- 易迪拓培训,专注于微波、射频、天线设计工程师的培养
基于TPS40210的APD偏压温补电路设计
雪崩光电二极管(Avalanche Photodiode,简称APD)作为微弱光信号的探测器件,具有量子效率高、响应速度快、灵敏度高、线性范围广等优点,尤其是其内部雪崩倍增效应可将信号倍增上百倍,且倍增后的噪声仅与运放本底噪声水平相当,大大提高了系统的信噪比,因而被广泛应用于激光测距、精密检测、光纤传感及光纤通信网络等领域。本文设计了基于TPS40210的高压偏置电路,同时以AD590温度传感器对该电路进行自动温度补偿。实验结果表明,在不同温度下,该电路能根据APD温度特性自动改变偏置电压的大小,从而实现APD的增益稳定。
1 偏压及温度对APD增益的影响
APD工作时需要一个较高的反向偏置电压,其内部增益大小与偏置电压正相关。AD500—8为Silicon Sensor公司一款典型的APD,其内部增益GAIN由偏置电压UR跟击穿电压UBR的比值k(k<1)决定,k越大,增益越大,如图1所示。

APD的击穿电压UBR受环境温度的影响。当环境温度变化引起UBR改变时,为了保持增益稳定,需要对偏置电压UR进行调整。设温度T0时APD击穿电压为UBR,温度系数为α,当温度变化至T时,为了使增益稳定在k处,则偏置电压UR应满足:
UB=k[UBR0+α(T-T0)] (1)
2 电路设计
2.1 TPS40210简介
TPS40210是TI公司推出的一款具有4.5~52 V宽输入范围的电流型异步DC/DC升压控制器,通过外接N—MOSFET功率管可实现包括升压、反激、SEPIC拓扑及LED驱动等多种设计,最高输出电压可达260 V。
TPS40210具有可编程软启动、振荡频率可调、内部斜坡补偿、过流保护及低电流禁用等特点。同时,芯片采用3 mm×3 mm的DRC贴片封装,加上外围电路简单,利于便携式、小型化设备的应用。其原理框图如图2所示。

DIS/*EN控制芯片功能的禁止或使能;RC通过外接电阻到VDD、电容到GND(或者外部时钟)来配置GDRV的输出频率(即外接N—MOSFET的开关频率);FB为内部误差放大器反相输入端,输出电压经电阻分压反馈至此端与内部基准电压VFB(700 mV)比较,可设置输出电压;COMP为误差放大器输出端,与FB之间接补偿控制网络;SS外接一个电容到地用于调节软启动时间兼过流放电:ISNS外接电阻进行电流监测,结果反馈内部斜坡补偿电路,同时兼过流保护作用,当ISNS端电压超过限流阈值电压VISNS(OC)(150 mV)时,控制器进入限流状态,同时SS端外接电容通过内部电阻放电;BP引脚为内部LDO输出端,外接电容到GND。
2.2 高压偏置电路
基于TPS40210的高压偏置电路如图3所示,其工作原理为:R1和G1决定N—MOSFET管Q1的开关频率;L1、Q1、D1与Cp1组成反激式直流开关电源拓扑结构,输出高压HV;R7为Q1源极电流采样电阻,采样结果经R6与C6滤波后用于电流回路控制和过电流保护;C5与R8用于滤除高频毛刺;C7、C8和R9构成滤波补偿控制网络,减小纹波;L2、C9、C10构成π型滤波网络,进一步减小输出纹波;电阻R2、R3、R4构成分压反馈,用于调节输出电压大小。

TPS40210输出频率占空比最大为95%,占空比D与输出电压HV与输入电压VIN之间的关系为:

