确定待测样品的极性,对于温度的控制响应迅速且精度较高,可避免将样品从样品夹上拆卸再重新装上所带来的麻烦,简化了测试步骤,缩短了测试时间。
该测量仪的系统电路如图2所示。

温度传感器测量出的温度信号,经中心控制器模糊自调整PID运算后,求得两路通道的加热控制值及制冷控制值,分别通过D/A转换和积分电路,输出至相应的控制执行电路以实现对温度的控制。样品两端的电势差,经高精度A/D转换送入中心控制器。
2.2 温度测量电路
温度测量电路由恒流源电路以及放大滤波电路组成。该设计采用豪兰德电流源电路,引入了深度负反馈,利用集成运放来实现恒流输出,电路如图3所示。恒流源输出的1 mA电流传至温度传感器PT100,把温度值转变电压信号输入至放大滤波电路,经过增益以及有源低通滤波器滤波后,由A/D转换成数字信号送入中心控制器。

2.3 控制执行电路
对于样品的控温,需要较大的功率,因此涉及对高电流及高电压的精确控制,这是该系统的设计重点之一。系统的加热与制冷采用不同的机制来实现,实现了高精度的电压电流控制。加热电路采用全隔离单相交流调压模块。全隔离单相交流调压模块是集同步变压器、相位检测电路、移相触发电路和输出可控硅于一体,当改变控制电压的大小,就可改变输出可控硅的触发相角,实现单相交流电的调压。由中心处理器输入0~10 V直流控制信号,输出0~220 V可调交流电压,驱动加热丝进行加热。该系统采用PwM脉冲对半导体致冷片Peltier进行控制,通过调节脉冲的占空比来控制制冷的程度。制冷电路通过PwM控制积分电路的充电以及放电,当PwM脉冲为低电平时,MOS管导通,电容开始充电,电流经Peltier及电感流到地;当PwM脉冲为高电平时,MOS管截止,由于电流突变,电感产生较大的电动势,这时电流呈线性下降的趋势,通过控制MOS管的导通和截止,就能形成与脉冲的占空比有关的电流,以驱动致冷片Peltier进行制冷。电路中的电感与电容组成的电感电容滤波器在这里有2个功能:一是减少PwM驱动造成的电磁干扰;二是滤波使得较为稳定的电压输出提升了Peltier的制冷性能。系统还接有风扇,直接对场效应管进行散热。系统的PWM积分电路如图4所示。

2.4 电压测量电路
由于热电材料两端输出的电压信号较微弱,为微伏量级,因此采用高精度的24位A/D转换器AD7714,测量精度可达1μV。样品两端的电势差以全差分的形式输入至24位A/D转换电路,经A/D转换后的数字信号,光电隔离后输入中心控制器,具有较高的抗干扰性。
2.5 中心处理器
中心处理器是热电材料温度控制测量仪的核心,用于实现测量以及控制的功能。系统采用MSP430F157作为中心处理器的MCU,具有8路12位A/D转换以及2路12位D/A转换,支持多路测温以及双通道控制信号输出,可以满足系统对于2路的温度测量以及加热制冷控制的要求。有利于简化系统设计,提高集成度以及系统稳定性。
中心处理器还实现与上位PC机的USB通信功能。本系统选用NI的LabView作为监控软件开发平台,给测试工作带来了很大的方便;同时也带来一种人性化的信息。该系统可外接液晶显示和键盘,可以脱离上位机进行测量,具有较高的灵活性。
3 算法分析
该系统采用模糊自调整PID控制,既具有模糊控制动态响应快、适应性强的特点,又具有PID控制精度高的特点,可达到较高的动、静态性能。
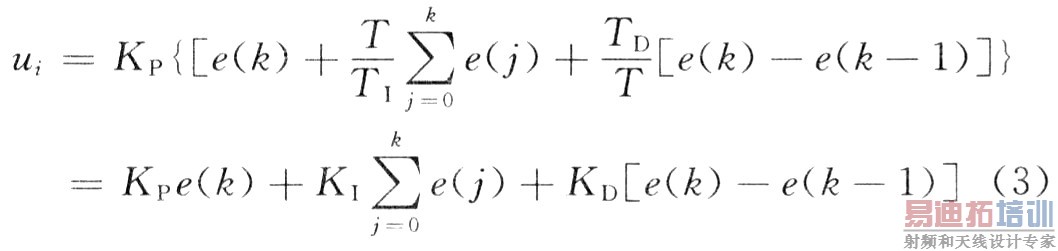
典型的离散差分PID表达式为:

