- 易迪拓培训,专注于微波、射频、天线设计工程师的培养
基于红外多目标 像序列的自动判读技术
摘 要:提出了一种红外多目标图像序列的自动判读方法,先着重阐述一种目标序列段自动变步长搜索方法精确定位有用目标序列段,然后对图像二值化分割批处理方法以及判读脱靶量计算等关键性技术进行说明,最后输出准实时脱靶量;探讨目标搜索中步长和信号量阈值对搜索时长以及精度的影响。实验结果表明,对于低SNR的红外弱小多目标图像序列,该判读方法能缩短判读时间,提高判读的准确性。
关键词:自动判读;自动变步长搜索;脱靶量;图像处理
0 引 言
视频记录与判读系统是靶场红外测量设备的重要组成部分,用来实时记录目标视频图像并完成对测量目标的定位和判读。在靶场测量中,准确地提取图像中弱小多目标的脱靶量对于交汇计算目标的弹道和落点等信息起决定作用。随着现代科技的进步,对靶场数据处理的效率提出了更高要求,数据量更大,处理速度更快,测量更精确。对于大数据量的红外多目标图像序列,运用合适的方法在图像序列中自动快速找到含有目标的图像序列段并对其进行判读是重点和难点。因此,研究红外图像多目标段序列的自动判读技术具有重大意义。在此,研究的目的是实现对目标序列段的准确定位以及测量结果的自动判读,对于红外弱小多目标的检测,单帧检测很难实现,必须基于目标灰度与邻域的差异为出发点,充分利用多帧图像序列的相关信息,比如运动轨迹的连续性、一致性等。根据实际要求,先提出目标序列段自动变步长搜索方法,在大量图像数据中自动搜索有用目标段,然后对目标序列段进行判读。实验结果表明,该技术在很大程度上了提高判读的精度和实时性。
1 基本原理
1.1 目标序列段自动变步长搜索
由于图像采集时探测器为凝视状态,在天空背景下云层的移动是缓变的,而目标的运动速度比较快,相对于高速记录的图像可以视为静止,因此在目标出现前后可以认为背景是静止不动的。将含有目标图像与背景图像相减即可将背景去除,累加目标进入视场前的相连M帧图像f(x,y),再求算术平均值。设包含目标的红外场景图像f’(x,y)为:
![]()
其中B(x,y)为背景图像;f(x,y)为目标图像;N(x,y)为噪声图像。
对目标进入视场前有f(x,y)=0,即:
![]()
累加目标进入视场前的相连M帧图像f’(x,y),再求算术平均值,即得到平均背景g(x,y)。

这样可使噪声方差由原来的σ2降为1/Mσ2,均方差降为原来的剩下的图像只含有目标和能量减少后的噪声,其信息量为目标和噪声所占的像元数目。统计图像序列的信息量,发现目标开始进入视场时,信号量明显增加,离开视场时明显减少,目标在视场内时信号量起伏不大。由此现象,可以通过计算相邻步长帧之间信息量增量来判断并确定目标进入和离开视场的时刻,从而搜索到有用目标序列段。

为第n+k帧统计的信号量。搜索步长为k(k≤设定的目标个数),则:△In=In+k一In为前后两幅图像信号增量。取阈值Vth=O.4α+Lβ,式中L为权值,与图像的噪声情况相关,一般取值0.3~0.5。α,β分别为噪声的信号量和目标的信号量,α为设定的目标个数乘以理论计算的目标所占像元,β为连续10帧噪声图像的信号量的均值。则当|△In|≥Vth令第n帧为有用的信息图像序列的起始帧;当|△In|<Vth则令第n+k帧为有用的信息图像序列的结束帧。第一步搜索结束后,减小搜索步长,通常取值为(1/6)k~(1/8)k,选择某一中间帧,分别向前向后进行搜索,最终精确定位目标起始帧和结束帧。

1.2 图像二值化分割批处理
在进行减背景运算后,噪声方差由σ2降为1/Mσ2,均方差降为原来的
差值图像就只含有目标和能量减少后的噪声,更利于图像分割。
1.2.1 基于直方图的OTSU最大类问方差法
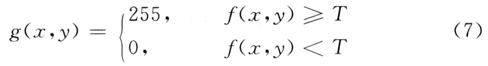
OTSU最大类间方差法是在最小二乘法原理的基础上推导得出的。它通过利用直方图零阶、一阶累积矩来最大化判别函数,选择最佳阈值。设输入图像为f(x,y),二值化后的图像为g(x,y),阈值为T,那么图像二值化过程如下:
计算输入图像灰度级的归一化直方图,用h(i)表示。
计算灰度均值μT:

求σB(k)(k=0,1,2,…,255)的最大值,并将其所对应的k值作为最佳阈值T,对输入图像进行二值化批处理:

