- 易迪拓培训,专注于微波、射频、天线设计工程师的培养
如何降低MOSFET损耗并提升EMI性能
摘要: 本文主要阐述了MOSFET在模块电源中的应用,分析了MOSFET损耗特点,提出了优化方法;并且阐述了优化方法与EMI之间的关系。
关键词:MOSFET 损耗分析 EMI
一、引言
MOSFET作为主要的开关功率器件之一,被大量应用于模块电源。了解MOSFET的损耗组成并对其分析,有利于优化MOSFET损耗,提高模块电源的功率;但是一味的减少MOSFET的损耗及其他方面的损耗,反而会引起更严重的EMI问题,导致整个系统不能稳定工作。所以需要在减少MOSFET的损耗的同时需要兼顾模块电源的EMI性能。
二、开关管MOSFET的功耗分析
MOSFET的损耗主要有以下部分组成:1.通态损耗;2.导通损耗;3.关断损耗;4.驱动损耗;5.吸收损耗;随着模块电源的体积减小,需要将开关频率进一步提高,进而导致开通损耗和关断损耗的增加,例如300kHz的驱动频率下,开通损耗和关断损耗的比例已经是总损耗主要部分了。


MOSFET导通与关断过程中都会产生损耗,在这两个转换过程中,漏极电压与漏极电流、栅源电压与电荷之间的关系如图1和图2所示,现以导通转换过程为例进行分析:
t0-t1区间:栅极电压从0上升到门限电压Uth,开关管为导通,无漏极电流通过这一区间不产生损耗;
t1-t2区间:栅极电压达到Vth,漏极电流ID开始增加,到t2时刻达到最大值,但是漏源电压保持截止时高电平不变,从图1可以看出,此部分有VDS与ID有重叠,MOSFET功耗增大;
t2-t3区间:从t2时刻开始,漏源电压VDS开始下降,引起密勒电容效应,使得栅极电压不能上升而出现平台,t2-t3时刻电荷量等于Qgd,t3时刻开始漏极电压下降到最小值;此部分有VDS与ID有重叠,MOSFET功耗增大
t3-t4区间:栅极电压从平台上升至最后的驱动电压(模块电源一般设定为12V),上升的栅压使导通电阻进一步减少,MOSFET进入完全导通状态;此时损耗转化为导通损耗。
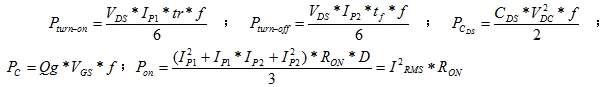
关断过程与导通过程相似,只不过是波形相反而已;关于MOSFET的导通损耗与关断损耗的分析过程,有很多文献可以参考,这里直接引用《张兴柱之MOSFET分析》的总结公式如下:


三、MOSFET的损耗优化方法及其利弊关系
3-1. 通过降低模块电源的驱动频率减少MOSFET的损耗

从MOSFET的损耗分析可以看出,开关电源的驱动频率越高,导通损耗、关断损耗和驱动损耗会相应增大,但是高频化可以使得模块电源的变压器磁芯更小,模块的体积变得更小,所以可以通过开关频率去优化开通损耗、关断损耗和驱动损耗,但是高频化却会引起严重的EMI问题。金升阳DC/DC R3产品,采用跳频控制方法,在轻负载情况下,通过降低模块电源的开关频率来降低驱动损耗,从而进一步提高轻负载条件下的效率,使得系统在待机工作下,更节能,进一步提高蓄电池供电系统的工作时间,并且还能够降低EMI的辐射问题;
3-2.通过降低、来减少MOSFET的损耗
典型的小功率模块电源(小于50W)大多采用的电路拓扑结构为反激形式,典型的控制电路如图3所示;从MOSFET的损耗分析还可以知道:与开通损耗成正比、与关断损耗成正比;所以可以通过减少 、来减少MOSFET的损耗,通常情况下,可以减小MOSFET的驱动电阻Rg来减少、时间,但是此优化方法却带来严重的EMI问题;以金升阳URB2405YMD-6WR3产品为例来说明此项问题:
1)URB2405YMD-6WR3采用10Ω的MOSFET驱动电阻,裸机辐射测试结果如下:


2)URB2405YMD-6WR3采用0Ω的驱动电阻,裸机辐射测试结果如下:


从两种不同的驱动电阻测试结果来看,虽然都能够通过EN55022的辐射骚扰度的CLASS A等级,但是采用0欧姆的驱动电阻,在水平极化方向测试结果的余量是不足3dB的,该方案设计不能被通过。
3-3.通过降低吸收电路损耗来减少损耗
在模块电源的设计过程中,变压器的漏感总是存在的,采用反激拓扑式结构,往往在MOSFET截止过程中,MOSFET的漏极往往存在着很大的电压尖峰,一般情况下,MOSFET的电压设计余量是足够承受的,为了提高整体的电源效率,一些电源厂家是没有增加吸收电路(吸收电路如图3标注①RCD吸收电路和②RC吸收电路)来吸收尖峰电压的。但是,不注意这些吸收电路的设计往往也是导致EMI设计不合格的主要原因。以金升阳URF2405P-6WR3的吸收电路(采用如图3中的②RC吸收电路)为例:
1)驱动电阻Rg为27Ω,无RC吸收电路,辐射骚扰度测试结果如下:


2)驱动电阻为27Ω;吸收电路为电阻R和C 5.1Ω 470pF,辐射骚扰度测试结果如下:


从两种不同的吸收电路方案测试结果来看,不采用吸收电路的方案,是不能通过EN55022辐射骚扰度的CLASS A等级,而采用吸收电路,则可以解决辐射骚扰度实验不通过的问题,通过不同的RC组合方式可进一步降低辐射骚扰。
四、总结
MOSFET的功耗优化工作实际上是一个系统工程,部分优化方案甚至会影响EMI的特性变化。上述案例中,金升阳R3系列产品将节能环保的理念深入到电源的开发过程中,很好地平衡了电源整体效率与EMI特性,从而进一步优化了电源参数。将电源参数进一步优化,更能兼容客户系统,并发挥真正的电子系统“心脏”作用,源源不断的输送能量。
上一篇:如何解决多层PCB设计时的EMI问题?
下一篇:关于PCB电磁干扰问题的解决办法


