- 易迪拓培训,专注于微波、射频、天线设计工程师的培养
基于传感中低Q电感的测量
1 低Q电感测量的误差分析
对实际传感中低Q电感测量,经常碰到一些电感,虽然直流电阻不大,但由于交流损耗电阻极大,而Q值极低,有的Q值在O.5以下。在测量时,由于电感线圈Q值很低,不易使电桥达到平衡的情况下,所测得的电感数值将发生较大的误差。
(1) 常用测量电感电路一
图1为L-tgδ电桥,调节电桥达到平衡:

等式两边实数和虚数项分别相等,则:
(2) 常用测量电感电路二
图2为L-R电桥,当电桥平衡时:
(3) 常用测量电感电路三
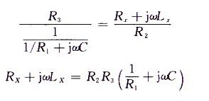
图3是一种最为常见的L-C电桥电路,这种L-C电桥的低Q收敛性较差,在测量时可能得到虚假平衡。图3 中,可调节R2和Rs,替调节R1时Rs使电桥平衡时:

他可直读Lx和Qx而称之为L-Q电桥,L-Q电桥低Q时收敛性较差。Q < O.5时就无法平衡。这是因为调节Rs时只改变桥路不平衡电压的实数部分,调节R2时则同时改变不平衡电压的实数部分和虚数部分;但低Q时,调节R2则对虚数部分的改变作用极少,因此收敛性很差。当Rs和R2的调节分辨率低时,可能给出虚假平衡而得到错误读数。
2 低
Q电感的测量方法
小电感(例如射频线圈)在任何低频电桥上进行测量都很困难,因为在测试频率(比他们的工作频率可能小数千倍)下,其值很低,这样的电感在低频时电阻成分占优势,因此需要更精确的测量步骤。
随着被测元件Q值的降低,电桥平衡与损耗平衡调节之间的互依赖愈来愈显著,也就是说电桥的收敛性愈来愈坏,因此测量频率最好在10 kHz以下进行。在这个频率下线圈的Q值约为1 kHz的10倍。
对于最为常用的L-Q电桥测量传感中的低Q值电感,采用下列办法可解决低Q测量的困难。他能给出第一次近似平衡,其精度较高。
(1)对应不同的Rs值,分别调节R2至不平衡电压为最小,求得一系列读数,取出其中对应于各次获得的最小不平衡电压中的最低者的读数,即为测试结果。
(2)可先调节Rs使不平衡电压为最小,然后左右手同时调节R2和Rs(按同一方向调节,即使之间同时增大或同时减小)以继续减小不平衡电压,调节Rs,如此反复,直至不平衡电压接近零,这样有助于收敛。
(4) 可提高Rs和Rs调节分辨率,虽然Q值测量准确度要求不高,因而相应对Rs的读数准确度要求也低,但为了求得真正的平衡,对Rs调节分辨率的要求应比其准确度的要求高得多。
3 低Q电感测量桥路
下列几种电路的低Q收敛性较好。
(1) 图4中示出的为L-R电桥,交替调节Rs,Cs使电桥平衡:

调节Rs只改变实数部分,调节Cs只改变虚数部分,因此收敛性较好。
(2) 图5示出的为R-Q电桥,图5中,可调的为Rs,Cs使电桥平衡:

调Cs只改变虚数部分,调R2却同时改变实数部分和虚数部分,但低Q时他对实数部分的作用大,因而低Q收敛性较好(但高Q收敛性则差)。缺点是不能直读Lx。
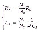
(3) 图6为采用电压变量器作比率臂的电桥。

图中T1为比率准确度高的电压变压器,电压源供给加在被测阻抗和标准阻抗。调节N2(或Cs)和N3(或Rs)使电桥平衡:
这种电桥由于可分别平衡,因而收敛性较好,但其缺点是:
① 不能直读Lx;
② 作为平衡条件的Lx关系式中包含了ω2,因此测量误差(相对误差)至少为振荡源给出的测试频率相对误差的2倍。
例如,频率相对误差为1%,Lx的测量误差至少为2%。因而限制了Lx测量的准确度。若采用晶体振荡器,则可提高Lx的测量准确度。
(4) 图7示出了采用电流变量器的电桥,他适用于测量低Q值电感。
图中T1为比率准确度高的电流变量器;T1的初级绕组(左侧)为比率绕组。当T1的比率绕组中的净磁通为零时,则次级绕组(右侧)上感应的磁通也为零,因此检测器指示为零时表明电桥达到平衡。若(Rx+jωLx)和R2均为低阻抗(该电桥只适于测量低值电感),则R1,和R2,Cs上的电压可分别取决于(Rs+jωL)和R2的大小。根据T1比率绕组磁通为零的关系可列出如下的平衡条件:

可调节N2和N3,按10倍的因数改变N1或R1,可以实现量度的改变,这种电桥由于可实现分别平衡而收敛性较好,且可直读电感,是一种很理想的低电感测量桥路。