其中,VD为D1两端正向压降,IOUT为输出电流,fSW为开关频率。根据最大输出高压值HVMAX可由式(2)估计输入电压VIN的最小值,一般情况下取D<92%。
TPS40210内部基准电压VFB范围为686-714mV,典型值为700mV。在电路正常工作时,输出电压HV与VFB的关系如下。
式中VFB为常重,调节R4可得一定范围变化的偏置电压。分压反馈电阻应合理选择:
1)R4为零时,HV取最大值,且最大值受式(2)约束;
2)为了保持功耗和噪声之间的平衡,三个电阻之和在50~200 kΩ为宜。
2.3 温度补偿电路
AD590是一款电流输出型集成温度传感器,具有精度高、线性度好、灵敏度高、体积小、输出阻抗高等特点,因而被广泛应用于测温控制、温度补偿等领域。其原理是输出电流随温度同时同量变化,以绝对零度(-273℃)为基准,每增加1℃,输出电流增加1μA。

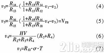
自动温度补偿APD偏置电路如图4所示,原理如下:在温度T0下调节R20,使v3=0,即v1=v2,同时调节R4使HV为目标值(kUBRO),此时v4= v5=VFB。当温度升高时,v1增大,v2增大,故v5减小,反馈电压低于VFB,此时TPS40210调节输出占空比使HV升高,使v4增大,从而v5增大,维持反馈电压与芯片内部基准电压VFB相等;同理,当温度降低时,HV降低,从而实现了偏置电压HV的自动温度补偿。
根据图4,电路稳定工作后,有如下关系:

式中,σ为AD590的灵敏度且σ=1μA/K,T为热力学温度,v2为比较电压,v2=R10σT0,T0定义见式(1)。若令(R3+R4)/(R2+R3+R4)=β,R14/R13=R12/R11=γ,R16/R15=R18/R17=1,化简方程组可得关系如下:

3 参数设计与测试结果
实验中参考TPS40210芯片手册,基于效率、功耗与噪声的均衡考虑,对图3电路进行测试,相关参数如表1所示。

当输入电压18 V,输出电压130 V时,TPS40210控制器GDRV端的输出信号如图5所示,其幅值约8 V,占空比D=86.3%。

图6展示了输出电压的交流信号波形。HV(AC)为未滤波的输出纹波,纹波中掺杂着功率管的开关频率干扰,约140mVP-P,经过LC滤波网络后,输出纹波Vout(AC)小于20 mVP-P。

一款AD500—8型APD在22℃时击穿电压为130 V,温度系数α0.45 V/℃。为获得较大倍增系数M,根据图1选择k=0.95(M≈100),则由(1)式可得:
UR=123.5+0.428(T-T0) (11)
工业环境温度范围一般为-40~85℃,则偏置电压UR范围是97~150 V,表1参数设计满足此要求。利用该APD对图4温度补偿电路进行测试,其中TPS40210芯片外围基本电路参数按照表1设置。温度采样电阻R10=1kΩ,T0=295 K,UBR0=130 V,VFB=700 mV,由(10)得γ≈2.4。温度补偿网络参数设计如下:
1)R12=R14=24 kΩ,R11=R13=10 kΩ,R15=R16=R17=R18=10 kΩ;
2)调节R20,使v2=R10·σT0=295 mV;
3)在T0时,调节R4,使HV=kUBR0。
在不同温度下进行测试,结果表明电路输出偏置电压能够随温度自动改变,且偏压与温度近似呈线性关系,相关系数约0.42V/℃,与式(11)的理论值相比相对误差小于2%,满足APD对温度补偿的要求。
4 结束语
基于TPS40210的高压偏置电路最高输出电压可达260 V,且输出纹波经过滤波后小于20 mVP-P,满足大多数APD器件对偏置电压的要求。同时该芯片体积小、外围电路简单,可用于手持式激光测距仪等小型化设备。
设计的温度补偿电路能够根据环境温度自动调节输出偏置电压的大小,使APD工作于稳定增益状态。将该电路应用于实验室相位式激光测距原理样机,有效降低了温度列APD的影响,使非合作目标测距精度在0~7 m内优于±3 mm。


