- 易迪拓培训,专注于微波、射频、天线设计工程师的培养
Fourier变换轮廓术中参数的选择和优化研究
摘要:利用光栅投影法原理进行三维物体轮廓测量的关键是要选取合适的参数,以确保系统测量精度和测量范围,并确保证傅里叶频谱的完全分离。重点讨论利用等效波长的概念,对傅里叶变换轮廓术(FTP)中的参数进行选择和优化。实验结果表明,压缩夹角,提高投影光栅的空间频率,可在频域中避免各次频谱的混叠,并保证系统的测量精度。
关键词:FTP;三维测量;光栅投影测量;参数的选择和优化
0 引 言
傅里叶变换轮廓术(FTP)具有单帧获取、全场分析和高分辨率等优点。随着计算机技术硬件和软件的发展,以及图像获取设备分辨率的提高,傅里叶变换轮廓术倍受人们的关注,已成为三维传感中最重要和最活跃的研究领域之一。
利用光栅投影法原理进行三维物体轮廓测量,关键是要选取合适的参数,保证系统测量精度和测量范围,并保证傅里叶频谱的完全分离。在此重点讨论了利用等效波长的概念,对傅里叶变换轮廓术(FTP)中的参数进行选择和优化。从理论和实践两方面进行了深入研究。
l FTP中各参数的优化与选择理论分析
傅里叶变换轮廓术测量光路图如图1所示,G表示正弦光栅,P表示投影系统,C表示CCD摄像机,S表示监视器。在摄像机和投影仪光心的连线与参考平面平行以及摄像机光轴与投影仪光轴平行且L》h(x,y)的情况下,被测物体的高度与相位差之间的映射关系为:

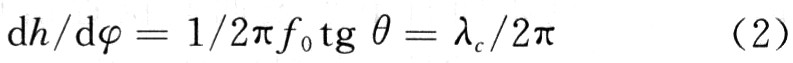
式中,L为CCD摄像机人瞳到参考平面的距离;D是投影系统出瞳到摄像机入瞳的距离;tgθ=D/L;θ为投影仪光轴与摄像机光轴之间的夹角。由式(1)可知,物体重建的精度取决于位相△ψ(x,y)的测量精度,光栅像的基频f0,以及投影仪光轴与摄像机光轴之间的夹角θ。定义等效波长:λc=p0/tgθ,用以表征系统的测量精度,等效波长越长,系统的测量精度越低。


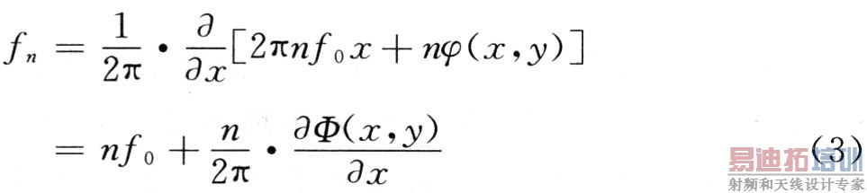
用λc和(dh/dψ)表征系统的测量精度是一致的。定义局部空间频率为:

引入物面倾面
将式(3)代入后有:
![]()
由式(4)可知,当减小夹角θ时,tgθ亦减小,fn得到压缩,而等效波长λc却增大,所以频谱的压缩是以系统测量精度的降低为代价的。
压缩夹角θ,使基频同零频和高频完全分离,须满足条件:

式中,fb为零频最大值。解得各次谱完全分离时夹角θ所必须满足的条件为:

必须对(f0-fb)/f0与1/3进行比较,以决定θ的选择。不考虑零频的影响,假设各次频谱完全分离时的夹角为θc,则θc由下式确定:


在此,对经参数选择和优化后的图像与未经参数选择和优化的图像进行比较。通过观察分析可以直观地看出,图8与模拟图像原图2最为相近,而图7相对误差很大,噪声显著。

3 人脸面具模型的实验验证
为了验证上述问题,对一个人脸面具模型进行了实际测量。其投影图像由计算机产生,并经液晶投影仪(LCD)投影到被测物体表面。系统结构参数为:
![]()
在此,对经过参数选择和优化的物体三维相位网络图10与图11进行了比较,可以明显看出:经过参数选择和优化后的图像,更有效地避免了零频分量和基频分量之间的频谱混叠,提高了FTP的测量精度,图10更加精确清晰,误差得到了显著降低。




为了进一步说明经参数选择和优化的优越性,在标定的基础上得出以下的误差图:标定行程为10 cm,步进电机携标定板每次移动10 mm,这样在10 cm的行程中总共采集11组图片,分别为50,40,30,20,10,O,一10,一20,一30,一40,一50(mm)。选取10 mm处的图片进行分析,可得到如图13所示的标准差图,从图中发现,实际高度为10 mm的平面,在测量下其高度分布在9.97~10.005 mm之间,其误差在0.03 mm以内。实验测得标准差为0.022 5 mm。
4 结 语
在参数选择和优化过程中,需注意夹角越大测量精度越高,但是夹角过大,会使得视场变小,视场变小会影响测量范围,增大误差,因此需压缩夹角。经过多次试验,夹角在20°~30°效果最好,精度最高;利用等效波长的概念,压缩夹角,提高投影光栅的空间频率,这样既可以保证系统的测量精度,又可以保证系统的视场范围。同时,进行空间带宽积的合理选择,以及滤波、相位展开等处理,进一步提高了FTP的测量范围的同时,系统的测量精度也得到了保证,达到两全其美的效果。


