- 易迪拓培训,专注于微波、射频、天线设计工程师的培养
便携式功率分析仪设计-----频率部分电路设计(二)
3.5.4频率计数电路
计数的功能是在FPGA中实现。计数电路我们采用门控计数法测,它由门控电路和计数电路构成。根据门控计数法测量原理:
- 时间、频率量的特点
频率是在时间轴上无限延伸的,因此,对频率量的测量需确定一个取样时间T,在该时间内对被测信号的周期累加计数(若计数值为N),根据fx =N/T得到频率值。为实现时间(这里指时间间隔)的数字化测量,需将被测时间按尽可能小的时间单位(称为时标)进行量化,通过累计被测时间内所包含的时间单位数(计数)得到。 - 测量原理
将需累加计数的信号(频率测量时为被测信号,时间测量时为时标信号),由一个“闸门”(主门)控制,并由一个“门控”信号控制闸门的开启(计数允许)与关闭(计数停止)。
3.5.4.1门控电路
由前文设计分析中可以看出,提高频率测量精度应该从两个方面入手,除了设置可变分频比的信号预分频方法外,适当延长频率计数模块计数时长,也可以达到提高频率测量精度的目的。所以在设计中,我们同时使用这两种方法完成频率测量设计。由于频率计数模块计数时长决定了频率测量的响应速度,为了保证测量响应速度不至于太慢,导致用户使用不便以及测量数据失去实时性,我们使用的该频率的测量是对1s门内的信号进行计数。频率是单位时间内信号的个数,故计数器得到的计数值即为信号的频率测量值。除了频率测量中的±1误差,对于测量高频信号的频率,门控信号的精度是频率测量中的关键部分,直接影响到频率的测量精度。所以,在该方案中,门控信号是由高精度的晶振分频产生,并使用温度传感器,对频率的测量进行温度校准。其门控电路在FPGA中的实现,电路如下图3-24.门控电路主要由8个10进制计数器级联对100MHz时钟进行分频。时钟频率为100MHz,则(100×10 6 /10 8)=1s,产生1秒的门控。

3.5.4.2计数电路
信号和门控信号相与。当门控选通后,信号被选通进入计数电路。由于前面的预分频电路的采用可变分频比,这里暂已1:256分频比为例,闸门时间为1秒,则对设计最高频率的信号,计数器计数23437500个脉冲,则应该设计25位的二进制计数器。将被计数时钟信号同计数使能信号,计数使能信号经非门的反转信号一起相与,并送入计数器计数时钟输入端,实现多周期同步频率计数法。同时,利用门控信号的下降沿触发D触发器,使触发器输出从低到高翻转,作为一次计数完成的标志信号,通过读取该标志,以确认一次频率测量的完成。
3.5.4.3温度传感器
影响频率计数器精度的关键是门控信号的精度。门控信号是由晶振分频得到的,晶振是决定门控信号的关键因素。晶振的误差主要是受到温度影响,导致晶振的频率的偏差。为了得到准确的门控信号,在该设计中加入温度传感器,通过获得当前晶振的环境温度,对晶振的温度进行补偿。
温度补偿选用的是Analog公司的AD7416温度传感器。它的测量温度范围为-45~125℃,精确可达到0.25℃。温度传感器内部包括传感器,10位的A/D转换器,并包括地址指针寄存器、温度值寄存器、T OTI点设置寄存器、T HYST点设置寄存器和配置寄存器等一些可编程的寄存器。通过对T OTI和T HYST设置,可以限制最高温度值。通过编程地址指针寄存器和配置寄存器可以实现对每个寄存器的控制。传感器对周围温度进行测量。A/D转换器将获得的温度值转换成数字信号存储在温度值寄存器内。如下表3-3所示,被测温度与数字输出的对应关系,读取温度值寄存器就可获得最后测得的当前环境温度。

3.5.4.4频率计数误差分析
系统频率测量误差的主要来源为:计数误差、触发误差、标准频率误差。
量化误差的产生原因是,在测频是由于标准闸门时间信号与被测信号脉冲之间没有必然的联系,他们在时间关系上是完全任意的,或者说他们在时间轴上的相对位置是随机的。这就造成了闸门开启和关闭的时间与被测信号不同步,使得在闸门开始和结束时刻有一部分时间零头没有被计算在内而造成的测量误差。

