- 易迪拓培训,专注于微波、射频、天线设计工程师的培养
扣式电池的充放电测试
扣式电池组装成型后,静置6小时,即可进行充放电实验。用恒电流方式对电池进行充放电,充放电的条件视实验需要不同而定。通过不同充放电电流倍率、不同的充放电电压范围的恒电流充放电实验来测量电池的首次充放电容量和循环稳定性能。Li2FeSiO4和Li2MnxFe1-xSiO4材料的充放电电位范围为:1.5-4.8 V; Li2CoSiO4材料的充放电电位范围为:3.0-4.6 V。扫描速度有0.02mV/s,0.5mV/s,5mV/s。
电导率测定
电导率的测定主要采用了四探针测量电阻率的方法。所采用的四探针测量仪是SX1934 (SZ-82)数字式四探针测试仪,该仪器是利用四探针测量原理的多用途综合测量装置。它可以测量片状、块状半导体材料径向和轴向电阻率,测量片状半导体材料的电阻率和扩散层的薄层电阻(方块电阻)。采用活塞式压片模具,在20MPa压力下,将电极材料粉末压成直径为1.5cm、厚度约为1cm的圆片,然后利用该仪器在样品上选取不同的区域测量其电阻率,进行平均取倒数得到其电导率。
探针测试技术
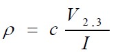
利用四探针方法测量电阻率时,将位于同一直线上的4个探针置于一平坦的样品(其尺寸相对于四探针,可视为无穷大)上,并施加直流电流I于外侧的两个探针1和4上,然后在中间两个探针2和3上用高精度数字电压表测量电压V2,3(如下图所示),
则检测位置的电阻率ρ(Ω·cm)为:

其中,c为四探针的探针系数(cm),它的大小取决于四根探针的排列方法和针距。

电导率的测定主要采用了四探针测量电阻率的方法。所采用的四探针测量仪是SX1934 (SZ-82)数字式四探针测试仪,该仪器是利用四探针测量原理的多用途综合测量装置。它可以测量片状、块状半导体材料径向和轴向电阻率,测量片状半导体材料的电阻率和扩散层的薄层电阻(方块电阻)。采用活塞式压片模具,在20MPa压力下,将电极材料粉末压成直径为1.5cm、厚度约为1cm的圆片,然后利用该仪器在样品上选取不同的区域测量其电阻率,进行平均取倒数得到其电导率。
上一篇:数显超声波测距仪的设计实现
下一篇:基于BIST的IP核测试方案


