- 易迪拓培训,专注于微波、射频、天线设计工程师的培养
一种典型的差分放大电路设计与测试
摘要: 简述一种典型的差分输入差分输出放大电路的设计、仿真和测试方法, 讨论其设计原理及需要解决的问题。重点讲述差分滤波器的设计和计算, 指出与单端放大电路在设计和测试中的不同之处,并结合实际工作中的经验,就直流信号和交流信号的测试分别给出了一种简易案例。
与普通单端放大器相比, 差分放大器可以有效抑制输入信号中的共模噪声和地线电平电压浮动对电路的影响, 因此, 在工业应用中广受青睐。差分放大器中以仪表放大器应用最为广泛。随着技术的发展, 支持差分输入的ADC、MCU 越来越多, 由于差分传输能更好地抑制共模干扰, 信号传输距离更远, 越来越多的场合将使用差分传输。但是, 一般的仪表放大器仅支持单端输出。
因此, 采用双运放搭建了一种差分输入差分输出放大电路。与普通的单端放大电路相比, 差分放大电路在设计、分析、仿真和测试中有许多不同之处, 而这些知识在一般的模拟电路教材中很少介绍。
1 差分放大电路设计
根据被放大信号的不同, 可以将差分放大电路分成两种。一种是直流耦合差分放大电路, 其输入端没有隔直电容, 可以同时放大直流和交流信号, 如图1 所示。另一种是交流耦合差分放大电路,其输入端有隔直电容,用来隔离直流分量,放大信号中的交流成分,如图2 所示。


直流耦合差分放大电路
交流耦合差分放大电路
1.1 直流耦合差分放大电路
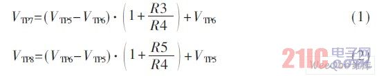
直流耦合差分放大电路由差分比例放大电路、差分滤波器、保护器件和补偿电阻四部分组成。其输入-输出关系为:

当信号频率较低时, 电容C1、C2、C3 的容抗很大, 差分放大电路的输入阻抗很高, 若运放工作在线性放大区, 则根据虚短和虚断定理, 可得:

将式(3) 、式(4) 代入式(1) 和式(2) , 可得:

假设A 为差分放大电路的差分放大倍数, 则由式(5) 、式(6) 可得:

式(1)~式(7) 中所有加减运算均为矢量相加减, 式(7)表明该差分放大电路的差分放大倍数A 由电阻R3、R4、R5 确定。

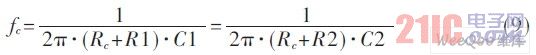
该差分放大电路中的滤波器采用了典型差分滤波器的形式, 由差模滤波器和共模滤波器组成, 主要作用是滤除传感器输出信号高频噪声以及RFI 噪声。假设传感器差模输出阻抗为Rd, 共模输出阻抗为Rc,C1 与C2的串联等效电容为CS12, 则差模滤波器的截止频率fd由Rd、R1、R2、CS12和C3 确定, 共模滤波器的截止频率fc由Rc、R1、R2、C1、C2 确定。

由于传感器信号传输线较长, 其寄生电感与放大器输入电容容易组成LC 谐振电路, 产生过冲和振荡, 为此, 在信号线上串联小电阻R1、R2 作为补偿电阻, 以减小或消除振荡。图1 中, 电容C4、C5 分别与电阻R3、R5 组成一阶低通滤波器, 抑制放大器噪声; 电阻R6、R7对运放进行环内补偿, 增加运放带容性负载的能力;BAT54S 作为保护器件加在放大器输入端, 防止静电放电以及输入电压超出运放最大输入电压范围而损坏运算放大器。
1.2 交流耦合差分放大电路
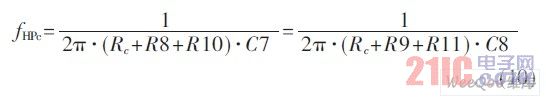
交流耦合差分放大电路如图2 所示。电容C9、C10、C11 的值远小于电容C7、C8 的值, 因此, 电容C9、C10、C11 对图2 中高通滤波器的影响可以忽略, 从而可得共模高通滤波器的截止频率fHPc。

假设电容C7 与C8 的串联等效电容为CS78, 则差模高通滤波器的截止fHPd频率为:

电阻R10、R11 为运放提供偏置电压并为运放偏置电流提供流通路径。
2 差分放大电路仿真
在完成电路设计后, 采用Multisim 仿真软件对电路进行仿真, 以检验电路结构是否合理、器件选择是否恰当、滤波器截止频率设计是否正确等。仿真电路原理图如图3 所示。表1 所示为虚拟信号发生器XFG1 参数设置, 表2 所示为虚拟示波器XSC1 各通道交流信号测量结果以及XBP1 波特图仿真结果。

