- 易迪拓培训,专注于微波、射频、天线设计工程师的培养
基于单片机温度测量的标定方法
航空发动机燃气温度是表征航空发动机工作状态是否正常的最重要的参数之一,也是飞行员和维护人员必须掌握的重要参数,所以精确有效的检测温度至关重要。
在基于单片机的温度测量系统中,温度标定是一个重要的环节。本文在航空发动机温度检测电路的基础上,通过对不同标定方法的研究,提出了一种改进的温度标定方法,该方法利用上位机和下位机协同完成温度的标定。
1 硬件设计
热电偶是测量航空发动机燃气温度的常用温度传感器,其中K型热电偶由于线性好、热电动势较大、灵敏度高、稳定性好等优点,在航空发动机中得到了广泛应用。实验中使用毫伏源模拟热电偶产生的热电动势。
A/D转换电路采用高精度的AD7606芯片,其是16位、8通道同步采样模数数据采集系统,可处理±10 V和±5 V真双极性输入信号。
主控MCU采用高性能16位飞思卡尔单片机,具有速度快、功能强、成本低、功耗低等特点。
上位机采用Delphi设计,通过CAN接口与单片机通讯,显示AD值和温度值,并可向下位机发出指令,整体硬件结构如图1所示。

2 温度标定方法的对比和研究
2.1 查表法
在实时控制和数据处理系统中,对程序的运算速度要求较高。若完全利用CPU多次重复处理同一复杂运算,将占用较长时间。为避免复杂的现场运算、缩短运算时间,可采用查表法将复杂的运算事先做好,将结果存储在内存中,程序运行需要该运算时将结果调出即可。
查表法需要制作数据量很大的表格才能获得较高的精度,这将占用较大的内存。若硬件发生改变,必须重新计算并制作表格,软件可移植性差。
2.2 直接拟合法
根据热电偶分度表,调节输入电压值,通过上位机显示记录转换后的AD值。经A/D转换得到的数字量与实测的温度值之间不具有线性关系,工程上常采用最小二乘法对其进行拟合,求出函数关系。将该函数写入下位机程序,即可将测得的AD值转换成对应的温度值。
直接拟合法的缺点在于不能调零和调满,而且硬件一旦发生改变,相关函数必须重新拟合,软件可移植性差。
2.3 二次拟合法
二次拟合法是在直接拟合法的基础上改进而来,其原理如图2所示。

热电偶测量温度得到的热电动势(V)与实测的温度值(T)之间不具备线性关系,根据其分度表采用最小二乘法进行拟合得到函数关系T=f(V);由于输入的电压信号与A/D转换后得到的数字量之间线性关系较好,采用两点法求得V=g(AD),利用该函数关系可实现调零和调满。上面两个函数复合得到温度与AD值之间的函数关系T=f[g(AD)]。

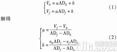
软件流程如图3所示,由于V和AD值之间呈线性关系,可设V=aAD+b(a,b为常数)。令T=f(aAD+b+Vx),Vx初始值为零。首先调零,输入零点温度对应的电压V0,由上位机发出调零指令,在Flash中保存零点AD值AD0,同时令Vx=-V0,则T=f(aAD0+b-V0)=f(V0-V0)=0,实现显示清零;接着调满,输入满量程温度对应的电压,由上位机发出调满指令Vf,保存满程AD值ADf,并将Vx清零,联立方程式


此时显示满量程温度值,且完成温度的标定。
3 实验数据分析
分别采用直接拟合法和二次拟合法对测温系统进行温度标定。调节毫伏源输入电压值,通过上位机读取测得的温度值,并与飞机发动机温度检测仪的技术指标进行对比。测量结果如表1所示。
从表1的测量结果可看出,直接拟合法和二次拟合法的误差均在允许误差以内,符合精度要求。但二者误差精度和稳定性存在明显差别,如图4所示。

从图4可看出,直接拟合法的最大误差达0.5℃,且稳定性较差;而二次拟合标定法的最大误差仅为0.2℃,测试结果稳定性较高。因此二次拟合标定法的精度和稳定性均优于直接拟合法。
4 结束语
二次拟合法利用AD7606输入的模拟量和输出的数字量之间线性度较好这一特点,分两步拟合出温度值,与直接拟合法相比减少了中间误差,从而使基于单片机的温度测量系统具有更高的精度和稳定性。输入电压和转换后的AD值之间的关系是通过两点法求得的直线方程,这两点分别是温度零点和满程对应的电压值和AD值,因此二次拟合法可完全通过软件对温度调零和调满,无需增加或调节硬件。二次拟合法标定过程中需要的AD值可随时由上位机读取,不受硬件变化的制约,因此可移植性较高。


