- 易迪拓培训,专注于微波、射频、天线设计工程师的培养
使用I-PMD进行无扰在线PMD测量
宽带需求迫使服务提供商不断升级其网络,以为客户提供速度更快、质量更佳的应用和服务。光纤网络设施上过多的色散会限制这些高速传输系统的性能和运行可靠性。一项需要测试以确保这些系统达到最优性能的基本参数是偏振模色散(PMD)。光纤链路中的PMD一直是服务提供商关注的焦点,原因在于通过它可以了解是否能够升级传输系统以支持更高比特率的信号。因此,要验证给定光纤链路是否能够支持传输速率的提升,就需要测量差分群时延(DGD)的平均值,即我们所说的PMD。
PMD的随机性对在有限波长范围内通过一次测量测定DGD均值的精度形成了基本限制。这些限制对数值很小的DGD均值影响尤为严重,而这样小的DGD均值在将链路升级为2.5、10或40Gb/s(即几个ps)时将得到更多的关注。不确定性可以通过在较长时间内进行重复测试得以改善。因此,测试仪器须能进行长期的PMD监测,以实现DGD均值的时间平均。
JDSU公司研发了一种可在现场部署的测试仪器,其采用非干扰的方法测量一段光纤链路的PMD,同时,该链路可保持正常的在线工作。该仪器分析传输信号的偏振态,通过每个传输信号中的偏振变量的频率依赖性测定光纤链路的DGD均值。
这种测试仪器不仅可用于光纤链路质量认证,还可用于排除那些表现出过高误码率的波长通道的故障。
传统的PMD测量
光纤的PMD通常是通过将专用测试信号注入链路的一端,在另一端分析所引起的以光频率为函数的偏振变化而测量得到。然后通过对各个光频率上测量到的瞬时DGD值进行平均得到链路的DGD均值。最常用的现场PMD分析仪在发射端使用一个宽谱光源,并在接收端对其进行分析(见图1)。但是,要进行这样的测量,整个光纤链路必须退出服务——数据传输要么被中断,要么被重新路由到一条备用链路上。这种传统方案仅适用于“暗”光纤链路或“无光”光纤链路。

图1:被测光纤网络必须中断服务,以便分析插入的测试信号。
传统的测试方法难以在现代ROADM网络中应用,因为测试信号的光谱分量可能被路由到许多方向。因此必须为在线链路中的PMD测量提供非干扰的测试技术,并且能够测量独立的DWDM(密集波分复用)通道(见图2)。

图2:测试信号的光谱分量可能被路由到不同地点。
DGD与等效DGD
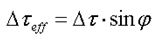
虽然光纤链路中的DGD均值一般是将各个光频率处测得的瞬时DGD取平均值获得,但其也可由固定光频率的DGD变化的时间平均值得出,或者由时间平均值和频率平均值的组合得到。此外,DGD甚至无需直接测量,而是通过测量等效DGD(DGDeff)得到。DGDeff定义为斯托克斯空间中PMD矢量分量的幅度,其与光信号的发射偏振态或偏振态(SOP)矢量正交(见图3)。

图3:各种状态的PMD与SOP矢量对比。上:当信号的发射偏振态正交于主偏振态(PSP)时,DGDeff等于瞬时DGD(Δτ);中:当发射偏振态与PMD矢量平行时,无偏振旋转,DGDeff直接消失;下:在其他情况下,若发射偏振态与PMD矢量形成角??,则DGDeff=Δτsin?。
DGDeff与DGD的关系表示为:

事实上,DGDeff表示PMD对信号损伤的极精确的测量。DGD均值与DGDeff,均值(时域和/或频域的平均)相关。人们对DGDeff,的统计分布极为了解(瑞利概率密度函数(PDF)),且其平均值与DGD均值成正比(见图4)。

图4: DGD Δτeff与DGD Δτ的统计分布。

因此,光纤链路中的DGD均值可由传输光信号中等效DGD的现场测量进行估算。
与传统技术相比,这种方法的优势在于光信号的发射偏振态可以是任意的,无需进行控制或扫描。
无扰的在线PMD测量
JDSU的I-PMD创新测试方案用于测量DWDM信号中的等效DGD并获取PMD值。其可以对在线系统中的新DWDM通道进行定性分析(测量C波段内通道的功率水平、OSNR及PMD;测试正在运行的在线网络;使用2.5/10/40Gb/s或更高速率通道中传输的在线真实信号);排除那些具有高误码率(BER)的异常光通道的故障(测量信号所经历的等效DGD;测量传输信号的带内OSNR;与测量的BER相关联);以及将DWDM系统升级至更高的比特率(对信号所经历的DGD进行长期测量;绘制每个DWDM信号的DGD随时间变化的图)。
图5为仪器的原理示意图。光纤链路中分流的光信号首先通过一个扫描偏振变换器,然后由偏振分束器(PBS)分离为两个正交偏振分量(以下我们称其为TE和TM)。