表2 XSC1 和XBP1 仿真结果。
XFG1 参数设置
表2 XSC1 和XBP1 仿真结果。
XSC1 和XBP1 仿真结果
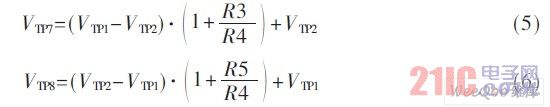
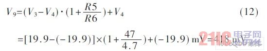
假设图3 中3、4、9 处的交流信号峰峰值电压分别为V3、V4、V9, 则由式(5) 可得:

由表2 结果和式(12) 可知, 差分比例放大部分的设计是正确的。由图3、式(9) 和表2 结果可知, 共模滤波器的设计是正确的。
仿真电路原理图

假设一阶RC 低通滤波器通带电压增益为A0, 则其幅频响应可以用式(13) 表示。

式中,ω 为信号角频率,ωc为差分滤波器截止角频率。表3 所示为不同频率信号的仿真结果。由图3、式(8) 、式(13) 和表3 结果可知, 差模滤波器的设计是正确的。
表3 不同频率信号的衰减情况

不同频率信号的衰减情况
3 差分放大电路测试
以直流耦合放大电路为例简要说明测试方法和步骤, 测试框图如图4 所示。差分输入电压由YOKOGAWACA100 系列小型校验仪产生, 差分输出电压由四位半精度的VC9806 + 系列数字万用表测量得出。注意, 为了使运放工作在线性放大区, 需要给运放提供适当的偏置电压[ 8]。表4 所示为CA100 输出不同电压时VC9806+ 的测试结果, 结果表明直流耦合放大电路的差分比例放大倍数约为21。


直流信号放大测试框图
直流耦合通道交流信号测试框图
在直流电压上叠加交流信号, 测试交流信号放大、差分滤波器的设计是否正确。测试框图如图5 所示。输入信号由Fluke282 多信道信号发生器产生, 输出信号由Tek DPO 4054 示波器测量得出。由于Fluke 282 信号发生器的输出直流偏置电压受输出交流信号幅值的影响, 当交流信号的幅值越小时, 直流偏置电压越低, 此时, 运放共模抑制比很低, 而且可能超出运放共模输入电压范围。因此, 采用如下方法:Fluke 282 输出两路同相位正弦波信号, 信道1 信号加在a 端, 参数设置为1000 mVpp ,10 Hz, 2.50 V 偏置电压,0° 主模式; 信道2 信号加在b 端, 参数设置为900 mVpp ,10 Hz,2.50 V 偏置电压,0° 从模式。示波器测量结果如表5 所示, 其中CH1、CH2、CH3 、CH4 分别测量TP1、TP2、TP7 、TP8 处交流信号峰峰值电压和相位, 设置CH1 相位为0°。
表5 直流耦合通道交流信号测试结果

直流耦合通道交流信号测试结果
由表5 可知,VTP1=980.0 mV,VTP2=880.9 mV, 带入式(5) 和式(6) , 可得VTP7 =1971 mV,VTP8 =-100.1 mV, 其中VTP1、VTP2、VTP7、VTP8的值均为矢量值。表5 所示峰峰值测量结果表明交流信号的放大是正确的。
表6 所示为不同频率时,a、b、TP1、TP2 处测试结果, 结果显示通过差分滤波, 实际信号衰减稍大于理论值, 这是由信号发生器输出阻抗及电路板寄生电容引起的。
表6 不同频率时a、b、TP1、TP2 处测量结果

不同频率时a、b、TP1、TP2 处测量结果
交流耦合差分放大电路测试方法与交流信号测试方法相似, 但是, 由于电阻容差、运放输入偏置电流、失调电压及隔直电容漏电流等因素的影响, 差分输出端存在一定直流电压差, 这与仿真的结果是不同的。
该差分放大电路可以看成两路单端同相放大电路的合成。但是, 差分放大电路放大差分信号, 抑制共模信号; 两路输出信号之间存在相位差。因此, 采用单端探头测量差分放大电路时, 需要同时考虑信号的幅值和相位, 以便计算和分析。
使用双运放搭成的具有仪表放大器输入结构的差分输入差分输出放大电路能有效抑制电路温度漂移、零点漂移和共模噪声。在没有差分探头时, 使用单端探头对差分放大电路进行测试, 并计算输入通道信号失量差和输出通道信号矢量差来验证差分信号的放大, 具有较好的实用价值。


