- 易迪拓培训,专注于微波、射频、天线设计工程师的培养
探头测量结果的重要性
我们可以预测,如果用有接地引线的探头去测量非常愉的来自低源端电阻信号源的信号,会观察到人为的振铃和过冲现象。
通过图3.6和图3.7,可以比较我们的判断和实际的测量结果。这些实验采用电容极低的FET型探头,额定为1.7PF并联电容,其3DB带宽为1GHZ,连接到数字示波器TEKTRONIX11403。图3.6中信号源的源端电阻为25欧,3IN长的接地引线。中间波形采用的是裸探头直接接触测量点,接地线长度也是3IN长的接地引线。中是的波形采用的是裸探头直接接触测量点,接地线长度也是3IN。显然,只拿掉探头的塑料夹子产生的影响很小。这此扫描波形显示,在25欧源端电阻情况下的过冲约为15%,而在5欧源端电阻情况下的过冲则高达29%。

图示的振铃周期在2~6NS之间。我们可以很快知道电路的时间常数:

由0.63NS的LC电路时间常数得到的振铃周期为:

到目前为止,测量结果和理论几乎一致。那么两个图例中最下方的波形是什么呢?为什么这个波形会更好呢?

两个图例最下方的波形为我们解决过冲问题提供了很好的思路。在下方的波形测量中,我们把探头的外塑料壳去除,把接地引线拿掉,使探头外部的金属屏蔽层以及探头顶端完全正确裸露,然后用一个刀片将探头外屏蔽层和被测电路的地直接相连,尽量靠近信号测量点。这使得实际的接地线自感非常小。采用这种直接连到地线的方法,25欧源端电阻和10欧源端电阻的扫描波形在过冲方面都得到了明显的改善。

为什么探头接地点靠近信号源会比较好呢?最主要的原因是从根本上减少了探头组件的接地回路自感。减少了自感,则减少了探头上升时间,见式(
)和式(
)还降低了Q值见式(
)
地线自感必须小到何种程度才能够保证低的Q值和较快的上升时间呢?可以用一个比较短的线来代替麻烦的刀片方式吗?表3.1列出了测量TTL和ECL电路时各种接地环路自感值对应的10~90上升时间和Q值。
对于10PF的探头,要想使TTL电路上升时间为1NS时有比较小的过冲,必须使环路自感小于10NH,对于ECL电路而言,环路自感的要求更低。
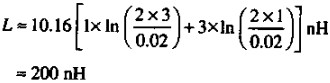
为了减少环路自感,我们用一根较粗的接地引线替换图3.4中的接地引线,如果原来的接地线是AWG24,那么现在我们试用AWG18,这时导线的直径扩大了一倍。重新计算式(
)可得到:

可以看出,作为线径的函数,电感的变化有多么慢吗?线径扩大一倍,而电感值的变化只有15%这个方程表明,作为线径的函数,相对于线径的变化,电感值是以对数形式缓慢变化的,为了让电感有较大的改善(例如10倍)我们不得不增加线的直径,直到导线粗到环路两边的导线都贴到一起。
另一方面,线的硬度与线的径的立方成正比,它会随着线径的增加显著增长。硬件度和电感系数是互相制约的。通过增加线径来解决探头自感问题的做法并不可行。
电感值与线的长度和所围成的环路面积基本成正比关系。通常用来解决电感问题的方法包括减小线的长度,或降低环路面积的大小,而并不是增大线径。
表3.1表明,2PF的探头比10PF的探头有更好的上升时间,但当测量低源端阻抗信号时,会遇到更高Q值的问题。



