- 易迪拓培训,专注于微波、射频、天线设计工程师的培养
硅光电倍增管(SiPM):新奇的光电生物传感器
SiPM:新奇的光电生物传感器
传感器变送与应用
摘要 — 很多种生物应用都涉及荧光技术。特别是在DNA-Chip光学检测中,荧光团与靶分子(待测分子)结合,再与探针(锚定在玻片上的一个DNA链)杂交,然后使用光学扫描仪检测DNA。本文的目的是推荐使用一个新奇的传感器替代传统检测系统,该传感器基于硅光电倍增管或SiPM,即将若干个固态光电检测器排成像素阵列;另一个目的是研究新型荧光染料。硅光电倍增管由像素数量不同(25-400个像素)的阵列组成,用于在各种溶液中检测CY5和Ru(bpy)32+染料的荧光,为硅光电倍增管在DNA-Chip测量中的应用创造了机会。
I. 前言
硅光电倍增管(SiPM)是一种创新的Geiger模式的固态光电检测器。硅光电倍增管结构是若干个相等的单个像素并排组成的阵列,每个像素都是一个集成降压电阻的硅p-n结雪崩光电二极管(SPAD) [1]。所有像素都并联至一个统一的输出点,因此,输出信号是各个像素产生的信号的总合,并与光子碰撞的单元数量成正比[2]。硅光电倍增管是一个很有前景的光电检测解决方案,可代替传统光电倍增管(PMT),该技术的某些特性引起人们的兴趣,例如,对磁场不敏感的特性使之适用于强磁场工作环境;稳健性和可靠性高于传统光电倍增管;工作电压更低,价格更便宜,反应速度更快,尺寸更小。高速[3]、高灵敏度和小尺寸让硅光电倍增管成为最佳的便携应用光电检测器。当然,在各种应用领域,生物传感器是最令人期待的目标应用,不过,作为荧光检测器,硅光电倍增管被推荐用于生物传感器的文献并不是很多[4-5]。基于DNA-Chip的解决方案通过荧光测量方法同时测定大量基因的表达量[6]。CY3和CY5(发射波长分别为570 nm和670 nm)是标记DNA目标的传统荧光团。本文探讨了CY5参考标记荧光团和Ru(bpy)32+创新荧光团。其中,Ru(bpy)32的某些独有特性使其可以替代传统荧光团,成为新的备用荧光团。事实上,该荧光团的最大吸收波长和最大发射波长分别为450 nm (金属配体转移)和630 nm [7],这一间隔范围可简化荧光检测器设计,准许使用价格低廉的低功率LED管代替昂贵的激光管。而且,该荧光团寿命比CY5更长(360 ns对1÷3ns),我们再次建议光源使用LED (寿命比激光器更长)。最后,在系统集成方面,信号控制电路设计可能变得更简单。
有很多问题能影响集成光电检测系统的实现,为发现所有的问题,本文设定一个双重探讨目标:将荧光团作为溶液参数(盐水与染料溶液的浓度)加以研究;探讨硅光电倍增管在测量生物样本荧光过程中的性能表现。
II. 实验仪器工具
A.待测产品描述
本文中的被测硅光电倍增管是意法半导体卡塔尼亚(意大利)研发中心研制的多片光电检测解决方案[2]。该多片方案共有7个光电检测器,其中像素数量从1个到400个。具体地说,单像素检测器(图1g)1个,而25像素(图1:a和 d)、100像素(图1:b和 e)和400像素(图1:c和 f)点阵式检测器各有两个,(按尺寸划分)分为有光沟槽和无光沟槽两类[8]。为了对所选器件施加偏压,采集输出信号,多片光电倍增管被焊接到一个敞开的32引脚封装内。

