- 易迪拓培训,专注于微波、射频、天线设计工程师的培养
采用SAR系统设计高速数据采集和存储系统
合成孔径雷达(SAR)是主动式微波成像雷达,近年来随着合成孔径雷达的高速发展,对作为重要部分的数据采集和存储系统的要求越来越高,比如对数据采集系统的采样率、分辨率、存储深度、数字信号处理速度、抗干扰能力等方面提出更高要求。 SAR系统的数据采集和存储处理需要满足正交两路(I/Q)雷达回波信号数据同时采集,并实现高速传输和大容量长时间实时存储。根据这一要求,结合采集存储的发展趋势,设计并实现了一种应用于SAR,基于SATA硬盘的高速数据采集和存储系统。采用FPGA实现系统工作时序控制,DSP功能模块完成信号的处理和对硬盘的操作。该系统能够实现脱机,长时间,高速大容量的数据存储。
1 系统构成及设计原理
本系统由模数转换模块、采集存储控制模块、DSP功能模块和数据存储器(硬盘)组成。其中模数转换模块和采集存储控制模块位于电路板1,数据存储接口模块位于电路板2,板间按照SHB接口协议通信。系统实现思路为:首先采集正交输出的I/O两路模拟正交信号,经过并在雷达回波有效时间内将数据送入DSP功能模块转化数据格式。在两次回波有效窗的间隔时间内,将数据存入SATA硬盘中,系统结构如图l所示。
1.1 数据采集模块
模数转换模块主要功能是:在120 MHz的采样时钟下,将I/O两路模拟正交信号转换成12位数字信号,送给后端的采集存储控制模块。该模块由信号调理器和A/D转换器2部分构成。信号调理器主要完成对输入信号的幅度和共模电压的调整,A/D转换器将调整后的模拟信号均匀采样得到其量化的数字信号。根据系统要求,运算放大器选用AD8351,该器件是用于RF和IF频段的低功耗差分运放,其输出放大增益和差分共模电压均可通过调整片外相应电阻阻值实现。A/D转换器选用AD9430,该器件分辨率为12位,最高转换速度为170百万次/秒,输入信号模拟带宽为710 MHz,输出模式可灵活配置。
1.2 采集存储控制模块
采集存储控制模块是整个系统运行控制的核心部分之一,其内部框图如图1的FPGA部分。该采集控制模块的主要功能是:前端采集的数字信号在输出控制模块的控制下(编码等处理),经SHB送到DSP功能模块,DSP通过基于纽曼-皮尔逊准则的滑窗检测算法计算出有效信号的具体位置,并得到这些参数(CalEnd、Start、Hold、Error、Pause、Delay、CalPRF、PRF-INCRS和Full),然后经过编码将这些参数传送给采集控制模块,采集控制模块通过译码模块,恢复这些参数并通过这些参数控制时序,就可以采集信号的有效部分。最后通过SHB把这些有效信号传给DSP功能模块,存储在SATA硬盘中。该采集存储控制模块的时钟为120 MHz。
根据设计要求,采集存储控制模块的最高工作频率为240 MHz,由于该模块的主要功能是对系统中各子模块的接口连接和控制,所以其外部接口较多,还涉及到多电平模式间的转换和兼容。通过最后的仿真综合分析,本方案设计选用Virtex 4系列的FPGA器件XC4VFXl2。
如图1中的FPGA框图,采集存储控制模块包括4个主要的功能模块,其中总体时序控制模块是核心模块。按照系统工作要求,本系统设计并实现了如下工作:系统开机后,外部硬件电路将对系统进行自动复位。复位信号有效后,总体时序控制部分将进人状态“0001”,对总体时序控制所有参数进行初始化配置。参数配置结束后,将自动从状态“0001”跳转至状态“0010”。状态“0010”是总体时序控制部分的状态跳转中枢,该状态根据译码产生的控制信号跳转至相应的下一个工作状态。根据系统工作方案,需要FPGA在接收到START(开始传送数据)信号后,向后端传送单个完整的PRI内的采样信号。此时CalEnd信号为系统初始化时,所赋予的初始值‘0’。当FPGA接收到START信号后,将检测CalEnd是否为其初始值‘0’,当条件“CalEnd=‘0’and START=‘1’”成立时,总体时序控制部分将从状态“0010”跳转至状态“001 1”。总体时序控制部分跳转至“0011”状态后,将在下一个PRF上升沿到来后,通过PCI输出管理部分开启SHB输出通道,传送一个完整PRI内的采样数据。数据传送完毕后,自动由状态“0011”跳转回状态“0010”,并关闭SHB输出通道。