- 易迪拓培训,专注于微波、射频、天线设计工程师的培养
电力变压器直流电阻的快速测量方法----静态测量法
第二章电力变压器直流电阻的快速测量方法
2.1静态测量法
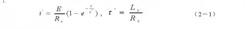
电力变压器绕组直流电阻测量时,绕组中充电电流为:

由此可见,接通直流电源时,电流i中含有一直流分量和一衰减分量,时间常数T决定衰减分量衰减的快慢,时间常数越小,衰减的越快。当衰减分量衰减至0时,即i达到稳定值时,电感不起作用,通过测量电压E和电流I,得到电阻Rx.
为达到快速测量直流电阻的目的,人们提出很多方法来减小时间常数T,根据其工作原理可以归纳为3个方面:
1)是减小回路的电感;
2)是增大测量回路的电阻;
3)强制进入稳态。
2.1.1增大回路电阻的电路突变法
增大回路电阻的电路突变法是比较常用的一种方法,它的原理电路及测量电流与时间的关系如图所示

它的原理是使电路的过渡过程从一种自然常数决定的过渡过程强制到另一种自然常数决定的过渡过程。在测量回路中串入一附加电阻R,当k闭合,AN也闭合时,回路电流方程为:

AN断开时,回路电流方程为:

由于R》Rx,所以τ′′《τ′。测量时,将按钮AN闭合,附加电阻R短路,使全部电压加在被测绕组上,电流沿曲线1以较大的速率上升,一直达到预定的电流I=E/(Rx + R)时断开按钮AN,则电流i由曲线1立即稳定到曲线2的稳定值上,绕组的充电时间将由t2(t2≈5τ′′)缩短到t3.若采用常规测量方法的充电时间为t1(t1≈5τ′′),显然t3《t《2t1,可见该方法能大大缩短测量的时间。
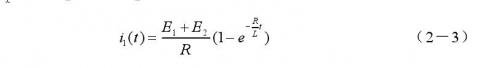
2.1.2高压充电低压测量法
高压充电低压测量法接线原理如2-3图所示

测量时,首先同时合上k1、k2,E1开始对绕组充电,监视电流表,当电流达到预期的稳定值= E R时,再断开1 k,此时在绕组两端的电压为E2,等到稳定后就可以很快地进行测量了。这种方法的实质和增大回路电阻的电路突变法类似,都是使充电电流以较快的速率达到测量电路的稳定值。
2.1.3磁通泵法
磁通泵法测量原理电路图如图2-4所示,
当开关k1闭合,2k2置1位时,电流

令k1打开前的一瞬间的电流为


此时L中的磁链为

这一量值是标志L储存磁场能量的量值。当k2仍置1位时,而k1突然打开时,根据磁通惯性原理可知,若同一回路的两个电感在换路前电流不相等,则换路后的瞬间两电感的磁链和电流将发生跳变,但总磁链保持原量值而不改变,则有

此时再将k1闭合,电感L进入又一储能周期,当L储能结束后,将k1打开,i2将再次发生跳变。重复以上过程,当i2(t)达到预期稳态电流I = E2/( r + L + Lx)时,将k2置2位,再迅速k1打开,i2(t)很快的自动过渡到I,回路进入稳态可测量状态。其电流的变化曲线如图2-5所示

2.1.4助磁法
电力变压器工作于饱和励磁状态时,低压绕组的励磁电流需要几十安培以上,但同一铁芯柱上的高压绕组的励磁电流仅几安培就可以使变压器铁芯磁通饱和。因此,只要把变压器的高、低绕组串联起来进行测试,较小的电流就能使铁芯饱和。助磁法就是利用高压绕组较多的励磁安匝数来使铁芯饱和,使电感减小,时间常数减小,实现缩短直流电阻测量时间的目的。其接线原理图2-6所示

必须注意的是,高、低压绕组的电流方向必须一致,即高、低压绕组产生的磁通只能相加而不能抵消,以免影响测量的速度和精度。
2.1.5短路去磁法
短路去磁法电路原理如图2-7所示

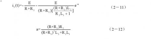
R -限流电阻,i1(t) -充电电流,R1、L1 -高压侧绕组的直流电阻和电感,
R2、L2 -低压侧绕组的直流电阻和电感,M -两侧绕组的互感,S -复频率当K闭合时,该电路的复频率通过耦合拉普拉斯变换后得到相应的等效运算电路如图2-7所示

从电源看去等效阻抗为则复频率电流方程为

则复频率电流方程为

由于变压器一、二次绕组耦合得很紧密,L1L2-M2 =0.求解该复频率电流方程,并将最终结果变换到时域,可得时域电流为:

若使(R1+R2)2L2>>100R2L1,则电流响应中的自由分量初始值远小于稳定分量,电流的变化就能忽略,则 i1(0+)=-E/(R+R1),可见,K闭合后的瞬间,充电电流发生了跳变,这正是由于电路绕组的去磁作用所致。也就是说,可以认为充电电流与时间t无关,但合闸后,一、二次绕组总磁链不变。可以看出,短路去磁法利用去磁作用达到了快速测量的目的。
上一篇:启动电流测试方案
下一篇:根据能效标准进行电源合规性测试