式中:ui为第i个采样时刻系统输出量;e(k)为第k个采样时刻系统的输入偏差;Kp为比例系数;KI为积分系数,KI=KPT/TI;KD为微分系数,KD=KPTD/T。
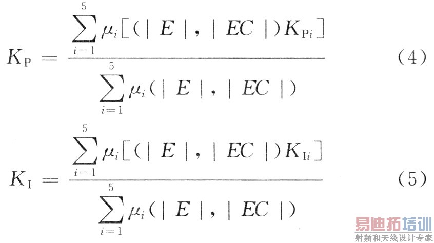
系统中的自调整PID控制器以测量温度值与设定温度值的偏差E和该偏差的变化率EC作为输入,利用模糊理论在线对PID参数进行校正。把偏差E和偏差变化率EC划分为NB,.NM,NS,Zo,PS,PM,PB七个模糊子集。根据| E|I和|EC|所属的模糊子集,计算出相应的PID参数:


式中:Kpi,kIi和KDi(i=1,2,…,5)分别是在不同状态下对参数KP,KI和KD用常规PID参数整定法得到整定值。用在线自整定的PID参数KP,KI,KD就可根据式(3)计算出输出控制值ui。
4 实验数据及结论
对于塞贝克系数的确定该系统采用改进的Har—man方法,只要知道样品两端的电势差以及温度差,就可求出塞贝克系数。
![]()
式中:V为样品两端电势差;Th为样品热端的温度;T,为样品冷端温度。在对样品进行测量时,首先用测量仪(见图5)调节样品两端的温度Th,Tc,测量样品在不同的温差条件下的电势差,以此计算出对应的塞贝克系数,并找出塞贝克系数最大时所对应的Tb与Tc值。

定义样品热端温度与冷端温度的平均温度为:
![]()
改变Th,Tc值,但保持塞贝克系数最大时的平均温度Tavg值不变,测量在固定Tavg下样品两端的电势差,验证该塞贝克系数是否符合式(2)的规律。
为了验证该系统,完成对热电材料样品塞贝克系数的测量,选用性能相近,但极性相反的N型及P型。BizTe系样品,在15~70℃的温度范围内,分别改变样品冷端和热端的温度,使平均温度Tavg在一定范围内变化,并同时测量两种样品两端的电势差。
结果如图6所示,在平均温度Tavg=310.9 K时,待测N型热电材料样品的塞贝克系数达到最大值,为293.88μV/K;在平均温度Tavg=311.4 K时,待测N型热电材料样品的塞贝克系数达到最大值,为270.18μV/K。
分别保持两种热电材料的平均温度维持在塞贝克系数最大时的数值下不变,改变待测样品冷热两端的温度Th,Tc,使△T=| T1一T2|在一定范围内变化,并同时测量两端的电势差。
N型和P型热电材料得温差电动势如图7、图8所示。

通过线性拟合,可求出N型样品的塞贝克系数约为288.99μV/K,P型样品的塞贝克系数约为274.79 μV/K,与在不同平均温度下测量所得的塞贝克系数最大值相符合,因此该系统对于热电材料塞贝克系数的测量是比较准确的。
5 结 语
针对热电器件性能研究的需要,这里设计开发出一种比较完善的实时高精度塞贝克系数测量仪,可以灵活切换对样品两端的加热制冷控制,用以实现对热电材料塞贝克系数的测量,实验证明,测量仪抗干扰能力较强,控制测量精度高,是一个良好的测试方案。
上一篇:基于FPGA平均值原理相位差计的设计
下一篇:地质雷达在水利工程质量检测中的应用


