- 易迪拓培训,专注于微波、射频、天线设计工程师的培养
基于LabVIEW的气体微流量测量虚拟仪器的开发
在真空技术应用中,气体微流量由气体微流量计测量。精确测量气体微流量(或漏率)具有十分重要的意义。例如,为了保持飞船舱内的压力长期工作正常,需要对舱体进行检漏,检漏时不但要找到漏孔位置,还要精确测量微小的漏率,这对于长期在空间飞行的载人飞船尤为重要;火箭燃料是易燃、易爆、有毒的气体或液体,微小的泄漏具有很大的危险性,要对火箭燃料的加注过程和发射阵地进行安全检测;在电子工业中的半导体元件、集成电路、计算机芯片的生产工艺中,要求精确控制气体微流量的注入,以保证工艺质量和产品性能的稳定。为了满足以上需求,研制测量精度和可靠性更高、测量范围更宽、测量界面直观、自动化程度高的气体微流量计是非常必要的。利用虚拟仪器技术构建的气体微流量测量虚拟仪器系统就是为了实现上述目标而进行的研究探索。
实现气体微流量测量的虚拟仪器系统的建立
气体微流量的测量原理
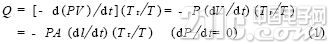
气体微流量的测量原理是:当气体流出其变容室时,伺服电机通过平动机构驱动活塞在油室中水平运动,活塞运动会改变其在油室中的体积,而液压油的体积是基本不变的,这样波纹管就受到力的作用而发生形变,使其内的气体压力保持恒定,气体在Tr温度(Tr一般取23℃)下的流量Q通过测量变容室内气体的压力p、温度T和体积变化率dV/dt后由公式(1)计算得到。

由式(1)可知,测量流量时,不但要准确地测量出变容室内气体的压力、体积变化率和温度,还要在测量过程中控制变容室内气体的压力,使其恒定。
虚拟仪器的硬件结构
硬件及功能描述:
本着“提高测量精度和自动化程度,减小测量不确定度”的原则,设计了一套以工控机为中心的测量与控制系统,选用了精度较高的测量工具,并用多块数据采集卡把各测量工具与控制器件联系在一起,实现了数据自动采集和恒压自动调节功能。硬件总体结构如图1所示。

图1 硬件总体结构图
采用3个Pt100铂电阻温度传感器、3个ADAM3013热电阻变送模块及1块PCI-1716多功能数据采集卡可实现对变容室、参考室及实验室温度同时进行采集。温度的测量范围为0~100℃,精度为0.1℃。
采用美国MKS公司生产的一套差压式电容薄膜规(包括三个规头、一个控制单元MKS274和一个数据显示单元MKS670,MKS670上有一个488接口,计算机通过IEEE488数据采集卡进行量程和规头选择)、美国NI公司生产的IEEE488数据采集卡实现气体压力的测量。压力的测量范围为0~1.01×105Pa。
利用台湾凌华公司生产的运动控制卡PCI-8132、伺服控制卡和位置控制卡、平动机构(主要包括选用北京微电机总厂生产的70LC-1型永磁式直流力矩测速机组、型号为HES-10242MD脉冲编码器、丝杠、θ5的活塞)等实现对伺服电机进行速度和位置控制(伺服控制结构简图见图2)。丝杠导程2mm,精度为0.001mm,是位移测量的基准。