至此,FPGA对计算结束前接收的一次START命令执行完毕。当信号检测部分一旦检测到有效回波位未能完整落入采样PRI内时,将通过SHB输入端口向FPGA传送DEIAY信号。在总体时序控制部分接收到输入信号译码产生的DElAY信号后,将在下一个PRF上升沿到来后,由状态“0010”跳转至状态“0100”,当延时完成后自动由状态“0100”跳转回状态“0010”。当信号检测结束后,后端模块将通过SHB输入单元把PRF延迟量传送至FPGA,同时将总体时序控制中的Ca-lEnd信号置高。当总体时序控制部分检测到CalEnd信号为高时,将在下一个PRF上升沿到来后,由状态“0010”跳转至状态“0101”。在状态“0101”中,根据计算的PRF延迟结果,对采样PRF的位置进行一次延迟。延迟结束后,将自动跳转至状态“0110”。状态“0110”中。总体时序控制部分将通过SHB输出控制模块关闭SHB通道。同时等待数据传送开始信号START。
2 DSP功能模块
DSP功能模块主要由SMT387模块完成。本设计利用TMS320C6415型DSP完成了对回波信号采集数据的分析处理,并为前端数据模块提供相应计算结果,使信号采集模块得以准确完成对回波信号的有效采集。同时,利用SMT6087的文件操作系统将采样数据转换为FAT32文件系统下的数据格式,并将数据存人SATA硬盘中。
SMT387是一款专门用于数据硬盘存储的DSP功能模块。其主要特点有:
1)双SATA硬盘接口,采用Silicon Image Serial ATALink 3512;
2)600 MHz工作频率的TMS320C6415DSP;
3)Virtex-ⅡPro FPGA;
4)1组60针的SHB接口;
5)8 MB的Flash为脱机工作提供配置,其中数据传输采用的SHB协议是一种高速数据传输协议,其传输速率可达240 MB/s。
SHB总线由两组相互独立的SunDance数据总线(SunDance Digital Bus,SDB)单元SDBl和SDB2构成,每组SDB单元含有16根数据线,3根控制信号线WEN,REQ,ACK和1根时钟线CLK。每组SDB单元均可独立地配置为单向收发或双向收发的工作模式。
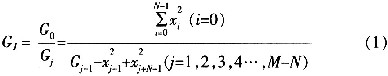
在本系统中,采用滑窗检测的方法对有效回波进行检测。滑窗检测器在PRI内对N个采样样本点求平方和,其检测变量数学表达式:
式中,Gn为检测变量的初始值;xi,xj为A/D输出采样样本点,i,j=0为单个完整PRI内采样数据的起始点,i,j=M-1为该PRI内采样数据的终止点;M为单个完整PRI内采样点总数,N为检测滑窗宽度。当Gj超过所设定门限β(Gj>β)时,则认为此时信号有效。
根据输出的噪声采样样本点xi,可计算得到xi的均值、方差和门限:
其检测具体流程如下图2所示。
下面是DSP中的的部分代码(其中很多函数是SMT6087操作系统自带的):
3 测试结果
本系统的主要功能就是检测有效信号的位置并对有效信号进行存储。测试方案:利用Tektronix AWG420信号源输出30 MHz中频,10 MHz带宽,10 us脉宽的线性调频信号模拟实际工作中的线性调频信号。PRF为1 kHz,系统采样率为120 MHz。用示波器(Tektronix TDS505Z)进行观察,信号检测结果如图3所示,图3(a)无输入信号,所以没有有效回波信号,只有数据采集窗;由图3(b)可见,当有信号输入时,开机后数据采集窗迅速锁定有效信号位置,有效信号在采样窗内,说明DSP功能模块正确地锁定了信号的有效位置。图4和图5是整机现场测试结果,输入脉冲压缩信号。图4是输入的I/O信号频谱,图5是从硬盘中读出的信号经傅里叶变换后的频谱,因此本采集存储系统能够成功完成数据的采集和存储功能。
4 结论
该系统运用纽曼-皮尔逊准则的滑窗检测算法检测回波信号中有效信号的位置,达到只存储有效信号,大大降低了对存储速度的要求。该系统还设计了一套基于SMT6087操作系统的数据格式转换软件,可以不通过计算机直接将数据转换为FAT32格式,大大提高了系统在野外工作的能力。但纽曼-皮尔逊准则存在一定漏检概率,也就是会丢失一些有效信号,使得采集的信号不够完整。为了提高存储数据的准确性,设计一套完全不丢失数据的采集存储系统其有重大意义。


