- 易迪拓培训,专注于微波、射频、天线设计工程师的培养
基于LabVIEW的参量阵测试系统设计方法
作者:聂新华 潘衡岳潘仲明 郭伟 来源:国防科学技术大学
引言
声学参量阵(ParametricAcousticArray)是利用介质的非线性特性,使用两个沿同一方向传播的高频初始波在远场中获得差频、和频及倍频等的声发射装置。根据介质中声吸收原理,吸收与信号频率的平方成正比,在声波的传播过程中,和频及倍频等频率较高的信号衰减很快,经过一段距离后,仅剩下频率较低的差频信号。与常规换能器相比,首先,该差频信号具有更好的指向性,其次,该差频信号几乎没有旁瓣,避免了在浅海沉底或沉积物探测过程中由于边界不均匀所带来的干扰和信号处理的复杂性,第三,差频信号具有大于10kHz的带宽,空间分辨率高,抗混响,并能获得较高的信号处理增益等。
基于上述优点,参量阵在水下探测、水下通信等领域具有广泛的应用前景。例如,在国外,德国INN0-MAR公司生产的SES-96和SES-2000系列参量阵测深/浅底层剖面仪,目前广泛应用于浅海水下探测,其中SES-96低频的束角为±1.8°,穿透深度最大达50m,在国内,中国科学院东海研究站研制成功的参量阵“堤防隐患监测声纳”,可以对江河湖底和海底沉积层进行探测识别或对堤防损毁程度进行探测评估。另外,美国技术公司开发的参量扬声器专利产品——极超音速扬声器系统(HypersonicSoundSystem,HSS),实现了声音在空气中的定向传播。
但是,目前参量阵技术并不成熟,没有形成统一的国际标准或行业规范。本文旨在对声参量阵在空气中的应用做一些初步的探索和研究,为声参量阵技术应用于水声探测做准备。
1声参量阵理论及换能器阵设计
1.1声参量阵理论
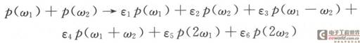
假设两个高频初始声波信号的频率分别为ω1和ω2(不妨设ω1>ω2),信号在传播中由于介质的非线性效应而形成差频信号(ω1-ω2)、和频信号(ω1+ω2)、倍频信号(2ω1和2ω2)以及原信号(ω1和ω2),可表述如下:

式中:ei(i=1,2,…,6)为无量纲参量。
由于高频初始声波信号ω1和ω2可以做得很接近,差频信号(ω1-ω2)的频率很低,该差频信号具有很强的沉积层穿透力,可以用来探测海底浅部底层结构,而反射的主频信号则可以用于精确的水深测量。另外,原波频率较高,换能器可做得很小,这不但可以减小发射器的体积,而且还可探测较小物体。产生的差频信号强度较原波稍高,衰减较慢,并与高频时的波束角非常接近,且没有旁瓣,因此其波束指向性好,具有较高的分辨率。同时可控的差频声波信号可以承载更多的沉积层信息,以便对埋入沉积层的目标进行分类识别。
1.2换能器阵设计
此处的换能器指的是电声换能器,即用来实现电能和声能之间能量相互转换的器件。由于单个换能器的指向性不好(甚至没有指向性),而且单个换能器的发射功率也不大。因此考虑使用基阵的方法,即由若干个换能器按一定规律排成阵列。这样不但提高了发射功率,而且通过基阵形成的波束,其方向性的旁瓣得到降低,指向性得到了很大的提高,从而对目标的定位、定向和测速都有很大的改善。同时随着发射功率的增大,空间处理增益和接收阵输入端的信噪比得到提高,并且系统的作用距离有所增加,对单个换能器的指向性等要求也有所降低,实现起来更加容易。
设计换能器阵时,可以采用多种排列组合方式,如矩形阵、六边形阵、圆形阵等。本系统采用9个圆形压电陶瓷换能器组成3×3矩形基阵的形式来发射超声信号,并利用4个传声器来进行回波的接收。如图1所示,其中1,3,7及9号换能器构成一个通道,其余5个换能器构成另一个通道。

1.3参量阵的发射方式
参量阵的发射方式分为两种,单通道发射方式和双通道发射方式。其中,单通道发射方式是指两个原波频率信号,经过线性相加以及功率放大后,同时激励换能器阵中的所有阵元,而双通道发射方式是指两个原波信号经过功率放大后,各自通过换能器阵中的某个通道来激励相对应的阵元。
相比较,单通道发射方式结构比较简单,容易实现,但大功率输出较困难,而双通道发射时,其输出功率较大,但换能器阵元组合比较复杂。本系统中9个圆形压电陶瓷换能器组成的3×3矩形基阵采用单通道发射方式,即载波调制信号同时接入换能器阵的两个通道。 function ImgZoom(Id)//重新设置图片大小 防止撑破表格 { var w = $(Id).width; var m = 650; if(w
2声参量阵测试系统的组成结构设计
本文设计的系统结构原理框图如图2所示,主要包括PC机(LabVIEW信号处理平台)、功率放大电路、换能器发射及接收阵、信号接收电路及数据采集卡等结构。其中,PC机主要是通过LabVIEW软件完成对初始信号和高频载波的产生、信号失真预处理和接收信号的后续处理(包括信号的实时显示、频谱分析等),换能器发射和接收阵分别实现载波调制信号的发射和回波信号的接收,功率放大电路用来提高载波调制信号的发射功率,而信号接收电路则是对传声器接收到的回波信号进行处理,包括前端放大、带通滤波及末级放大等几个处理环节。

2.1信号处理
信号处理是本系统中关键部分之一,主要完成输入信号的失真预处理和超声载波的振幅调制。信号处理部分的基本理论是。Berktay远场解决方案。
2.1.1失真预处理
失真预处理的目的是增强信号的强度,减少失真,增强低频等。1965年,Berktay使用调制中包络的概念为参量阵提出了一个更精确完整的解释,认为最终的解调信号将由这个包络决定,即参量阵解调后的信号P2(t)与包络E(t)平方对时间的两次微分成正比。根据Berktay远场解决方案,现有的预处理方法主要有三种:
第一种也是最初的预处理方法,假设包络为E(t)=1+mg(t),其中m为调制因数,g(t)为音频信号。则有:

根据式(1)可以看到:在非线性作用下,信号的自解调能够将正比于包络信号E(t)的调制信号Ps(t)解调出来,但自解调过程中会伴随二次谐波失真信号Pd(t)的产生。
细观式(1)可得,失真信号Pd(t)与m2成正比,即减小m就可以减少失真,但解调出来的信号Ps(t)也随之减小,导致转换效率降低。因此就有了第二种预处理方法,对包络先积分两次,然后再开方,即:

很显然,单边带预处理方法对应产生纯音频信号时没有失真,即没有其他频率成分产生。
2.1.2载波调制
载波调制的作用是将预处理过的信号与超声载波信号进行振幅调制,生成超声载波调制信号。载波调制可分为双边带(DoubleSideband,DSB)调制和单边带(SingleSideband,SSB)调制等。在DSB调制中,输出信号的频谱由位于载频左右两侧的上下边带组成,而且信号的上、下边带携带的调制信号信息完全一样,SSB调制就是选择DSB调制中一个边带进行传输,从而节省一半的发射功率。假设载波频率为85kHz,音频信号频率为5kHz,则DSB和SSB调制示意图如图3所示。

输入信号通过运放PA85后,功率得到提高,但输出的电流较小。为了得到较高的输出电流,在PA85的输出端接人由Q1,Q2,Q3和Q4组成的互补对称式放大器,提升运放PA85的输出电流。另外,二极管D1和D2构成的


