- 易迪拓培训,专注于微波、射频、天线设计工程师的培养
光电检测电路
录入:edatop.com 点击:
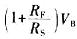
图为光电检测电路。该检测电路是由放大器A,反馈电阻RF和CF组成,其输出电压为u1=SPRF,其中,S为光电二极管的灵敏度,P为入射光功率。在检测弱光信号时,RF为提高增益,RF的取值应选择尽可能大,放大器的输入偏置电流IB和输入失调电压VB对输出电压的影响分别为IBRF和
,Rs为光电二极管内阻。可以看出,减小RF可以减少以上影响,但同时会减小电路的增益。解决这个问题需选择偏置电流和失调电压均很低的运算放大器。这里选用0PAlll型高精度运算放大器,其偏置电流约为0.8 pA,输入失调电压约100μV。经过计算,RF的值取在几百MΩ范围内时,上述影响可以近似忽略,能够满足电路的要求。



