- 易迪拓培训,专注于微波、射频、天线设计工程师的培养
如何选择电压测试模式
在工程师的日常测试中,有时会发现用万用表测试的结果与许多高精度的仪器测试的结果并不一致,工程师往往会陷入迷茫,到底哪个值才是正确的 原来,选择不同的测量模式,会导致结果大相径庭,本文将对最常见的4种测量模式进行解析,大家莫要傻傻分不清。
测试同样一个信号,不同的计算方式与测量模式将会得出完全不同的结果,最常用的4种测量模式包括:RMS(真有效值也称有效值或均方根值)、MEAN(校准到有效值的整流平均值也称校正平均值)、DC(简单平均值也称直流分量)、RMEAN(整流平均值也称平均值)。每一种测量模式是怎么计算的,如何应用,本文将进行详细说明。

RMS(真有效值)
真有效值简单而言即代表一交流电相当于多大数值的直流电在单位时间内所做的功,真有效值为10V的交流电与10V的直流电对相同的负载在相同的时间下所做的功相同。举个例子来说有一组100伏的电池组,每次供电10分钟之后停10分钟(模拟出交流信号),如果这组电池带动的是10Ω电阻,供电的10分钟内,产生的电流I=U/R=10A,功率P=U*I=1000W的功率,停电时电流和功率为零,那么在20分钟的其平均功率为500W。这相当于多少V的直流电向10Ω电阻供电所产生的功率呢 通过公式P=U2/R推导,得出电压U等于70.71V,这个电压就是我们模拟的交流信号的真有效值。

真有效值的理论计算公式为

在仪器测量中,计算值是基于采样点计算得到,因此仪器中的真有效值的计算公式为:

因其计算过程为先平方,再求和,最后开根号,所以又称均方根值。由公式可知采样点数N会直接影响结果的准确性。平时我们用万用表、功率分析仪测试电压都采用RMS模式,对于工频情况下的规则正弦波而言,万用表与功率分析仪测试结果几乎没有区别,但是假如电压信号不是规则的正弦波或频率比较高时,万用表受限于其采样点数,其测试结果会出现明显偏差,这也是现在变频行业万用表测不准的原因所在。
DC(简单平均值-直流偏置)
对于DC值,理解起来就比较简单,那就是被测信号中所含有的直流分量,比如我们日常生活中的单相工频电,理论上其DC值为0,DC值的计算公式为:

,在测试过程中可以切换到Udc模式,查看信号的直流分量。
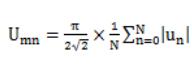
RMEAN(整流平均值)
整流平均值简单而言即代表此一交流电在全波整流后相同时间内波形围出的面积与多大数值直流信号围出的面积相同。假设有一周期为T的交流电压,经过整流后,在一周期内围出的面积为:

而同一时间的直流信号围出的面积为:S2=U*T,S1=S2,故Urmn值理论上为可得到:


同样在测试仪器中,计算值是基于采样点计算,可以得到Urmn值为:

整流平均值在平时测试时使用的较少,但其存在有很大的意义,为什么呢 我们接下来看。
MEAN(校正平均值)
校正平均值一般用于替代正弦交流电的有效值。依据是正弦波的波形因数是一个常数,测量出整流平均值之后,乘以波形因数就得到校准平均值,而这个校正平均值在数值上等于正弦信号的有效值。正弦波的波形因数为
因此,校准平均值=
*整流平均值,即

,由公式可知波形因数固定为
所以校正平均值等于有效值只有在被测信号为正弦波时才成立,反之也可以认为校正平均值反映的是基波有效值,因此在一定程度上Umn值可以作为基波有效值,特别是在变频器等场合经常被用到。但是需要强调的是,随着技术的发展,调制信号并非正弦,PWM波往往是脉冲或方波,所以只用Umn值来代替基波有效值还是存在误差,最好的方式是通过功率分析仪的FFT运算后,列出各次谐波含量,直接查看基波数据。
看到这里,已经阐述了4种电压模式的基本概念了,下面我们用两个实际测试数据来对比各种电压模式。
案例一,测试电网电压,为了得到更标准的正弦波消除谐波的影响,我们在测试时加了100Hz的线路滤波器,如下图所示:

测试得到各个模式数据如下:

从数据中可以看到,因为是正弦波Urms和Umn非常接近,Udc≈0,Umn和Urmn相比等于1.1107≈
图中Cff1就是波形因素,Cff1=1.110,也验证了被测信号是非常规则的正弦波。
案例二,测试一个直流信号,查看各个模式下电压的数据,如下图所示:

因为是直流信号,所以测试得到的Urms、Udc、Urmn值相等,而Umn是通过Urmn计算得到,所以Umn值不等于Urms。从图中可以看到Uff=1.000,说明直流信号的波形因素为1。
通过以上分析,我们知道了不同模式下的数据含义,以及在不同场合如何选择合适的模式来查看自己所需的数据。以上的案例数据是通过致远电子的PA系列功率分析仪测试所得,PA系列功率分析仪提供多种电压模式以满足不同客户应用需求,适用于各种功率场合测量测试,在国内外得到了用户的广泛认可。


