- 易迪拓培训,专注于微波、射频、天线设计工程师的培养
基于比时法的晶振频率测量建模与分析
李二鹏,文开章,汪为伟
(西北核技术研究所陕西 西安710024)
0 引言
石英晶体振荡器受制造工艺、器件老化以及外部温度等因素影响,其实际频率值与标称频率值存在偏差。此外,晶体振荡器内部存在着各种噪声也会使频率值产生随机起伏,从而导致晶振频率的准确度和稳定度降低。当前,国内外在研究晶体振荡器的老化和随机噪声、分析晶振频率误差特性方面提出了很多方法,比较常见的有时间对数线性模型法、自适应滤波法及非线性时变预测法。前两种方法的缺点是参数较多,选择合适的参数较难,非线性时变预测法的模型描述能力强,但由于没有函数参数的显式表达式,不能将模型求解归结为参数求解问题,一般通过学习来逼近该函数,主要用于频率变化的预测。
在上述方法的基础上,本文利用CPLD设计了一种电路,该电路采用比时法来测量晶振频率变化,并根据其频率随时间变化拟合曲线的特点,用线性回归法分析其频率误差特性。该方法模型简单,参数易于估计,可通过简洁的补偿方法消除晶振相对频偏,具有实际的应用价值。
1 晶振频率测量系统组成
测量系统由GPS接收机、晶振、时差测量模块、时钟产生模块、计算机数据采集处理组成。组成原理如图1所示。

GPS接收机每秒输出1路TTL电平的标准秒脉冲(1 PPS),晶振是时差测量和时钟产生的频率源。时钟产生电路产生本地秒脉冲。时差测量电路测量GPS秒脉冲与本地秒脉冲的相位差值。
采用比时法测量晶振频率的系统工作原理如下:首先由晶振分频得到本地的1 Hz频率源,将GPS秒脉冲与本地晶振秒脉冲送入时差测量模块进行相位比较,得到两者的相位差信号,设计时间间隔计数器对此相差闸门信号计数,计数值即为晶振频率相对于标准频率的偏差,反映了晶振频率的误差特征。时间间隔计数器每秒测量一次两者的偏差值,需要测量的频差数据量由计算机设定,测量结果传送到计算机进行数据统计,并对晶振频率误差特性进行分析。本地时钟产生、时差测量及数据采集电路模块等都由CPLD设计实现。
2 模型建立
实验以GPS秒脉冲作为标准参考信号,采用比时法对晶振的输出频率进行测量。按照建立的测量系统,实际对某一晶振采集到30个计数值,如表1所示。

表1中x表示测量的时间(单位:s),y表示晶振脉冲计数个数。假设晶振在某秒计数值为M,它的计数周期为T,则MT为晶振秒脉冲与GPS秒脉冲的时间差值。例如在第6 s时测得计数值为470,则表示在第6 s时晶振与GPS秒脉冲的时间差为470T。为了研究时间x与计数个数y之间的关系,用ORIGIN工具软件对数据进行拟合处理,得到的x,y,关系曲线如图2所示。

从散点图可以看出,测量计数值和测量时间大致呈线性关系。据此假设这两个变量之间的内在关系是一条直线,这些点与直线的偏离是由于测量过程中其他一些随机因素的影响而引起的,这样可以假设这组测量数据有如下结构形式:
![]()
式中:ε1,ε2,…,εN分别表示其他随机因素对变量y1,y2,…,yN影响的总和,一般假设它们是一组相互独立,并服从同一正态分布N(0,δ)的随机变量。变量x在实验中为自然数,表示具体的秒脉冲数值。这样,变量y表示实际所测得的晶振与标准频率的计数差值,它是服从N(β+βx,δ)的随机变量。
用最小二乘法们来估计参数β0,β。设b0,b分别是参数β0,β的最小二乘估计,于是得到一元线性回归的回归方程:
![]()
式中:b0,b是回归方程的回归系数,分别表示晶振相对于标准频率的初始误差和累积误差。应用最小二乘法可求得回归系数b,b0为:

3 数据分析与处理
3.1 回归系数估计
为了定量分析数据,从而确定晶振频率误差的组成,首先对上述测得的数据进行归一化处理。实际测量中得到的是晶振脉冲的计数个数,设测量系统所用晶振频率为10 MHz,可将计数数据转化为晶振相对于标准时间每秒的时间之差。例如在x=30 s时,y=2 349,表示在第30 s时,晶振频率相对于标准频率的计数值为2 349,若晶振频率f=10 MHz,则可得到在第30 s时晶振相对于GPS时间的误差为t=y/f=234.9μs。
用Matlab对归一化数据进行处理,依照最小二乘原理,得到计数时间x与时间差值y的均值,以及x的自相关、x和y的互相关、y的自相关及回归方程如表2所示。


以上求得了回归方程,但是该方程是否基本上符合y与x之间的客观规律,是否符合晶振频率误差变化的实际特点,还需要对回归方程做进一步的分析。在回归分析法中,通常采用方差分析法们对回归方程的显著性进行检验,其实质是将N个测量值的影响从数量上区分开,然后用F检验法对所求回归方程进行显著性检验。
3.2 晶振频率误差数据方差分析及显著性检验
测量值y1,y2,…,yN之间的差异(称为变差)是由两方面的原因引起的。一是自变量取值的不同,二是其他因素(包括试验误差、随机误差等)的影响。为了对回归方程进行检验,把两者所引起的变差从y的总变差中分解出来。根据上述数据可得:

式中:U称为回归平方和,它反映了在y的总变差中由于x和y的线性关系而引起的y变化的部分,Q称为残余平方和,即所有测量点距回归直线的残余误差平方和。
若总的平方和由N项组成,其自由度就为N-1,总的离差平方和的自由度可分为回归平方和的自由度υU和残余平方和的自由度υQ之和,即:
![]()
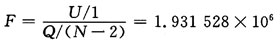
在一元线性回归中,υU=1,υS=N-1,则Q的自由度υQ=N-2。由回归平方和与残余平方和的意义可知,一个回归方程是否显著,也就是y与x的线性关系是否密切,取决于U及Q的大小,U愈大Q愈小,说明y与x的线性关系愈密切。通常可以采用F检验法来对方程进行显著性检验。对于一元线性回归,将U及Q的值代入上式得到统计量F:
![]()
由F分布表可以查出,F≥F0.01(1,28)=7.64。可认为回归是高度显著的。
残余平方和Q除以它的自由度υQ所得商:
![]()
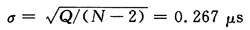
称为残余方差,它可以看作排除了x对y的线性影响后,衡量y随机波动大小的一个估计量。残余方差的平方根:
![]()
称为残余标准差,它可用来衡量所有随机因素对y一次性测量平均变差的大小,σ愈小,则回归直线的精度愈高。
把平方和及自由度进行分解的方差分析数据结果归纳在一个表格中,如表3所示。

从表3可以看出,在30 s时间内,晶振实际频率与其标称频率的相对偏差引起的误差平方和为1.377 18×105μs2,其他各种随机因素引起的误差的平方和为1.996μs2。晶振相对频偏引起的误差远远大于其他因素引起的误差,表明了晶振频率误差贡献主要来源于实际频率与标称频率之间的频偏。通过频率修正即可得到一种高稳定度的频标源。
4 结语
以上分析结果表明,该晶振频率误差主要来源于实际频率与标称频率的相对偏差,随机误差对晶振整体误差的贡献很小。通过对晶振标称频率值进行在线补偿可以消除其相对频偏,从而获得一种具有较高稳定度的频率源,可为需要时间显示的场所提供高精度的时间服务。
上一篇:基于VXI总线技术的RWR自动测试诊断系统构建
下一篇:Teranetics采用泰克仪器验证首个双端口10GBASE-T PHY


