- 易迪拓培训,专注于微波、射频、天线设计工程师的培养
基于容抗法的瞬时液膜厚度测量系统设计
摘要:设计了一种采用容抗法测量气液两相流瞬时液膜厚度的测量系统,通过测量气液两相流瞬时液膜厚度,来反映气液两相流截面持液率大小。对容抗法测量瞬时液膜厚度的原理进行了详细分析,建立了探针电容传感器的数学模型,完成了检测电路设计。根据此数学模型,确立了瞬时液膜厚度与输出电压的线性关系。在虚拟电子工作平台卜,对该测量系统做了仿真实验分析,仿真数据表明该测量系统是切实可行的。
关键词:容抗法;瞬时液膜厚度;检测电路
0 引言
持液率的测量是研究气液两相流界面波的基础,而瞬时液膜厚度的测量又是精确计算持液率的基础。存在于气液两相流气液界面上的界面波不仅对气液两相流的传热、传质和阻力特性有很大的影响,而且也是计算两相流体动力学的基础,因此正确有效地对截面持液率进行测量就成为了了解这些特性的关键。但由于界面波具有变化快、影响因素较复杂等特点,这就对测量界面波的探针及处理电路提出应具有分辨率高、反应快、受外界影响小等要求。目前液膜厚度的测量方法主要有电导法、电容法、射线法和高速摄影法。射线法和高速摄影法由于对操作者有严格的要求,应用得不普遍,电导法的理论还不成熟,同时温度,压力等条件的变化会给测量带来误差,目前用得也不多。由此我们采用容抗法检测。
1 容抗法测量原理
管道中流体(空气和水)的介电常数差异很明显,当气水含量发生变化时,气水混合物的介电常数会随之发生较大的变化,进而使其电容发生变化。选择一种电容特性好的线型材料,设计成双探针电容传感器,通过电容检测电路,测量以气水混合物作为电介质的电容,根据电容与电压之间的线性关系,通过测量输出电压得出电容量的大小,然后再根据数学模型计算得出瞬时液膜厚度。
在不同的应用环境下,测得电容的方法有多种,传统采用脉宽调制法测量电容,其缺点是电路本身不能自动调零,从而延长了测量的时间,采用容抗法可较好地解决上述问题,实现电容的自动调零。容抗法检测电路的基本原理如图1所示。

其输出电压V0与被测电容CX的关系为
V0=-Vi(Gx+jwCx)Rf (1)
式中:Rf为反向放大器的反馈电阻;CX为电容极板间的漏电导;Vi为正弦激励电压幅值;ω为激励电压的角频率。选取参数使ωCX>>GX,根据式(1)有
V0=-jViωCxRf ω (2)
所以,Vi、ω、Rf为常数时,测量电路输出电压V0与被测电容CX为线性关系。
2 测量系统设计
为了获得液膜高度与探针输出的定量关系,须对电容探针输出信号进行解调,为此设计了探针输出信号的测量电路。首先建立电容式传感器的数学模型,建立电容值与液膜高度之间的对应关系;测量电路由信号发生器输出正弦波信号,将被测电容量CX变成容抗XC,经C/U换电路进行转换,把XC转换成交流电压信号,经放大电路对信号进行放大后,再经过有源整流电路成为直流电压,最后经滤波电路将干扰信号滤掉,取出平均值电压V0,V0与CX成正比关系,只要适当调节电路参数,即可计算出电容值,再根据数学模型,计算出液膜高度。
2.1 数学模型的建立
本设计采用双针电容式传感器,其结构如图2所示,图中从左到右分别是探针传感器在管道中的安装方式及位置、管道的截面剖图、探针传感器的结构。

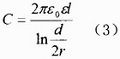
采用双针电容式传感器可以解决圆柱形电容式传感器存在的边缘效应,并且双针电容式传感器的灵敏度高、线性特性好。图2所示双针结构的电容式传感器的电容值为

式中,ε为被测气液两相混合物的介电常数;l为管道直径(探针的有效长度,己知),h为液膜高度(没入水中的探针长度,待求),r为探针的半径,单位mm;d为两探针间的距离,单位mm。
在室温条件下,水的介电常数为80,空气的介电常数约为I,ε0、I、d、r为常数,忽略气液两相流中含有的杂质的影响,气液两相流可近似看成空气和纯水两种介质的混合。其有效介电常数为:
![]()
式中a表示液膜厚度百分比(浸入水中的探针高度和管道直径的比值,即a=h/l),ε表示被测气液两相混合物的介电常数, ε空气表示空气的介电常数,ε水表示水的介电常数。所以,很小的持液率变化就会引起气液两相流混合物的介电常数较大的变化,所以可以将介电常数的变化反映为电容值的变化,通过测量电容值就得到液膜厚度。由于油田现场一般温度变化比较大,ε空气和ε水会随温度的变化而变化,这样就会引起温度漂移,同一持液率不同温度下测得的电压值就会不一样。目前的仪器对于这些误差和温度漂移处理的精度不是很高。在此,采用容抗法,从传感器结构和测量电路以及数据处理方法上来解决上述问题。
2.2 检测电路设计
检测电路原理框图如图3所示,激励信号直接采用信号发生器输出的正弦波信号,检测电路主要由C/U转换电路、有源整流电路和有源滤波电路三部分组成。