图2 伺服控制结构简图
速度环的反馈信号取自测速发电机,反馈环节中加入滤波是为滤除低速时的谐波。位置环中位置传感元件——光电编码器将产生的电脉冲反馈给位置板经信号调理后给PCI-8132中的减法计数器,于是每来一个脉冲,计数器就从目标值减去1,直到计数器的内容为0,伺服电机转到目标位置而停止旋转。
恒压控制原理:差压式电容薄膜规、IEEE488数据采集卡、工控机、8132电机控制卡、位置/伺服控制卡、电机、导轨平动机构、活塞、液压油和波纹管共同组成了一个负反馈恒压自动调节的闭环控制系统。在流量测量过程中,参考室内的气体压力不变,当有气体流出变容室时,引起变容室的压力发生变化,在变容室与参考室之间产生压差△p,计算机循环检测这一压差信号。计算机根据压差值△p的大小,采用预先设定的控制算法计算出相应的电机转速调整量,并输出到位置控制卡,使电机驱动卡根据该电压信号重新驱动伺服电机,使伺服电机的转速得到了调整。电机驱动活塞在油室中运动,改变变容室的容积,使变容室与参考室之间的差压值△p维持在零附近,使得变容室的压力p基本上保持恒定。
系统的控制算法
本系统采用时间最优(B-B控制)与积分分离PID控制的双模控制算法。时间最优控制可加快调节的作用,而PID控制则保证跟踪精确度与稳态误差满足要求。时间最优控制模式为

式中:E1为时间最优控制偏差门限;Rk,Yk,ek,Uk为第k次采样时的设定值、检测值、偏差值、计算机输出值;Umax为计算机输出的最大值。
积分分离式PID控制可以增强抗积分饱和功能,防止超调和振荡。其基本思想是:当偏差较大时,取消积分作用,只进行PD调节。只有当偏差在某范围内时,才加入积分作用,进行PID调节,其控制方程可导出为

Kp,Ki,Kd分别为控制器的比例、积分、微分系数;E为积分作用门限值,其值需根据控制精度在调试时最后确定。
虚拟仪器的软件设计及实现
系统软件采用模块化设计,可将不同测量内容设计成单独的功能模块。由主界面程序构成结构框架,各子模块分别完成一定的功能,在主界面程序或其它的子程序中调用。各功能模块间的独立性较强,一般都可单独调试、修改和移植。所以整个系统软件层次清晰、易于理解、便于修改、利于开发新功能。系统软件由气体压力的数据采集模块、温度的数据采集模块、活塞位移的数据采集模块、电机驱动和转速控制模块、压力补偿程序模块、测量数据的存贮和显示模块组成。图3为采用LabVIEW6.1开发的气体微流量测量虚拟仪器主界面。

图3 气体微流量测量虚拟仪器主界面
不确定度分析
整个仪器的不确定度由以下部分合成,现分别阐述。
压力的测量不确定度
压力由电容薄膜规测量。根据国防科工委真空计量一级站对电容薄膜规的校准结果,压力测量的不确定度为0.8%。
活塞位移和时间的测量不确定度
位移由编码器测量。编码器每输出4096个脉冲,活塞前进2mm,其分辨力为0.5μm。流量测量中活塞的最大行程为36mm(对应73728个脉冲)。将活塞移动位移设定为73728个脉冲(即36mm),测量编码器实际输出的脉冲数为73726。由测量结果可知,活塞位移的测量不确定度为 △L/L=(2×2)/(4096×36)=0.0027% 时间的测量直接取自工控机的时钟,其精度为0.001.s。在测量流量时,流量的有效测量时间大于100s。这样,时间测量的不确定度小于0.001%。
变容室温度的测量不确定度
Pt100铂电阻温度传感器的测量精度为0.1K,实验室的温度约为23℃,则温度测量的不确定度约为0.04%。
恒压控制效果
在参考室中充入104175Pa的N2,设置好各PID控制参数,通过小孔将流量引入双球校准系统,进行恒压调节。图4为PID调节结果。

图4 恒压控制效果图
由PID调节结果中知,变容室和参考室之间的压力差被控制到变容室压力的±0.004%之内,加上参考室内气体压力的静态波动(约为0.005%)后,变容室内气体压力的波动约为0.0.%。从以上的实验结果可知,整个流量计的相对合成标准不确定度为

该不确定度远小于流量计的设计指标(2%)。
结束语
在该系统的设计中,通过选用高精度的测量元件和先进的测控方法,提高了流量的测量精度,延伸了流量的测量下限。虚拟仪器技术的应用,使气体微流量测量系统具有人性化的操作界面与易于操作的特点,提高了该系统的自动化程度、可靠性和维护性。


