- 易迪拓培训,专注于微波、射频、天线设计工程师的培养
超宽带组合脉冲波形设计
摘要:本文分析了高斯脉冲微分阶数和成形因子对其能量谱密度的影响,并在此基础上,为了提高高斯脉冲波形的频谱利用率,引入类似线性均衡的概念产生高斯组合波形,并能满足FCC频率辐射掩蔽的要求。同时从应用角度改进算法,使其更具实用价值。
关键词:FCC辐射掩蔽;线性均衡;脉冲组合;脉冲设计算法
引言
UWB是一种无载波通信技术,利用纳秒至亚纳秒级的非正弦波窄脉冲传输数据,所占频谱范围很宽,适用于高速、近距离的无线个人通信。
通过对高斯脉冲波形的时域和频域的分析并结合天线的特性,可得出发射天线输入端采用高斯四阶导数脉冲波形较其他低阶、高阶导数脉冲波形更具优越性,适宜信号的传输。
但是,高斯四阶脉冲的频谱利用率并不高,尤其是0~0.96GHz频段。为了解决这个问题,本文利用高斯组合波形来提高频谱利用率。
高斯脉冲波形的特性
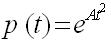
传统的UWB系统采用高斯脉冲作为传输的波形,由于天线的求导特性,其输出信号与输入信号之间存在导数的关系。假设输入高斯波形的表达式为,
,其中
,
,是高斯脉冲的成形因子,则其输出波形可表示为:
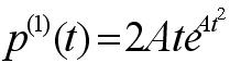
(1)
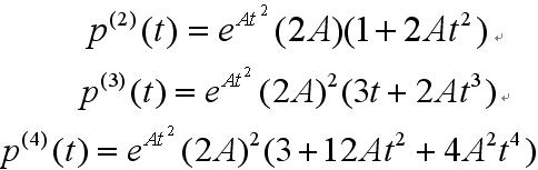
相应的二阶导数及高阶导数分别为:
(2)
随着高斯脉冲阶数的增大,其功率谱密度逐渐符合FCC-MASK的限制要求,即N增大时,谱密度曲线向右移,中心频率和峰值频率也不断提高。高斯四阶脉冲波形可以满足FCC对发射功率谱密度的要求。
在图1中可以直观地看出,相同阶数的高斯波形由于t值不同,在频域上的变化是比较大的。随着值的不断变小,其波形的带宽不断变大,同时中心频率也随之向高频迁移。当=2ns 时,其频域正好落在0~0.96GHz频段,而且带宽比较狭长,经过修正后可以满足FCC-MASK的频率掩蔽要求。而当t在亚纳秒级时,带宽变大,基本可以涵盖整个超宽带的频带。因此,可以认为通过对上述多个波形的线性组合,达到满足FCC-MASK的要求,同时还可以提高频谱利用率。
图1 不同对高斯四阶脉冲波形频域的影响
高斯脉冲组合波形设计
从上述对单个高斯脉冲的特性分析结果看,为了充分利用频段以及系统资源,主要是产生高斯四阶脉冲的过程中可以得到一阶至三阶的高斯脉冲。因此,线性组合的思想可以充分利用高斯各阶脉冲波形。实际上,高斯脉冲波形的阶数愈高,其频谱中心频率也愈高,高频特性也比较好。不过,伴随的是系统复杂程度提高,计算量呈幂次增加。因此,本文以高斯一至四阶脉冲波形作为基函数,进行线性组合。
高斯脉冲组合信号波形的产生
假设高斯组合波形的基函数为:S(t)=[s1(t),s2(t),s3(t),s4(t)]T,系数矩阵C=[c1,c2,c3,c4],则由基函数通过系数矩阵加权以后形成的组合波形为:
(3)
根据上式(3),可以采用类似于线性均衡的方式构造高斯组合波形,图2就是利用线性横向滤波器这样的结构生成组合波形的框图。
图2 高斯组合波形生成框图
高斯脉冲组合信号波形生成方法
通过产生一定数量的随机数作为加权系数,代入(3)式,分别计算各自的功率谱密度。然后通过与FCC-MASK相比较,将符合条件的系数进行登记,并选择功率最大者作为最后的加权系数。
由于上述方法是随机产生的,每次计算的值会有所不同。简而言之就是这种方法的加权系数并不惟一,计算结果不是很稳定。
也可以根据各个基函数以及他们组合后所具有的功率谱形状,比较组合脉冲功率谱在某几个频率点的功率值与相应点的FCC-MASK大小,决定下一步迭代的各基函数组合权值是增加还是减小。选择不同频率点的功率差值作为迭代中止条件,最后的迭代组合权值是不同的,因此,这种方法所得到的组合权值也不是惟一的。
本文在上述的基础上进行改进,即先确定各阶脉冲函数成形因子t的取值,然后在相应系数取值范围内进行多次迭代过程,图3为本方法的流程图。
图3 高斯组合波形产生流程图