图1:多片光电倍增管结构图,其中a、b、c和d、e、f分别代表 5×5、 10×10、20×20像素有沟槽和无沟槽光电检测器;g是单像素光电检测器。
B.样品制备
将CY5 (取自iCycler iQ Calibrator Dye Solution Set #170-8792, Bio-rad) 和 100μg/ml Ru(bpy)32+置于三种不同的溶济中: H2O milliQ、PBS (磷酸盐缓冲盐水) 0.1 M和 PBS 0.01 M。 CY5被稀释成30%和40%两种浓度。PBS是一种用NaCl、KCl、Na2HPO4、KH2PO4制成的盐水溶液。若需要,加适量稀盐酸(HCl)或氢氧化钠(NaOH),将pH值调到7.2。PBS用于测试盐的存在对染料荧光的影响,我们发现,在黑暗条件下,取每种溶液2 μl,置于玻片(选择玻片的原因是其厚度为0.13-0.16 mm)上,形成直径几毫米的液滴。将玻片样品置于干燥器内,风干30分钟(30’)。
C.测量仪器
我们用下面图2所示的仪器工具测定样品发射的荧光信号。激光二极管(相干立方体激光器) 负责发射光线,PC机控制发射光。发射光在撞击样本前,被滤波器衰减30 dB。我们使用两个660 nm 或403 nm波长的激光二极管分别激发CY5和Ru(bpy)32+。测定照射样品的激光的功率,该功率是电激光二极管功率的一个函数。当电激光功率在10-80 mW 时,照射样品的激光的功率在11-113 μW之间。

图2:测量仪器工具
硅光电倍增管设为连续工作模式,并连至Keithley 236源测量仪,将硅光电倍增管置于角度计上,以便让操作人员能够观察不同发射角的荧光信号。样本置于激光二极管的同一光轴上,光线正常照射样本表面。将硅光电倍增管用作光子计数器,使用脉冲工作模式检测非常微弱的荧光信号。用安捷伦脉冲发生器Agilent 81110A驱动激光二极管取得的脉冲激光波形(周期10ms,波长4 ns)测量CY5样本发射的光子。在这种情况下,同样让激光正常照射置于同一光轴上的样本,将硅光电倍增管与激光二极管置于同一平面上,且与激光管光轴的夹角为60°,用硅光电倍增管检测样本发射的荧光。该指定角度可确保被检测到的光噪声 (玻片反射的激光) 最低。向硅光电倍增管施加-30V或 -32V偏压。若需要更高的信号强度,则施加更高的偏压。用示波仪(Tektronix DPO7104)记录检测到的信号,通过专门开发的Labview软件采集信号,在PC机上使用Matlab软件对信号进行后分析。
III.测试结果与分析讨论
A.器件定性分析
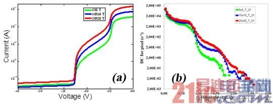
该多片方案内的光电检测器全都具有光电特性[9]。我们的目标是确定最佳的信噪比[10],测量了该器件的反向电流-电压 (I-V)特性和暗计数数量(DC),即在无光照条件下由被检测到的热生成载波引发的雪崩(计数)。图3a所示是5×5 (绿线)、10×10 (蓝线)、20×20 (红线)像素点阵有沟槽光电检测器在室温条件下的典型反向I-V特性。图3b所示是暗计数测量结果,暗计数测量就是对硅光电倍增管施加-30V偏压,然后通过归一化计算取得的像素数量。通过直接比较不同阵列,我们发现两个明显的主要特性:所有测试条件中击穿电压(BV)相同,如果像素数量增加,则器件噪声(暗电流和暗计数)随之提高[8]。BV (-28V)和 -35 V区间是Geiger模式工作的目标范围。在这个区间,暗电流随着像素数量增加而线性提高,这种现象在图3b第一个区间 (0.5 #p.e.)更为明显 。