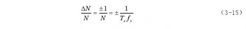
式中T s——闸门时间;
f x——被测频率;
ΔN为最大计数误差。
但是无论计数值N为多少,其最大计数误差不超过±1个计数单位。
而触发误差是由于输入信号都需经过通道电路放大、整形等,得到脉冲信号,即将输入信号转换为脉冲信号。这种转换要求只对信号幅值和波形变换,不能改变其频率。但是,若输入被测信号叠加有干扰信号,则信号的频率(周期)及相对闸门信号的触发点就可能变化。由此产生的测量误差称为“触发误差”,也称为“转换误差”。这一误差在实际设计中的影响较小。
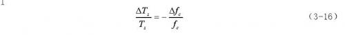
标准频率误差是因为测频时量化误差是闸门开启时间的相对误差ΔT s /T s,它决定于晶振的频率稳定度、准确度、分频电路和闸门开关速度以及稳定性等因素。在设计计数器时,尽量减小和消除整形、分频电路和闸门开关速度的影响,石英振荡器的频率为f c,分频系数为k,则

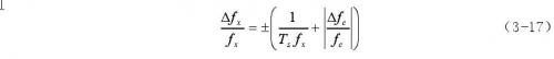
综上所述,可等到:
计数器测频率的误差主要有:计数误差、标准频率误差。一般,总误差可采用分项误差绝对值合成,即:

在实际设计中,我们采用多周期同步测频法,在很大程度上降低了量化误差。通过选用高性能高集成度的预分频器,简化频率测量电路设计,并在频率测量通道上加入适当滤波设计,减小触发误差的影响。使得系统的主要误差转成由于产生FPGA工作时钟的外部晶振造成的标准频率误差。通过选用更高精度的,更高稳定度的晶振可以提高系统频率测量的精度和稳定性。尽可能减小频率测量的误差。
3.6电源部分设计
电源是电子产品中一个组成部分,为了使电路性能稳定,往往还需要稳定电源。由于便携式电子产品是独立的,可脱离室内环境的工作的设备,所以设备必须有自己的独立供电装置,一般采用电池供电,如何使稳压电源部分性能满足电路的要求、耗电省(能延长电池的寿命)、安全性好、占空间小、重量轻是设计便携式电子产品中一个重要任务。由于各种便携式电子产品发展迅猛,因此各半导体器件厂纷纷开发出各种适合便携式电子产品要求的新型电源IC,并给出各种典型应用电路,使电源设计工作变得较为简单,即电源设计工作是根据产品的要求来选择合适的电源IC.
所以针对本课题,我们设计了一套由电池供电电路,并且仍然提供了通过直流适配器直接对仪器供电的室内供电模式。在电源IC芯片的选择上我们主要考虑以下几个依据:
- 自身工作电压和电流比较小,并且耗电量低;
- 封装尺寸小;基本所有电源部分所用芯片,均采用贴片式,减小所占空间;
- 输出电压精度高,效率高,输出纹波及噪声电压小。
所选取的涉及变压输出部分的TPS7350、MAX755等输出电压精度都在±2%左右,能够满足系统内部芯片工作需要。同时设计中,考虑到通道中各种芯片所需供电电压,并且为避免ARM以及ARM复位芯片同FPGA及通道其它芯片共用同一个数字3.3V可能出现的相互干扰,我们通过电源芯片将电池的输出电压变压为模拟±5V、数字5V、数字3.3V(提供给ARM单独使用)、数字3.3V(提供给FPGA和其他芯片数字电平使用)、数字1.5V.
电源部分具体结构如下图3-25所示,利用CD4013双D触发器,设计为本设计功率分析仪提供电源控制分为硬件开关机和软件关机两种。由触发器输出控制继电器选通电池供电或直流适配器供电。并且该电源工作状态都将被ARM程序监控,用户可通过显示屏幕了解供电情况以及电池电量情况。



