- 易迪拓培训,专注于微波、射频、天线设计工程师的培养
基于UWB技术的脉冲发生器的设计与实现
传统数字通信是通过在信道中发送包含信息的模拟波形来实现通信的,而超宽带(UWB)通信是通过发送和检测极窄脉冲序列来实现通信。这种脉冲的脉宽只有1个多ns,有的甚至小到lns,并目.其带宽可以达到或者超过3GHz。
从本质上讲,产生ns级宽度短脉冲的信号源是 UWB技术的前提条件。单个无载波窄脉冲信号有两个特点:是激励信号的波形为具有陡峭前后沿的单个短脉冲,是激励信号具有从直流到微波的很宽的频谱。目前产生脉冲源的两类方法为:1.光电方法,基本原理是利用光导开关的陡峭上升,下降沿获得脉冲信号,是最有发展前景的一种方法。2.电子方法,基本原理是利用晶体管P N结反向加电,在雪崩状态的导通瞬间获得陡峭上升沿,整形后获得极短脉冲,这是目前应用最厂一泛的方案。受晶体管耐压特性的限制,这种方法一般只能产生几十V到上百V的脉冲,脉冲宽度可以达到lns以下。
阶跃恢复一二极管(SRD)也是一种PN结二极管,但它在管芯设计和结构工艺上采取了一些特殊的措施,能够获得电流的"阶跃",可以用来产生很窄的脉冲。本文就着重讨论使用阶跃恢复二极管产生窄脉冲的方法。
脉冲发生器 的设计与实现
阶跃二极管产生极窄脉冲的原理传统窄脉冲产生的基本原理是通过器件所存储能量经由高速开关器件快速放电而得到。提高输出脉冲性能的途径有两个:增加器件存储的能量,加快器件放电速度。这两种方法都依赖于高速开关器件,因此,高速开关器件是超宽带脉冲信号产生的关键。
阶跃恢复二极管是一种充分利用少子储存效应的器件。作为一种PN结二极管,普通整流管要求正向时管子导通,反向截至,因此少子储存效应对整流器件显然是不利的。而对阶跃二极管,当加上正向电压时,大量少数载流子注入I层并储存起来,反向时由于少子基本上被反向电场提取完毕,器件在极短的阶跃时间内关断,关断瞬间产生了电流跳变,形成一个很窄的脉冲。
理想的阶跃恢复二极管在正向和反向偏置时,具有两种阻抗状态。正向:
相当于低阻抗短路状态;反向
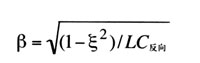
为高阻抗状态。简化的脉冲串发生器电路如图1所示。频率为f,的激励信号使阶跃管正向导通,直至二极管的储存电荷释放完为止,脉冲发生器的等效电路如图2所示。此时输出电压维持在阶跃管的接触电势Φ。与此同时,激励电感L中储存输人信号的能量。当输入信号电压同阶跃管的偏压大小相等、符号相反,而储存电荷又降为零时,阶跃二极管自低阻抗状态转为高阻抗状态。脉冲发生器的等效电路如图3在R'上造成如下形式的阻尼振荡 所示,激励电感释放其储存能量,电压:而p是阻尼振荡角频率
(3)
实际上,在负载R'上能观察到半周期的仅仅是此阻尼振荡波形的第一个,因为电压超过管子的接触电势时,阶跃二极管又重新处于低阻抗状态,输出电压将维持在Φ。所以在输入频率为f1的连续信号作用下,脉冲发生器的输出电压波形将是窄脉冲串,每个脉冲之间的间隔为1/f1,脉冲根部宽度为

脉冲产生电路及分析
阶跃恢复二极管的工作依赖于载流子的复合,在设计电路时,为了获得高效率与高输出功率,二极管的载流子寿命τ愈长愈好,阶跃时间tst愈短愈好。τ下与tst;。是一对互相制约的参数,在选管子时应综合考虑,τ主要决定阶跃二极管的输入信
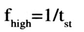
阶跃时间则决定了二极管高次谐波的上限,tst越小,则高次谐波越丰富,倍频效率越高。二极管产生谐波的上限频率以阶跃时间的倒数来定义,存在以下关系:
为避免传输线对脉冲发生器过载,在50Ω系统中,阶跃管阻抗的要求为l0(Q)
为避免传输线对脉冲发生器过载,在50Ω系统中,阶跃管阻抗的要求为l0(Q)
电路原理图
实际的脉冲发生器电路包括阶跃管、激励电感、高频调谐电容、阻抗匹配网络、偏置电路等,如图4所不。
(4)匹配网络设计
为了使脉冲发生器的输入电阻与信号源内阻(一般为50Ω)匹配,较简便的办法是采用变阻低通滤波器。匹配电路的简化等效电路如图5所示,该电路可看成是集中参数半节Г形阻抗变换器。对于这种电路,
(5)偏置电路设计
一般采用自偏置电路。自给偏置的产生过程简述如下:在外加交流电压超过二极管的接触电位差Φ的时间间隔内,二极管的正向电阻远小于R,信号源通过小的正向电阻向电容c.充电;当外加交流电压小于D值并使二极管进入反向工作区域时,二极管呈现很大的电阻(与R比较而言),电容C1通过电阻R放电。如果C1R的时间常数比基波电压的周期大得多,则放电电流可以认为是一常数;于是在电阻R上就产生一个压降,其值为I0R,并反向地加在二极管上。由于这一偏压是整流电流引起的,所以随着激励电压幅度的变化,偏压随之改变,从而可以自动调节工作点。偏压电阻值可按下式估算:
c3的原理与c1一样,但其充放电过程与C1相反。如果电路中去掉c3则电路的输出端就没有一个压降,所得的脉冲就是一个高斯脉冲波形;如果电路中有C3,所得脉冲就是一个高斯脉冲的一阶导数。
实验结果
上述公式只能对元器件的值进行大概的估算,还要通过反复实践进行修正。笔者在电路调试过程中,为了得到较窄的脉冲宽度,反复实践修正元器件的值。利用信号发生器产生31MHz,24dBm的正弦波作为电路的触发信号源,c1和cc可选用几万pF的大电容,偏置电容C3的容值尽可能小。自偏置电阻R为几十Ω或几百Ω,通过对R的微调,可以改变产生脉冲的重复周期。cm和ct分别为7 8 0 p F和390+45pF。LM和L分别为30nH和70nH的空心电感线圈。其中微调激励电感L的感值对脉冲的波形影响尤为明显。图6是从示波器上观察到的高斯脉冲的一阶导数波形(有偏置电容c3),脉宽1.5ns左右,Vpp为7V。
实践表明,有时理论计算的数值与实际电路的数值相差颇大,其可能的原因是:管子参数的误差及离散性较大;设计中没有考虑寄生参量以及输入回路与输出回路之间的影响;大信号(特别是过激励)的理论尚不完善。