图5:JDSU无扰PMD分析仪的功能框图。
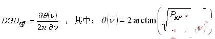
这两个分量再分别与扫描本地振荡激光器(LO)发出的输出光混合,LO在整个C波段内以超过100GHz/ms的速度及小于GHz的精度进行调节。相干差拍信号通过一对平衡光电二极管进行检测,并在电气放大和低通滤波到几百MHz带宽后,注入两个RF功率检波器,由此产生两个信号PRF-TE和PRF-TM,它们在LO激光频率?大约为几百MHz的带宽内与两个正交偏振态的光功率成正比。这两个信号在本地振荡器频率在被测信号的频谱范围内调整的过程中被记录下来。测试在偏振变换器的各种设置下重复进行。
为了测量给定信号中的等效DGD,我们选择频率扫描时出于以下考虑:在信号频谱的中心,P(RF-TE)=P(RF-TM);δP(RF-TM)/δν(和δ(RF-TE)/δν)为最大值。在这些条件下可直接计算DGDeff。用PLO表示LO的功率,θ(ν)表示变换的输入偏振态与斯托克斯空间内TE态之间的夹角,P Signal (ν)表示频率为?时信号的功率,我们得出

并且DGDeff在信号中心频率处与θ(ν)相对于θ(ν)的导数成正比,即

比特率和调制格式的独立性分析
基于相干检测技术的在线PMD分析仪提供足够的频谱分辨率,以分析比特率为2.5~40Gb/s的任意调制信号的频率相关偏振变化(见图6)。

图6:对使用不同调制格式的不同比特率信号进行在线PMD测量的示例。
测量设置与程序
称为I-PMD的测试方案安装于T-BERD/MTS 8000V2主机上。
测试设置(见图7)与相关程序非常简单。需要技术人员定义(或在检测到的通道内选择)用于测试的DWDM波长,然后按开始键。步骤为:将仪器连接到光纤链路末端的宽带分光器(分析不会中断或影响在线的真实数据流量);选择列入PMD测量的DWDM通道(可混合不同比特率和/或调制格式;若尚不清楚精确的频率,可使用自动通道检测);开始短期或长期测量分析(该装置可在任何地点远程接入和控制)。

图7:T-BERD/MTS-8000V2的I-PMD模块连接到ROADM网络的分光处。
现场试验测试结果
我们对一段414km长、在C波段内不同频率上承载19个常规10-Gb/s NRZ-OOK信号的长途传输链路进行了现场试验(见表)。

表:DWDM通道规划和相关测量。
所有信号均穿过相同光纤段。在本研究中,PMD分析仪连接到链路末端的监测器分光器上(见图8),其信号功率在-27.3与-24.6dBm之间。信号的光信噪比介于17~18dB。
在191个小时的测量时间内,仪器对19个WDM信号的DGDeff自动测量1680次,得到31920个样本,其DGDeff均值为14.8 ps。连续测量的时间间隔为5~30分钟。
图9所示为31920个DGDeff测量的统计分布,与=14.8ps时预计的瑞利概率密度函数极为相近。

图9:现场试验中测量到的31920个DGDeff值的统计分布。
因此,我们估计光纤链路中的DGD均值大约为18.84ps,与之前对同一链路进行的端到端PMD测量极为相符,分别为18.56和18.57ps.
图10所示为在测量时间内频域平均的Δτ eff值的变化,即ν(t),其与各个频率的时域平均t(ν)的变化幅度大致相同,因此表明光纤链路中的PMD波动确实很大。左图所示为作为测量时间函数的频域平均值,右图为19个WDW通道内的时域平均数据。左图中的频域平均样本的标准偏差为平均值的10.4%,右图中的时域平均样本的标准偏差为13.8%。然而图9也说明在19个WDM信号内只测量DGDeff一次不足以以大于20%的精度估计。

图10:现场试验测量到的Δτeff(&nu,t)数据的时域和频域平均值。
“非干扰的在线PMD测量技术是一项面向服务提供商、验证高速ROADM DWDM网络并排除故障的独特技术。在业务升级的规划过程中(例如10G升级到40G),PMD是一项需要测试的关键参数。这项测试在ROADMS网络中更具挑战性。这时信号被路由到多个不同方向,因而将网络关断进行测试会遇到极大的困难。因此,所有测试均应在不关断网络或不重新路由的前提下来完成,从而确保网络设施的优化并准备好用于更高比特率的系统。”JDSU的Gregory Lietaert如此说到。
本文小结
JDSU开发出了独特的无干扰在线测试技术来监测调制信号的等效DGD。它与传统的断业务式技术相比,具备类似的DGD均值评估精度。I-PMD仪器基于相干检测,具备足够的灵敏度以测量由任何网络接入点的宽带监控端口分光所得的单个通道信号。该仪器设计用于便携式现场测试,并已证明符合现场在线PMD测量与监测要求。
上一篇:耐压仪基础知识
下一篇:基于DSP的谐波测量系统


