- 易迪拓培训,专注于微波、射频、天线设计工程师的培养
开关稳压器电流检测的一种新方法介绍
0 引言
随着电子产品向小型化、便携化的趋势发展,单片集成的高效、低电源电压DC-DC变换器被广泛应用。在许多电源管理IC中都用到了电流检测电路。
在电流模式PWM控制DC-DC变换器中,
式中:μ为沟道载流子迁移率;Cox为单位面积的栅电容;VTH为MOSFET的开启电压。
如图1所示,已知MOSFET的等效电阻,可以通过检测MOSFET漏源之间的电压来检测开关电流。
这种技术理论上很完美,它没有引入任何额外的功率损耗,不会影响芯片的效率,因而很实用。但是这种技术存在检测精度太低的致命缺点:
(1)MOSFET的RDS本身就是非线性的。
(2)无论是芯片内部还是外部的MOSFET,其RDS受μ,Cox,VTH影响很大。
(3)MOSFET的RDS随温度呈指数规律变化(27~100℃变化量为35%)。
可看出,这种检测技术受工艺、温度的影响很大,其误差在-50%~+100%。但是因为该电流检测电路简单,且没有任何额外的功耗,故可以用在对电流检测精度不高的情况下,如DC-DC稳压器的过流保护。
1.2 使用检测场效应晶体管(SENSEFET)
这种电流检测技术在实际的工程应用中较为普遍。它的设计思想是:如图2在功率MOSFET两端并联一个电流检测FET,检测FET的有效宽度W明显比功率MOSFET要小很多。功率MOSFET的有效宽度W应是检测FET的100倍以上(假设两者的有效长度相等,下同),以此来保证检测FET所带来的额外功率损耗尽可能的小。节点S和M的电流应该相等,以此来避免由于FET沟道长度效应所引起的电流镜像不准确。
在节点S和M电位相等的情况下,流过检测FET的电流,IS为功率MOSFET电流IM的1/N(N为功率FET和检测FET的宽度之比),IS的值即可反映IM的大小。
1.3 检测场效应晶体管和检测电阻相结合
如图3所示,这种检测技术是上一种的改进形式,只不过它的检测器件不是FET而是小电阻。在这种检测电路中检测小电阻的阻值相对来说比检测FET的RDS要精确很多,其检测精度也相对来说要高些,而且无需专门电路来保证功率FET和检测FET漏端的电压相等,降低了设计难度,但是其代价就是检测小电阻所带来的额外功率损耗比第一种检测技术的1/N2还要小(N为功率FET和检测FET的宽度之比)。
此技术的缺点在于,由于M1,M3的VDS不相等(考虑VDS对IDS的影响),IM与IS之比并不严格等于N,但这个偏差相对来说是很小的,在工程中N应尽可能的大,RSENSE应尽可能的小。在高效的、低压输出、大负载应用环境中,就可以采用这种检测技术。
2 新型的电流检测方法
在图4中,N_DRV为BUCK稳压器的同步管栅极驱动信号,N_DRV_DC为N_DRV经过1个三阶RC低通滤波器之后滤出的直流分量,并且该直流分量为比较器的一端输入,比较器的另一端输入为一基准电压值BIAS,,比较器的输出LA28(数字信号,输出到芯片的控制逻辑)为DC-DC负载电流状态检测信号。
该电流检测电路的作用如下:
在一个稳压器芯片中,既包括一个DC-DC(BLYCK),又包括一个LDO,中载和重载时工作于PWM模式,轻载时(约为3 mA以下)工作于LD0下,而本文提出电流检测电路的作用是:当其负载电流小于一定值时(此时开关稳压器处于DCM模式下),LA28电平跳遍,实现PWM模式向LD0模式的模式切换。
这里需要注意的是,如果对输出负载电流直接进行检测或是通过将电感电流取平均值的方式来检测输出负载电流,则将会带来电路实现上的困难。而在此提出的这种检测方法却不存在这个问题。
该架构图是DC-DC负载电流状态检测电路的等效图。其作用是当DC-DC负载电流低于3 mA时,其输出信号LA28由高变低,从而实现PWM模式向LD0的切换。它的基本原理是利用DCM模式下(当负载电流为3 mA时,DC-DC处于DCM模式下)负载电流与开关管栅极驱动信号N_DRV的关系,通过检测N_DRV来监控输出负载电流的变化,从而实现当负载电流低于3 mA时PWM模式向LDO的切换。
下面将用图5来说明该电路检测负载电流的原理。
图5是DCM模式下电感电流IL与同步管栅极驱动信号N_DRV的波形图。
在该图中,电感电流的上升斜率为
,而下降斜率为
,则有:
且
此时:
又由于每个周期通过电感输出到负载的电荷量是不变的,故有
。其中:T为开关周期;IOUT为输出负载电流。
从上面几式得:
故有:
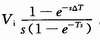
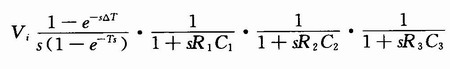
现在再来分析图4,在频域内,从N_DRV到N_DRV_DC的系统传递函数为:
故图4中的R与C组成的网络是1个三阶的RC低通滤波器。下面计算N_DRV_DC,从t=O接入脉宽为△T,周期为T的周期性矩形脉冲信号N_DRV,其复频域的象函数为
。
故N_DRV_DC的象函数为:
需要注意的是,在设计三阶RC低通滤波器时,其带宽应设置得远小于DC-DC的振荡器频率(即N_DRV的频率),以保证很好地滤出N_DRV中的高频分量;但也不宜设置得太小,否则所使用的电阻和电容将会比较大。
当DC-DC负载电流减小,N_DRV_DC也会减小,若减小至N_DRV_DC=BIAS3时,比较器开始由高变低,芯片将从PWM模式进入LD0模式。设此时的负载电流为ILDO(ON),则:
即:
联立式(1)和式(2)得:
由上式可知,DC-DC向LDO的切换阈值ILDO(ON)与电感值L成反比。
最终的电流检测实现电路如图6所示。由于该电路原理比较简单,分析从略。
3 仿真结果数据
仿真结果数据如表l所示。TA=25℃,L=2.2μH。
4 结语
提出了一种 开关稳压器电流检测的新方法,通过检测DCM模式下同步管栅极驱动信号,实现对输出负载电流的检测,从而得出芯片从PWM模式向LDO模式的切换。由此解决了通过检测电感平均电流而使的电路实现的困难。经过HSpice仿真验证,其仅消耗5μA的静态电流。该种检测方法主要适用于需要对开关稳压器的DCM模式下负载电流进行检测的场合。
上一篇:电子血压计测量原理及设计要求
下一篇:光纤宏弯损耗测试方法介绍


