- 易迪拓培训,专注于微波、射频、天线设计工程师的培养
高精度超声波微压差测量仪设计
0 引 言
对于微小压差的测最,传统的方法是采用U型管压力计,该压力计结构简单,价格便宜,性能可靠,缺点是无法记录压力的瞬态变化,读数慢而读数误差大,人工估读时,最大精度也只能精确到0.5 mm液柱高度。为了提高灵敏度,减小读数误差,随之又出现了倾斜管压力计,如果倾斜管压力计的测量管倾斜角为30°,则测量精度可提高1倍。
随着压力传感器技术的发展,近年来又出现了电子微压差传感器,可将微小压力直接转换成电信号输出。此类传感器使用方便,反应速度快,精度也可以做得较高,目前比较好的微压传感器测量分辨率已达到10 Pa左右。缺点是稳定性不够好,温漂和时漂都比较大,且价格昂贵。
上述微压测量方法各有利弊,如果要继续提高测量精度,以上测量装置已经难以胜任。针对这样的现状,我们设计了一种新型的微压计--超声波微压计。这是在保留U型管压力计原理、结构简单、可靠性高、直观等优点的基础上,利用超卢波进行精确而快速测量U型管中液柱高度的原理设计而成。它具有测最精度高、读数准确(数显)、测量速度快的特点,可以通过RS-232接口与计算机连接,进行相关的数据、图表处理,具有广阔的应用前景。
1 超声波及超声波换能器
超声波是机械波的一种,足机械振动在连续介质(气体、液体、固体)中的传播过程,所以,机械振动是超声波产生的根源。超声波是指频率f>20 kHz的弹性波。
超声波换能器是发射和接收趟声波信号的关键部件,它可以把电能转换成高频声能,或者把卢能转换成电能。超声波换能器有多种形式,我们选用的是压电换能器,它足基于某些晶体的压电效应来实现电声能量转换的一种电性换能器。
压电换能器具有正压电效应和逆压电效应。
正压电效应是指当对某电介质施加应力时,产生的形变将引起内部正负电荷中心发生相对位移而产生极化,在介质两端面上出现符号相反的束缚电荷,其电荷密度与应力成正比。利用正压电效应可将机械能即声能转换成电能,这种川来接收卢波的换能器称为接收换能器。
逆压电效应是指将具有压电效应的介质置于电场内,由于电场作用引起介质内部正负电倚中心发生位移,这种位移在宏观上表现为产生了变形(或应变),它与电场强度成正比。利用这个效应能产生超声波,即将适应的交变电信号施加到品体上面产生振动,振动频率与交变电压的频率相同,从而形成超声波,发射声波利用的是逆压电效应。用米发射声波的换能器称为发射器。
压电换能器同时具有正压电效应和逆压电效应。基于此原理,可以用一个超声波换能器既做发射器,又做接收器。
2 超声波测压原理
超声波测压原理见图1(a)。2根玻璃管形成一个连通器,在A管的底部安装一个超声波换能器,被测压力分别由A、B两点引入,这种连接方式可测量两压力之间的压差,如需要测量表压,只要将4、B两压力中的任意一个接通大气即可。
测量前需进行摹准零位校验,将A、B两点都接通大气,此时因A、B两压力相等,连通器两管中的液柱等高,测量出此时超声波换能器发射面到液面之间的高度h0,该高度为基准高度(也称为零点高度)。测量时,将B点接通大气(测量表压),被测压力由A点引入,因A、B两管存在压差,则两液柱形成高度差2△h,设两玻璃管中的液体是纯净水,那么用mmH2O(1 mmH2O=9.806 65 Pa)来表示压力,被测压差为:
![]()
只要精确测量出h0和h1,就可准确测量出压力。由式(1)可知,该压力与超声波换能器的安装位置无关。
利用超声波测量水柱高度,超声波由换能器发射,遇到液面后反射,反射波再返回换能器,由换能器产生电脉冲,只要精确测量超声波由换能器发射到反射波回到换能器这期间的时间△t即可。如采用24 MHz高频脉冲作为时间测量单位,设△t时间内共得到脉冲数为n,则:
![]()
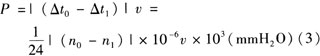
设超声波通过2h0路程需要时间为△t0,共记录n0个脉冲;经过2h1长的路程需时间为△t1,共记录n1个脉冲,超声波在水中的传输速度为ν,则被测量压力为:

环境温度为25℃时,超声波在水中的传输速度约为1 483 H1/s,根据理论计算,该微压计的对水柱高度测量的分辨率为:
![]()
如需进一步提高测量精度,可提高记数脉冲的频率或使用比重较小的液体。如纯酒精作为测量液体,纯酒精的比重为O.8,则此时的测量分辨率为:

由此可见,该微压计的测量精度远远优于目前使用的测量方法,能满足绝大多数场合微小压力的测量。
另外,这种方法测量速度很快,可以每秒300次左右的速率测量,因此能捕捉压力的瞬态变化。而U型管压力计或倾斜管压力计读一点数据至少需要1 s,在被测压力急剧波动时无法读取数值。
3 硬件设计
3.1 超声波发射电路
超声波发射电路较为简单,由于发射和接收是同一换能器,且测压液柱较短,所以这里不宜采用连续波发射,我们采取单脉冲波发射方式,由单片机发出启动脉冲,经过微分电路,使得三极管瞬间导通,在超声波换能器上得到一个前沿很陡的高压脉冲,由此换能器向液面发出超声波脉。
3.2 超声波接收、放大电路
由微分放大电路组成输入级,来自超声波换能器第1反射波(4点)得到进一步放大,同时使第1反射波信号变得更尖陡(B点),该信号再经精密检波电路检波、滤波后,得到反射波的包络线(C点),为消除地线及杂波等干扰信号,同时增强信噪比,C点的信号再经过一个带有域值比较的放大器进一步放大,得到一个比较干净而幅值足够大的第1反射波信号(D点),最后经电压比较器,输出触发信号(E点)给计数系统,使其停止计数。至此,完成反射波信号的放大与处理任务。
因为超声波在液柱内会产生多次反射,而我们只需要第1反射波,因此在对完成第1反射波处理后,就必须立刻停止计数,这部分由控制电路完成。
3.3 脉冲计时电路
控制系统采用MCS-51系列单片机,当单片机采用12 MHz晶振时,其最高记数频率为500 kHz,而超声波记时系统采用的是24 MHz高频脉冲,因此通过74LS
393把24MHz高频脉冲进行256分频后变成93.75 kHz,再送给单片机计数。
在读取时钟脉冲数时,由74LS393读取低8位,高16位由单片机内部记数器读取,这样记数值可达到二进制24位。理论计算最大测量水柱高度为:
4 软件设计
该系统的软件设计着重解决实时和同步问题。首先,在发射超声波的同一时刻启动计数器计数;其次,接收到第1反射波的同时,立刻停止计数器计数;再次,由于发射和接收是同一超声波换能器,所以超声波的发射端和接收放大电路的输入端连接在同一点,在发射波发出的同时,接收放大电路同样收到发射信号,如不采取措施,会误将发射波当做有效的反射波,计数器在启动的瞬间就会被关闭,造成误操作,所以此时要采取必要的措施,对放大器的输入端进行屏蔽处理。
另一方面,发射的电脉冲信号有一定的宽度,对超声波的激励是利用发射脉冲的前沿,加之电路存在延时效应,根据上述情况,应在发射后的一段时间内需要屏蔽放大电路的输入端,延时一段时间后再开放,以免误触发。因此,从发射信号到开放接收电路之间产生一个固定的时间差,必然存在一个测量死区,当液位高度小于死区高度时是无法测量的。
5 结束语
该测量系统经过实际使用,完全达到设计要求,曾在上海交通大学热能工程系风洞压力场应用中取得了很好的应用效果。由于超声波在液体中的传输速度随着环境温度的变化而变化,我们在电路中设计了环境温度检测电路,通过软件进行温度补偿,同时,液柱体积也会随温度变化而有所变化,而折合成高度的变化量很小,可以忽略不计。经温度补偿后,该测量系统非常稳定,测量数据精确,速度快,读数方便,体积小巧,并可进行多点联级使用,实现多点同时测量,便于捕捉压力瞬态变化值,例如在上海交通大学热能工程系风洞压力场应用中实现了128点快速测量。如果U型管压力计人工估读精度为0.5 mm,超声波微压测量仪以0.03 mm测量精度计算,其测量精度提高16倍。U型管道压力计测量一点的压力最快也需1 s,而该超声波微压计每秒可测量300点,由此可知,其测量速度提高300倍,完全可取代常规的U型管道压力计或倾斜管压力计,是很好的更新换代的产品,市场前景广阔。
上一篇:基于放大电路的采集心电信号的设计方法
下一篇:详细讨论究竟什么是虚拟化技术


