- 易迪拓培训,专注于微波、射频、天线设计工程师的培养
高等级公路路面裂缝类病害轮廊提取的算法研究
摘要:介绍了高等级公路路面的裂缝类病害的轮廓利用数字图像技术进行提取的方法。利用高速的黑白CCD摄像机配合光源,实时摄取公路路面的图像,并对图像进行噪声滤除、边缘检测和图像分割操作,最后可以清晰地提取出路面裂缝的轮廓,为后期计算裂缝开裂长度、宽度和损坏密度等参数的计算提供依据。
随着我国高等级公路建设的快速发展,高等级公路路基路面的质量监控体系越来越完善,要求的检测水平也越来越高。由于车辆在高等级公路上行驶时,对路面的平整度、路面完好率要求很高,当路面出现凹凸、裂纹等病害时,应及时进行维修;否则,交通安全就会受到影响。目前,国内检测高等级公路路况的手段主要是依靠人工丈量的方法,不但效率低、劳动强度大、检测速度慢、误差较大,不能满足高等级公路检测的要求,而且在高速公路上进行人工检测十分危险。CCD摄像机作为一种光电图像传感器,已广泛应用于几何尺寸测量、光谱测试、位移测量、速度测量、天文观测等领域[1]。将CCD技术应用于高等级公路路况的检测,可解决人工丈量所存在的缺陷和不足。

本文提出利用数字图像技术对高等级公路路面的裂缝类病害的轮廓进行提取。利用高速的黑白CCD摄像机配合光源,实时摄取公路路面的图像,并对图像进行噪声滤除、边缘检测和图像分割等操作,最后可以清晰地提取出裂缝的轮廓,为后期的测量提到高质量的图像。
1 图像采集
系统硬件环境的结构设计是系统实现的关键之一。根据系统实现目标和可行性的分析,以及实验条件的限制,搭建了图1所示的实验室硬件工作环境。经实践证实,该系统可以满足对路面图像采集的要求。
考虑到整个系统将运行在野外的测试车上,各种设备的交、直流供电情况是必须考虑的一个问题。应选用合适的稳压电源和调光电源向照明系统、CCD和计算机进行供电。CCD相机对被测路面的光线情况要求很高,太强或太弱的光线都不利于病害路面在CCD相机中成像,合适的光源和光学系统才能保证被测路面在CCD中良好地成像。CCD借助光学系统将照射于其上的光信号转换为电信号,形成视频信号。图像采集卡完成对图像模拟视频信号的模/数转换功能,经抽样与量化的数字图像在计算机中进行后期的数字图像处理。在实际应用中,CCD摄像机选用MINTRON公司的MTV-1881EX 1/2英寸黑白低照度高解析摄像机,图像采集卡选用MicroView公司的MVPCI-V2A专业黑白图像采集卡。摄像机固定在可移动的测试装置上,实时地摄取高等级公路路面的图像并输出视频信号给图像采集卡。图像采集卡完成模拟视频信号的数字化工作。数字化图像的空间分辨率设置为512×512,灰度分辨率8位256级。选用精工SE0813-3CCD光学镜头,焦距为8mm,F=1.3,锐片规格为2/3英寸,视场角为42.6°。
2 图像处理
2.1 图像预处理
在图像的采集过程中,由于受到光源和CCD相机抖动(运行中)的影响,图像中不可避免地存在大量的噪声,这为后面的边缘检测工作带来了较大地困难。因此,首先需要对采集的数字图像进行滤波去噪处理。噪声滤除一直是数字图像处理领域中一个经典的课题。对有噪声的图像进行边缘检测的方法已有很多,如Robert梯子各有所长,但对于裂缝类病害的图像并不适用。所以,希望能寻求既能很好地保护裂缝的边缘,又有滤除图像中噪声的图像滤噪算法,对图像进行预处理。
通常的滤波算法都设计为低通滤波算法,在滤除噪声的同时也模糊了图像中的边缘细节。应用较多的滤波技术有Lee滤波器、Frost滤波器、Camma CAP滤波器等。这些滤波算法都是基于对图像局部统计特性自适应的,滤除噪声的效果较好。但是,由于算法本身的原因,往往造成图像边缘细节信息模糊,降低了图像的质量。针对这一问题,人们提出许多改进算法,如改进的Lee滤波器、变窗口滤波器等。这些算法虽然在一定程度上解决了边缘模糊的问题,但也带来新问题。例如改进的Lee滤波器,由于要进行边缘检测,所以选择的窗口就不能太大;但小窗口对消除斑噪声不利,又降低了效能[5]。因此,希望能寻求一种具有边缘保护功能的噪声滤除算法。
针对以上情况,本文采用加权的领域平均算法对图像进行噪声滤除。该算法不仅能够有效地平滑噪声,还能够锐化模糊图像的边缘。同时该算法计算比较简单,不需要任何验知识和预定的参数,能为后期的边缘检测工作提供高质量的数字图像。
算法的计算公式描述如下:
用f(x,y)表示原始图像,g(x,y)为平滑后点(x,y)的灰度值,Vx,y表示以点(x,y)为中心的领域,该邻域包含N个像素,m(x,y)表示邻域Vx,y内的灰度均值。则修正的领域平均法由下式给出:

式(1)中,α为修正系数,取值范围为0到1,它的大小反映Vx,y中的边缘状况。α定义如下:

式(2)中,γ>0。
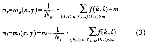
上偏差以mg(x,y)表示,定义为灰度值大于领域均值m的各像素的灰度平均值与m之差;下偏差以m1(x,y)表示,定义为领域均值m与灰度值小于m的各像素的灰度平均值之差。分别以Ng,N0,Nl代表Vx,y内灰度值大于、等于、小于m的像素数,则灰度的上偏差mg(x,y)和下偏差ml(x,y)可以分别表示为:

式(3)中,m的定义如下:

指数γ的大小直接影响上式的性能。γ越小,对噪声的平滑作用越强;γ越大,其税化作用越强。一般在噪声较强的情况下,噪声干扰对图像质量的影响比较突出,所以γ应当取较小的值;反之,在噪声较弱和图像细节较多的情况下,γ应当取较大的值。
在本文的实验中,考虑到噪声的滤除效果和后期的处理,γ取1,而Vx,y取为7×7邻域。
2.2 边缘检测
对于路面裂缝类病害的识别检测来说,边缘检测算法的好坏在很大程度上影响识别和检测的效果与精度。在数字图像处理的边缘检测方面,前人已进行了大量的科学研究和探索,提出和推导了大量经典的边缘检测算法。经典的、最简单的边缘检测方法是对原始图像按像素的某领域构造边缘检测算子,例如梯度算子、Sobel算子、Laplacian算子、Marr算子和Rosenfeld的门式算子等。在上述常用的算法中,梯度算子的思路简捷,运行速度较快;但是梯度算子只有水平和垂直两个方向的模板,其模板方向仅表示灰阶变化的梯度方向,而不是图像的实际边缘方向。Sobel算子运行速度较块,能滤除一些噪声,去掉部分伪边缘,可提供最精确的边缘方向估计[2],并在检测斜向阶跃边缘时具有较好的效果。但是Sobel边缘检测算子主要有水平和垂直两个方向的模板,算法的有向性使其不能对路面病害中的不规则裂缝进行有效识别与检测。Laplacian和Marr算子无方向性,并在边缘检测过程中,先对原始图像进行平滑,以降低噪声的影响。但是,由于对图像的平滑使得算子对边缘的定位不精确,处理后的边缘像素数目较多。

考虑到采集的路面裂缝类病害图像已进行了噪声滤除的预处理,又考虑到裂缝类病害的类型包括模向裂缝、纵向裂缝和不规则裂缝,边缘可能在各个角度方向存在梯度。因此,构造了8个方向的模板对图像进行Sobel边缘检测。该算法在边缘检测中是各向同性的。
算法实现的基本思想是:构造如图2所示的8方向模板,对图像进行逐点计算,并且取最大值作为该点的新的灰度值,该最大值对应模板所表示的方向为该像素点的边缘方向。
2.3 图像分割
该部分将经过8方向Sobel边缘检测的数字图像,进行图像分割(二值化)。考虑到需要对路面的病害图像作备份,同时也为了方便检测者了解裂缝的形状和走向,系统要提供直观的二值化图像,以供参考和进行后续的图像处理与测量工作。本文的图像分割算法选用由Ostu提出的最大类间方差法,该算法是在判决分析最小二乘法原理的基础上推导得出的[2]。
OSTU准则分割原理如下:
设一幅图像的灰度等级范围为[1,2,…L],对应灰度级i的像素为ni个,整幅图像的象素总个数N=n1+n2+…+nL,则对应灰度级i的像素出现的概率为:

整幅图像总的均值为:

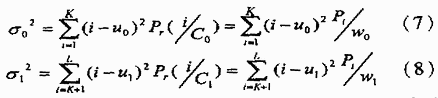
若整幅图像以灰度级K及阈值,且分为C0与C1两类。其中C0类灰度级范围为[1,…K],C1类为[K+1,…L]。
这两类的方差分别为:

式中,Pr为在C0(或C1)类中灰度级i的象素出现的概率,u0和u1分别为C0和C1类的均值。
这样有w0u0+w1u1=ur成立,w0和w1分别为C0类和C1类的概率。在此OSTU定义类内方差:
![]()
类间方差:
![]()
总的方差:

OSTU准则即:最优的阈值灰级K*满足下式:

3 实验分析
上面介绍了系统工作的硬件环境和算法实现的原理和方法。下面将通过对路面横向裂缝、纵向裂缝和不规则裂缝图像的实际处理,观察算法对裂缝类病害的识别能力。
图3示出本算法对实验环境下采集图像中的各类裂缝进行处理的结果。图3(a)、(b)、(c)是在硬件平台上采集的横向、纵向和不规则裂缝的样图;图3(d)、(e)、(f)是对样图进行噪声滤除、8方向Sobel边缘检测和图像分割(二值化)处理后得到的二值化图。由以上实验可以看出,本文提出的算法能对各类裂缝类病害进行较好的处理与识别,能够好地消除噪声的影响,裂缝轮廓清晰。
在实际的测试过程中,当物距为20cm,图像采集选用512×512像素的分辨率时,视场范围是11cm×11cm,CCD中像素分辨率为0.2mm。当物距为50cm时,视场范围是28cm×28cm,CCD像素分辨率为0.5mm。

在Visual C++ 6.0开发环境下编制的这套图像处理和病害识别软件,采用模块化设计,具有方便、简洁的用户界面,系统易于开发、易于移植等特点。它可控制图像采集卡对图像进行实时监控、采集、显示和存储等操作,同时具有对路面裂缝类病害包括横向、纵向和不规则裂缝图像进行噪声滤波、边缘检测、图像分割和目标识别的功能。
由以上实验可以看出,本文提出的对高等级公路路面的裂缝类病害的轮廓进行提取的算法可以清晰的提出路面裂缝的轮廓,为后期的测量提供高质量的图像。