这样可以简单快速的分割出只含目标和能量减少的噪声的差值图像。
1.2.2 自适应阈值分割方法
对于复杂图像,背景的灰度值并不是常数,物体和背景的对比度在图像中也有变化。这时,一个在图像中某一区域效果良好的阈值在其他区域可能效果很差。当图像中有阴影、背景灰度变化时,只用一个固定阈值对整幅图像进行阈值化处理,则会由于不能兼顾图像各处的情况而使分割效果受到影响。因此对于分割复杂图像,要充分考虑图像局部区域特性,将阈值选取成一个随图像中位置变化的函数值是比较合适的,这就是自适应阈值。
自适应阈值的原理是将原始图像分为几个子图像,对每一个图像分别求出最优分割阈值。常用的方法有:
Chow和Kandeko将图像均匀划分成若干不相重叠的7×7子图像,对每个具有双峰直方图的子图像用最小误差法确定阈值,而对于具有单峰直方图的子图像,由内差得到分割阈值。
Bernsen给出一种比较简单的局部阈值算法。它是对每个像素确定以它为中心的一个窗口,计算窗口内灰度级的最大值和最小值,并取其平均值作为阈值。
具体实现步骤是:
(1)取图像的四角为图像的背景,取其平均值作为背景值,大于此值的作为目标,目标灰度的平均值作为目标值。
(2)在第t步,分别计算背景和目标的灰度均值EB’和Eo’,其中在第t步将图像分割为背景和目标的阈值是T’,它是在前一步确定的。

由于经过预处理后的图像中目标面积小,亮度变化小,因此可以采用单门限分割方法。即:

可见,阈值分割实际上就是根据某个判决准则来确定最佳阈值T的过程。为达到快速分割目标的目的,在这里根据图像的统计特性来确定门限,并根据所要求的虚警概率对初始选择阈值进行不断修正。具体算法如下:
对待检测图像求其统计特征,即计算均值m和方差σ,从而计算初始阈值T1。即:

式中,M,N分别为待检测图像的行数和列数;m为矩形邻域窗口内原图像的均值;σ为标准差;k为系数,可通过实验得到。为了保证对图像中小目标尽可能高的检测概率,同时又为了尽量虚警概率,将图像的SNR作为一个考虑因素,取k为图像的信噪比值。
1.3 判读脱靶量计算
在视频判读中,脱靶量的测量结果对于检验和评估导弹性能起着关键作用。下面简要介绍脱靶量计算原理。如图2所示。

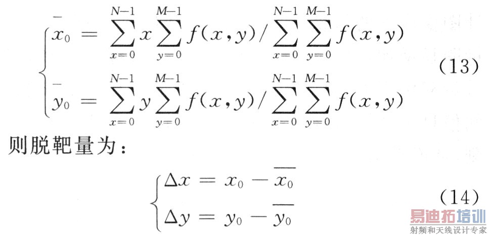
以靶面中心为原点建立笛卡尔坐标系,如图3~6所示,设A点为目标像点,它偏离坐标原点的量称为判读脱靶量,记做△x,△y。计算出来的脱靶量△x,△y连同光测设备的测量信息作数据处理,可完成对目标运动参数的事后分析。在判读时,取其质心作为判读点,质心即目标可视部分图像灰度分布重心。首先对存储于硬盘中的图像序列进行二值分割,把目标从背景中分割出来,然后根据重心计算公式求出目标重心。物理学重心定义,设一幅M×N的图像,目标图像在(x,y)点的灰度值f(x,y),其重心为:

其中x0,y0为靶面中心坐标;x0,y0为计算出的重心点坐标。
传统的判读为手动判读,其特点是:无论图像中背景多复杂、对比度多低,只要人眼能够识别目标,就可以实现判读。而且由于充分结合了测量结果,只对测量不满意的区段进行判读,与自动判读相比,判读准确性明显提高。但是在处理多目标图像时,手动判度很容易造成判度者的视觉疲劳,因此自动判读对减少判读者的劳动是有很大意义的。自动判读是计算重心过程,也是统计平均过程,它算出来的重心位置并不是个别最亮点位置或扫描随机碰到的某一点位置,而是图像中各个像元灰度加权平均位置,所以质心判读随机误差小、精度高、稳定性好,简单而快速。
2 实验结果与判读结果分析
取外场采集的以天空为背景的红外多目标图像序列进行处理。图4为原始图像序列中的1帧,它含有红外弱小多目标,图像信噪比约为1.5。目标在成像面上占2~4个像元,目标做近似匀速直线运动,下落速度为1~3像素/帧。

取图像帧序为1001~2000,共计1 000帧图像序列进行判读,得到如图5,图6所示结果。

从含有全部目标的图像序列中连续取五帧分析统计出占不同像元大小的目标个数如表l所示。
表2讨论不同步长对判读时间的影响。

表3讨论步长确定时不同阈值对判读时目标搜索的影响。

由实际处理结果可见,步长太大,帧间跨度大,会影响搜索精度,太小则搜索时间长;而信号量阈值的权值系数越大时,有用目标段序列越短,越小则有用目标段序列越长。为保证有用目标段序列检测的速度和精度,一般情况下步长设置在设定的目标数中间段,信号量阈值设得稍微低一些,再利用多帧积累求平均噪声,使每幅图像的噪声更接近统计噪声,减少由于噪声的突变导致起始帧或者结束帧的误判。
3 结 语
针对红外多目标图像序列的自动判读问题,在要求快速精确的前提下,先提出了目标序列段自动变步长搜索方法,在大量图像数据中快速搜索出有用目标段,然后对目标序列段进行二值化批处理并最终计算出目标脱靶量。试验结果表明该判读方法快速准确,判读效果好。
上一篇:智能人体心率检测装置的设计
下一篇:基于DSP的ILS机载接收机基带信号处理


