- 易迪拓培训,专注于微波、射频、天线设计工程师的培养
远程高精度温度数据采集系统设计
0 引言
常用的温度传感器有热电阻、集成温度传感器和数字式温度传感器等多种。热电阻因其测量精度高,且性能稳定,在高精度温度测量中占有重要的地位。
通常在传感器信号经信号调理,采用12bit、16bitAD器件对传感器的调理信号进行采样,然后通过查表得到温度值,但是因为系统噪声、AD转换的量化噪声等的存在,导致测量结果产生误差。本文利用24bitAD器件ADS1255作为受转换的核心器件,利用其过采样技术,去除引起系统通道纹波误差的模拟滤波结构,大幅度降低系统的测量误差,系统以铂热电阻PT100为温度传感器,测量范围为-50~250℃,测量的分辨率为±0.01℃,高次方程寻根计算时间是毫秒量级。从硬件电路和软件算法设计上保证了测量精度和可靠性。
1 系统工作原理
系统总体构成如图1所示,远程端温度数据采集硬件原理框图如图2所示。PT1000产生的微弱电压信号经过调理之后送给24bitA/D转换器ADS1255,32位处理器PIC32MX795读取电压值后经过迭代计算出温度值。时钟、液晶用以显示温度、日期等信息。利用精简TCP/IP协议栈实现网络通信,系统通过模拟开关切换可升级为同时采集8路温度信号,最终将采集的温度数据经过Internet发送至远程服务器进行分析和处理。

2 系统硬件设计
2.1 精密恒流源
利用OP97或者OP400运放构成精密恒流源电路,基准电压由AD公司的ADR434器件提供,该器件温度稳定性能高。由图3知,由电阻器R决定恒流电流I=10μA。该电流源的性能受到取样电阻R1的温度稳定性的影响,故应认真选择。

2.2 信号调理电路
信号调理电路如图4所示。通过外接电阻Rg设置放大电路的增益(G=1+50k/R)。系统的温度测量范围是0~200℃,因此对应电阻值范围为1000~1940.981Ω,对应输出电压为10mV~19.41mV,经过前置放大100倍。最后送入A/D转换器的电压幅度为1.0~1.941V。
在该系统的信号调理架构中,省掉了滤波器结构,原因在于采用了ADS1255器件,将数字滤波引进温度数据采集中来,降低系统模拟前端的设计复杂性,完全消除由于模拟滤波器带来的通带内纹波等噪声的影响。从实际实验的效果来看,采用ADS1255这种过采样再数字滤波的系统结构可以大幅度降低噪声,提高测量精度。
2.3 ADS1255转换电路与TCP/IP通信模块电路
A/D转换器采用1通道、24位转换器ADS1255,微控器选用32位处理器PIC32MX795,连接关系如图5所示。图6所示为DP83848的网络接口。

3 下位机系统软件设计
热电阻的阻值和温度的关系在-200~850℃范围内,满足式(1)(2)。

温度和电阻值之间为非线性关系,传统的测量方法是将整个温度测量区间分成若干个近似线性区间,在每一个温度区间内,电阻值和温度的关系近似线性,然后通过数值算法进行拟合。但是对于PIC32处理器,利用该处理器的强大的计算能力直接进行高次方程的数值求解应该是首选的方案。
3. 1 利用牛顿迭代法求温度根
当0℃
测量温度温度t,即是求方程(3)中f(t)=0的根,其中0℃

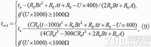
3.2 温度与测量电压关系式
由精密I=10μA恒流源电路和调理电路可知,A/D转换器件的输入电压为:
U=I×Rt×G (8)
增益G=100,待求解温度t和系统测量的电压值U在如下关系:

3.3 温度数据采集与远程发送流程
PIC32利用牛顿迭代法实现温度根的求取,然后通过网络实现远程数据发送,工作流程如图7所示。

4 实验结果与对比分析
在温区0~100℃用不同方法进行温度测量,其中实际温度由标准铂电阻温度计标定。测量结果如表1所示。

直接利用PIC32的计算性能求解铂电阻物理特性方程的数值根,可以得到较高的精度,并在整个温度区间有较好的一致性。
5 结论
本文与标准铂电阻温度计的对比实验数据表明,利用24bitA/D过采样转换器ADS1255、微控器PIC32MX795及远程PC机构成的数据采集系统,系统结构稳定可靠;利用PIC32的强大计算性能,直接寻找物理特性方程的根,测量精度优于0.01℃,且一致性很高。
上一篇:基于DSP的超声波式风速风向检测仪的设计
下一篇:关于校准电流传感器的一些考虑