图3 (a) 25像素 (绿线)、100像素 (蓝线)、400像素 (红线)有沟槽硅光电倍增管的反向 I-V特性; (b) 25像素 (绿线)、100像素 (蓝线)、400像素 (红线)有沟槽硅光电倍增管的暗计数特性
当只有一个单元计数时,所有器件的暗计数相同,这证明反向电流的上升呈线性。在图3b的第2区间(1.5 #p.e.),硅光电倍增管的三个器件呈现不同的特性,两个像素光电检测器同失效,5×5像素有光沟槽器件是硅光电倍增管中暗计数最少的光电检测器,这表示其串扰概率最低,因此信噪比最高。这个结果让我们将25像素光电检测器定义为最符合我们目标的器件。
B.样品定性分析
为研究荧光特性和生物传感器性能,我们采取了多种测量方法(见实验)。图4描述了在室温时两个荧光染料在20°-90°位置的荧光特性。值得一提的是,图中电流值是荧光信号电流减去参考样品(玻片)电流测量值的净电流。图4还描述了两种不同浓度的CY5溶液(图4a)和Ru(bpy)32+ (图 4b)的荧光特性。硅光电倍增管偏压为-30V,激光功率为72μW。在测试分析中,出现了一些值得注意的结果:CY5浓度增加导致荧光电流测量值增加,信号值在两种荧光团的满量程内基本上是常数,证明荧光信号的各向同性发射特性[11]; milliQ水溶液是确保荧光净电流(图中没有显示)最大的最佳溶液。若想解释Ru(bpy)32+是荧光团溶液浓度的函数,还需要进一步研究探索。最后,我们用H2O milliQ水溶液制成浓度30%的CY5溶液,然后用硅光电倍增管的光子计数工作模式,测量该样品发射的光子数量。这个测量过程分为两个步骤:在硅光电倍增管上施加-32V偏压,分析参考样品(顶部无CY5沉淀物)和 CY5样品。在第一种情况中,示波器采集的信号是硅光电倍增管的固有噪声和玻片反射的激光辐射产生的残余噪声(在这种工作条件下非常低)。然后,我们将CY5沉淀样品置于激光二极管的同一光轴上,在示波器屏幕上,进入连续模式,可以看到不同振幅的信号,因为平均4个像素被光子射中。图5详细描述了捕获的数据。具体地说,蓝实线表示发射光子的分布,而红实线则表示从参考样品捕获的噪声。多达6个光子照射传感器工作区,在光电频谱中测量到的荧光峰值间隔代表一个像素提供的电量。硅光电倍增管增益(G) 为输出电荷Qto与被检测到的光子nph和电子电荷(q)的比值:
G=Qtot/nph·q ---------- (1)
假设平均一个光子引发一个像素雪崩,则增益的表达式如下:
G=Qpixel/q= CD ·(VBIAS - VBD) /q ---------- (2)
由于在-32V偏压下,CD 通常是在 10 – 100 fF范围内,所以,假设nph=1,VBD = -28V,单个光电频谱内的峰值间隔测量值大约是3.50·10-13,对应的增益值为2.2·106。不过,当硅光电增管偏压上升时,记录的增益和噪声测量值都会提高,为确保最佳的信噪比,我们必须找到一个折衷的解决方案。因为CY5吸收波长和发射波长十分拉近(分别为650 nm和670 nm),所以集成化检测器难以实现。荧光寿命短暂(1÷3ns)需要实现更加复杂的控制和管理电路。另一方面,可以选用一个不同的荧光染料,例如,Ru(bpy)32+,因为吸收和发射峰值之间的巨大差距(分别为450 nm和630 nmy)和长寿命(大约360 ns),该新型染料让人们能够降低对光学和电子器件的工作条件的要求。

32+ (绿线)溶液在20°- 90°位置的荧光特性 ">
图4(a) 30% CY5溶液(蓝线)和40% CY5溶液(红线) 在20°- 90°位置的荧光特性; (b) 700μg/ml Ru(bpy)32+ (绿线)溶液在20°- 90°位置的荧光特性

图5:CY5荧光光子计数分布(蓝线),噪声(红线)
IV.结论
在本文中,意法半导体卡塔尼亚研发中心研制的硅光电倍增管可检测生物样本发射的弱荧光,用于研制易用的生化光学系统。此外,我们优化的生物传感器方案可让设备厂商研制非常紧凑的便携光电系统。
通过多片产品定性分析,我们确定5×5像素有光沟槽的光电检测器的暗计数和串扰概率最低,最适合我们的应用要求。脉冲式测量方法的结果证明,硅光电倍增管可用作光子计数器,还用于生物感测设备。硅光电倍增管和u(bpy)32+ 创新染料的特性让我们能够最大限度缩减器件尺寸,为片上实验室应用创造机会。


