- 易迪拓培训,专注于微波、射频、天线设计工程师的培养
基于虚拟仪器的振动信号采集与处理系统
摘要:桥梁分布在广阔的空间范围内,给数据的采集带来了一定的困难。尤其对于振动信号,根据模态分析的需要,需要各采集点的时间严格同步。该文利用虚拟仪器开发的数据采集系统,可以满足分布各点的振动信号的同步采集。同时,该文利用LabVIEW开发了数据处理系统,可以对信号进行存储显示及频谱分析,通过对实验平台的振动数据采集处理结果显示,系统运行正常、处理结果正确。
关键词:虚拟仪器;同步数据采集;环境激励;频谱分析
0 引言
桥梁健康监测通过对桥梁结构状态的监测与评估,为其在特殊气候、特殊交通条件下或运营状况严重异常时触发预警信号,分析评估桥梁使用寿命,并为桥梁的养护、维修与管理决策等提供科学的依据。
桥梁健康监测需要大量的硬件和软件支持,传统仪器虽然有很多优点,但是使用功能单一,价格昂贵,虚拟仪器已经在测量控制行业得到了迅速的发展,其综合了计算机强大的计算功能,以及和通信网络的技术融合,使得桥梁的远程实时监测成为现实。
LabVIEW作为一款图形化编程平台,它在数据采集(DAQ)、虚拟仪器软件框架(VISA)、通用接口总线(GPIB)及串口仪器控制、图像处理、数据分析和图表显示方面都具有强大的优势。
该文主要利用虚拟仪器搭建了桥梁振动信号的采集系统,利用LabVIEW实现了信号处理系统的设计。最后通过实验验证了系统的性能。
1 系统整体方案
桥梁的固有频率是桥梁健康评价的重要指标,通过对桥梁在自然环境激励下振动信号的同步采集和分析,可以得到桥梁的固有频率。该文所设计的振动信号采集与处理系统属于桥梁健康监测系统的一部分,主要包括传感器子系统、数据同步采集与传输子系统、数据存储与显示子系统、数据处理子系统。振动数据采集处理系统结构图如图1所示。

2 同步采集系统搭建
同步采集技术根据同步基准的不同,可以分为基于信号的同步和基于时间的同步。基于信号的同步,子系统的时钟和触发信号通过物理连接分享,而对于空间距离较大的数据同步,由于信号同步最大距离的限制,使用基于时间的同步更为合适。
PXI是多通道同步采集最理想的平台,PXI的背板提供多种基于信号的同步选项,其中包括一个系统定时槽位、星形触发总线、一个10 MHz的系统参考时钟、同步脉冲和触发总线等。一座桥梁分布在广阔的地理空间中,致使传感器之间的距离较大,这样通过电缆传输采样信号和触发信号并不实际可行。可以通过GPS进行基于时间的同步采集。GPS卫星上有准确时钟,可以同时用于定时和时间同步。GPS用户通过GPS卫星接收机获取空间位置信息,同步时标和标准时间。基于上述分析,可以搭建出合理的桥梁分布式数据采集系统,以振动信号为例,其基于GPS时间同步的数据采集系统如图2所示。其中PXI-6143同步采集卡负责采集来自加速度传感器的测量数据,PXI-6682接收来自GPS天线的同步时间作为各采集站的时间基,并产生触发信号。

3 数据采集系统软件设计
采集站采用的是LabVIEW RT实时操作系统,LabVIEW RT系统是NI公司在LabVIEW开发环境上加上了RT模块,配合必要的硬件平台,为实时系统开发提供的一个易用的高性能平台。采集站软件主要采用NI-DAQmx开发,利用其子VI实现不同数据的采集,其中振动信号的采集需要使用GPS时间作为触发条件。如图3所示,为振动信号的采集程序,首先对振动信号的通道参数、采集范围、采样率等进行配置,同时将GPS的同步时间作为采集的触发信号。上位机采用Windows XP系统和LabVIEW软件进行采集数据的存储显示与处理。

