- 易迪拓培训,专注于微波、射频、天线设计工程师的培养
分立电阻器检定测试系统的配置的测试说明
电阻器电压系数测试
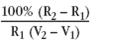
高兆欧姆电阻器(>107Ω)在施加电压后,其电阻往往发生变化。这个电阻变化是通过电压系数来描述的。为了计算电压系数(单位:%/V), 需要使用不同电压值时的两个电阻读数:
电压系数=

其中,R1 = 第一次施加电压(V1)计算的电阻值,
R2 = 第二次施加电压(V1)计算的电阻值,
电阻器公差带测试
在生产测试中,要根据公差对电阻器质量进行评价。首先,对每个电阻器进行测量;然后,根据定义的公差,如±1%、±5%或±10%,视测量结果而将电阻器放入不同的仓位。建立公差带测量就是最好的实例。
公差带宽试实例应用
在2400型数字源表中可以设置多达5个限度值(一个限流/限压值、2个较高值、2个较低值)。限度值将确定通过/失败以及后续测量的高/低状态。图1给出设置限定值的实例。
图1 公差带配置
在这个例子中,通过三个公差(1%、5%以及大于5%)对1MΩ电阻器进行分类。阻值低于0.95MΩ和高于1.05MΩ的电阻器将在5%公差范围以外,因此这些器件不能通过测试。2400型数字源表拥有4条数字输出线,可以用来设置位模式,以产生TTL电平信号,用于控制外部设备,如装仓机或分拣机。在这个例子中,只使用了3个数字输出。注意,位模式对应于每个公差带。
通过公差带配置,可以得到以下限度测试:
注意:Lim 1检查2400型数字源表的限流/限压状态。这个测试使用编程设定的限压/限流值作为测试限定值。在这个例子中,如果探测到开路(表明测试槽中没有电阻器),那么2400型数字源表将处于限压/限流(钳位)状态,而且数字输出端口#1将处于高电平。
上一篇:实际滤波器的基本参数
下一篇:简易多波形信号发生器