2.2.1 C/U转换电路
图4为C/U转换电路。其中,SW-DIP4为四输入拨位开关,用来切换量程,采用LM358通用双运放作为电压放大器。Uin为正弦波,VD1-VD4为过压保护二极管,防止损坏电容探针传感器,其特点是负反馈电阻R1、R2、R3、R4的阻值依电容量程而定,并且以被测电容CX的容抗XC作为运放的输入电阻。

选择合适的量程档位,使U2B的电压增益与XC成反比,输出电压Uout与XC成正比,从而实现了C/U转换。
2.2.2 有源全波整流电路
整流元件用的是二极管,而二极管是一个非线性元件,特别是在小信号的情况下,这种非线性尤其严重。从理论上分析,二极管在放大器的反馈支路上,小信号先被运算放大器放大了近A0倍(开环增益),然后再送给二极管,这使二极管导通时的开启电压相对应地减少了A0倍,这样就可明显扩大线性范围,其非线性可得到一定的克服。所以设计中,采用有源整流方案,整流电路如图5所示。

整流过程:由于A2接成电压跟随器的形式,所以它的输出波形是正弦波形,该输出波形再通过二极管VD7之后只剩正半波,A1、VD5、VD6、R5、R6、R7组成负半波整流的电路形式,两者的输出信号相位相差正好是180°,则两者的迭加波形输出正好就是全波了。
为了得到对称的整流输出波形,需要R5=R6匹配,而R8=R9是为了减小放大器偏置电流的影响,它们的失配仅影响电路的平衡。在整流二极管的选择上,由于硅管的正向电阻大,所产生的正向压降大,使之在小信号的情况下,有一定的补偿,而且硅管的温度稳定性比较好。为此我们选用的是快速整流二极管1N4148。
2.2.3 二阶低通有源滤波电路
本系统测量的分层流和环状流界面波信号频率一般小于25Hz,而干扰的噪声频谱则分布在比较高的频段,故采用低频增益为1的二阶低通有源滤波器。原理图如图6所示。

滤波器的截止频率不宜选择太高,因截止频率愈低,愈能有效地抑制噪声干扰。Kang&Kim(1992)研究认为:对于100kHz的信号,5kHz的截止频率不会对频率小于1kHz的任何信号引入明显的变形和扭曲。而分层流和环状流界面波信号频率一般小于25Hz,所以5kHz的截止频率对界面波没有影响。故本低通滤波器的截止频率选为5kHz,若取R10=R11=R,C1=2C2=2C,则可以求得截止频率:
![]()
根据式(5)即可确定滤波元件R和C的参数值。
3 测量电路特性
由于测量电路中放大元件(运放中的双极性三极管、场效应管,二级管等)特性曲线的非线性,即使电路工作在放大区内,输出波形仍难免出现或多或少的非线性失真。图7为测量电路的电路特性曲线。

由此特性曲线可知,要使电路工作在线性区,就要保证进入电路的信号在其线性工作区内。所以就对激励信号的频率和幅值有一定的要求。另外由于器件参数精度的影响和未知干扰的因素,需要通过理论分析和实验相结合的方法,来获取激励信号最恰当的幅值和频率。
4 实验论证
在虚拟电子工作平台上,对本测量系统做了仿真实验分析,对电路参数进行了相应修正。再经实验标定,对于高度为50mm的管道,当SW-DIP4切换到1M档时,探针标定结果比较理想。对探针进行标定后,分别选取实验条件:1)100*15:f=100kHz,VPP=15V:2)100*10:f=100kHz,VPP=10V;3)400*15:f=400kHz,VPP=10V三组情况进行实验,测得的三组数据结果如图8所示,横坐标为液膜厚度,纵坐标为探针无量纲电压输出。

从图8可以看出,条件2):100*10组中探针的无量纲输出与液膜厚度之间的线性度较好,标定曲线几乎可以用一直线来拟合。效果比较理想,经过精确标定后可以用于实验。
5 结论
本文的主要创新在于设计的电容探针测量电路能够快速、准确地测量液膜厚度。经实验论证,在对探针进行精确标定后,可以用于测量两相流的瞬时液膜厚度。该系统现己用于油气储运学科的多相流界面持液率测量实验,其线性度好、测量精度较高。
上一篇:船用仪表EMC与罗经安全距离
下一篇:浅谈电磁兼容控制、设计及其测试