4 数据处理的理论分析
环境振动法是桥梁结构测试的使用方法。采用这种方法交通可以不被中断,利用地面环境振动和自然界的脉动风力等作为振源,激起结构的振动,然后采集振动信号,通过分析,获得模态信息。峰值拾取法是桥梁模态参数识别的常用方法。该文设计的数据处理系统正是基于该方法,通过分析采集数据的自功率谱和互功率谱来识别固有频率。为了实现对信号的频率辨识,需要对采集的时域信号进行傅里叶变换,将时域信号转换到频域,然后建立频谱函数、自功率谱、互功率谱、相干函数等频域分析函数。
设x(n)是长度为N点的有限长信号(注意这个前提),即信号仅仅分布在[0,N-1]区间,其余时间均为0,那么,该信号的离散傅里叶变换(DFT)定义如下:

对于N点离散傅里叶变换,f为频率,则f与k的关系式为:
![]()
式中:fs为采样频率;△t为总时长。
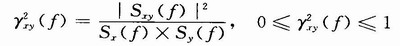
在频谱分析中,傅氏变换X(f)称为x(t)的频谱函数,而频谱函数的模|X(f)|称为x(t)的振幅频谱。离散傅里叶变换(DFT)在实际计算中采用快速算法,也即众所周知的快速傅里叶变换(FFT)。如果噪声中含有某种频率信号,则可以从自功率谱中看出来,它可以显示振动信号各频率处能量的分布情况。自功率谱公式为:
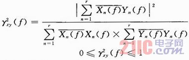
相干函数可以反映测试信号受噪声污染的情况,相干函数值越大,说明噪声污染越小。通常相干函数用
表示,其定义为:
![]()
对于长度为N的有限长信号,计算其相干函数时,通常将数据分段,每一组数据长度为nfft(nfft≤N/2),共分r段(其中r=int(N/nfft)),然后计算其相干函数,采用如下公式:

5 数据处理系统设计与验证
5.1 LabVIEW编程方法
这一节主要介绍用LabVlEW编程实现频谱分析及相干函数分析的实现方法。首先,将以固定格式存储在数据库中的数据读取出来,选择需要显示的信号,并通过时间控制显示信号的长度,得到固定长度的原始信号。如图4所示,为振动数据处理系统前界面。

使用Auto Power Spectrum.vi计算时域信号单边且已缩放的自功率谱,同时需要计算时域信号采样周期,利用公式dt=1/fs进行计算,式中fs为信号的采样频率,在该VI中,df为功率谱的频率间隔,通过公式df=1/(Ndt)计算得到,其现实将df作为横轴显示间隔,即可显示各频率处的能量分布情况。使用Cross Spectrum(Mag-phase)VI可得到两个通道信号的互功率谱幅度和相位。在使用该VI前,先将信号转变为波形形式,t0可采用数据库的采集开始时间或者设置为0,在这里不影响处理的结果,dt=1/fs。在LabVIEW中没有相干函数这个VI,可以通过调用Matlab script node公式节点VI,通过Matlab函数实现该功能。
5.2 实验平台的搭建
采用1 000mm×100mm×10mm的钢板搭建简支梁,在上面布置4支加速度传感器,采用力锤作为激振源,进行多点激励。PXI采集的数据传送到上位机后存入数据库。采样速率设置为2 560 Hz。通过读取数据库数据程序将测试数据显示在前界面上,读取的原始数据如图4所示。
5.3 实验数据处理结果显示
通过对自功率谱和互功率谱幅频图的分析(如图5和图6所示),可以大概得到简支梁的前4阶振动频率为396.719Hz,551.016Hz,77 2.109Hz,950.937 Hz。

通过对互功率谱相频图的分析,在这几个频率处相位均在0°或±180°附近(如图7所示),相干函数在这几个频率处的值均大于0.95,从而可以确定以上4个频率即为简支梁的前4阶振动频率,相干分析如图8所示。
6 结语
本文对桥梁振动信号同步采集理论进行了论述,搭建了基于GPS同步时间的分布式数据采集系统。对峰值拾取法进行了理论分析,阐述了利用LabVIEW实现振动信号频谱分析的过程。通过对实验平台数据的采集及分析结果显示,该系统运行正常,分析结果正确,可以运用于桥梁健康监测中。
上一篇:电压波动和闪变的常用检测方法
下一篇:WSJY-2型屋面渗漏检测仪的设计