根据图1中的频谱特性,由于高斯一阶脉冲的中心频率比较低,而且在取2ns时,其频谱宽度很窄,尤其是在0~0.96GHz频段比较明显,能够较好利用那段频谱。而二阶和三阶脉冲取为0.314ns,作为在1GHz~4GHz频段的过渡。高斯四阶脉冲的则采用0.175ns,原因在于:一方面是能较好满足室内的传播;二是频段带宽利用率较高。
在高斯组合波形基函数值确定以后,便将四个加权系数按照各自的步长进行计算,得出相应的功率谱密度,并与FCC-MASK相比较,将符合条件的系数进行登记,并选择功率最大者作为最后的加权系数。只要各个加权系数的起始和终止值相同,如果每次运算的步长也相同,那么最后的最优组合系数是可以确定的,这也是本方法的优点。
在图2的抽头增益模块中,按照图3的流程,其中含有一个自学习的过程。系统首先判断各阶高斯脉冲的成形因子与上次相比是否有所改变,如果没有变动的话,可以将上次记录的系数值直接送至组合脉冲输出模块。若成形因子有所变化,则系统进入自学习过程,即按照预先给定的步长不断计算判断组合波形的功率谱密度是否满足要求。不过,上述算法的一个缺点是:若成形因子变化大,那么组合波形的抽头系数计算需要花费一定的时间,不能很好满足对实时变化要求很高的场合。但是对于波形产生要求固定的场合是很有实用价值的。
高斯脉冲组合波形仿真
高斯脉冲组合信号波形仿真结果
本文以(1)、(2)式作为高斯组合脉冲的基函数,波形成形因子分别采用2ns、0.314ns、0.314ns、0.175ns。根据图3的流程,利用Matlab进行计算机仿真,得到最后的参数结果如下:Coefficients= [-0.044,-0.01,-0.0164,-0.8617]。
图4和图5分别是高斯组合波形参数优化前后的时域与频域的波形图。
图4 高斯组合波形优化前后的时域特性
图5 高斯组合波形优化前后的频域特性
从图4可以看出,组合优化前的时域一阶波形的成形因子取值比较大,因此在时域上的持续时间较长,各个阶数的波形叠加以后出现时域波形持续时间长,变化缓慢(在相对短时间内的变化量);同时,优化后的高斯组合波形形状类似于高斯四阶波形,只是在两边的电平极性相反,在短时间内变化较快,波形较窄,相应频谱会拓展。
图5反映的是高斯组合波形优化前后在频域上的变化。 由于都有低阶的高斯脉冲成分,所以在0~0.96GHz频段都能覆盖到,但是由于各个阶数的成形因子不同,且原来高斯单脉冲的频谱本身就不能很好满足FCC-MASK的要求,在1GHz~1.6GHz频段超出辐射掩蔽要求,可能对其他无线通信系统造成干扰,尤其是GPS所处的频段。而经过不断地判断比较以后,高斯组合脉冲波形能够比较好地满足频率辐射掩蔽的要求,且在0~0.96GHz频段也能充分利用,这也就是采用高斯脉冲组合的一个重要原因。在3.1GHz~10.6GHz 频段,其性能和高斯四阶相当。这样,优化后的高斯组合脉冲,无论在频段覆盖还是辐射掩蔽方面,都能很好地满足条件。而且该系统可以在原有四阶脉冲系统的基础上,将各阶脉冲信号分别乘上相应系数后叠加,通过一定的算法调节参数,可以得到理想的高斯组合脉冲波形。
高斯脉冲组合波形频带利用率
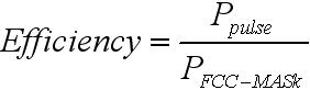
高斯组合脉冲波形除了能够满足FCC-MASK的要求,其最大的优点就是能够充分利用频段,提高频段利用率。本文以粗略的方法评估频带利用率,记为:
(4)
由于在仿真阶段,处理数据过程中组合脉冲和FCC-MASK的频段相同,所以能够使用能量谱近似代替(4)式,如下式:
(5)
经过上述仿真,高斯脉冲组合波形的频带利用率为39.65%,这是在两者都是归一化的情况下测得的。而当高斯四阶波形选择相对较好的成形因子(=0.314ns)的时候为22.1%,而普通的时候(=0.714ns)则仅为9.72%。从上述涉及的数值上看,频带利用率的提高比较明显,这正是高斯脉冲组合波形的优点,在充分利用系统产生各阶波形的基础上,利用组合可产生性能更好的脉冲波形。
结语
本文利用各阶高斯脉冲波形的特点,将线性均衡引入高斯脉冲组合系统,通过调整各阶脉冲的抽头增益,产生性能更好的高斯组合脉冲波形,不仅能满足FCC- MASK的要求,而且能提高频带利用率。此外,还改进了抽头增益的调整算法,主要是能够输出固定的高斯组合波形。对于改变成形因子的情况,系统能够自动判断选择。因此,对于实时性要求不高的场合更具实用价值


