- 易迪拓培训,专注于微波、射频、天线设计工程师的培养
基于MSP430的直流接地检测系统
直流电源系统主要负责为电力生产过程中的控制设备、保护设备等供电。绝缘性能下降和直流母线接地是直流电源系统常见的故障。一旦直流电源发生故障后,会影响控制设备和保护设备的正常工作,故障严重时甚至会导致控制设备的错误控制和保护设备的拒保护,从而引发生产事故。因此对直流电源系统的绝缘性能检测和接地检测是值得重视的问题。常见的直流接地检测系统,多采用平衡电桥原理检测母线的绝缘电阻,采用双频探测原理检测支路的绝缘电阻,并查找接地支路。但平衡电桥原理不能检测正负母线绝缘电阻等比例下降情况下的电阻值,而双频探测原理需要向系统中注入交流信号,会加大直流电源系统的纹波。本文介绍的直流接地检测系统采用“平衡-不平衡法”检测母线电压,采用漏电流传感器检测支路绝缘电阻,有效地克服了上述方法的缺陷。
直流接地检测系统主要用于测量直流系统的对地绝缘电阻、检测母线接地故障。具体检测内容包括:测量正负母线对地电压、正负母线电压差、正负母线对地绝缘电阻、各支路对地绝缘阻值。当发生接地故障时,判断接地母线的正负极性和并查找具体接地支路。
1 直流接地检测原理
1.1 直流接地检测系统工作原理
直流供电系统由于长时间在恶劣环境中工作,线路、连接器、接线端子、刀闸等会产生老化,从而导致正负母线的绝缘性能降低,对地绝缘电阻减小,产生漏电电流。漏电流的产生将会引起流入和流出用电负载的电流不一致(部分电流经过绝缘电阻流入大地)。非接触式直流漏电流传感器,能够把流入和流出传感器的直流电流差感应成直流电压。这样在每个用电负载的输入和输出线路上安装一个非接触式直流漏电流传感器,就能检测出每个用电负载或者线路的漏电流。直流接地检测系统则根据漏电流传感器的感应电压求出漏电流的大小。然后通过“平衡-不平衡法”检测出正负母线对地电压,根据母线电压和漏电流求出各个支路绝缘电阻的大小。

1.2 平衡-不平衡法绝缘电阻检测原理
平衡-不平衡检测法,通过控制开关的接通与断开,顺序往被测线路中接入不同的平衡与不平衡电阻网络,并同时测量检测点A的电压Un,根据接入的网络结构和测得的Un电压值,可以计算出母线电压和母线绝缘电阻。该方法能够有效地克服电桥平衡原理检测法不能检测正负母线绝缘电阻同比例下降的缺陷,也避免了双频探测法对直流供电系统供电纹波的影响。平衡-不平衡检测法检测流程,如图2所示。

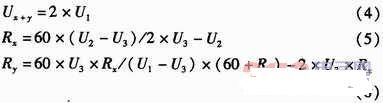
如图2所示,U+和U-为被测线路的母线供电电压,正常工作时两母线间的电压差Ux+y为440 V,且随蓄电池内阻变化。Rx,Ry分别为被测线路的正母线绝缘电阻和负母线绝缘电阻。正、负母线绝缘电阻反映的是64路的正、负支路的总体绝缘性能,等效于各个支路的正、负绝缘电阻的并联,正常时两母线绝缘电阻>20 kΩ。Ux和Uy为正负母线对地电压,大小随正负母线的绝缘电阻变化,但两母线电压差恒定为Ux+y。为了检测正负母线电压Ux,Uy,Rx,Ry,系统采用了“平衡-不平衡检测法”检测母线电压和母线绝缘电阻。计算公式如式(1)所示。
K1,K2接通,K3,K4,K5断开时,(接入平衡电桥)
K1,K2,K3,K5接通,K4断开时,(接入不平衡电桥)
K1,K2,K4,K5接通,K3断开时,(接入不平衡电桥)
联合式(1)~式(3)解方程可以求出
根据欧姆定律及分压原理可以求出
2 系统硬件设计
直流接地检测系统采用低功耗处理器MSP430F149为硬件核心,外围电路可分为数据采集模块、人机交互模块、处理器模块。数据采集模块负责检测64路支路的漏电流、母线电压、母线绝缘电阻;人机交互模块负责进行液晶显示和键盘输入;处理器模块负责协调整个系统的数据处理,数据存储,人机交互等。具体的硬件结构框图,如图3所示。 
正负母线电压检测。正母线、负母线、地线经过“平衡-不平衡”检测电桥后,由电位器对检测点A的电压进行分压,得到便于采集的低压直流信号。正负母线相对于地的电压超过了人体的安全电压,为了减少处理器与检测电桥部分的连接,系统采用压频转换器对分压后的信号进行采集。由于采用了压频转换器,只需要一根信号线,一个光电耦合器件就能够实现母线电压的检测,提高了系统的可靠性和稳定性,简化了系统设计。经过分压后的低压直流信号由电压/频率变换器AD7740转换成频率随输入电压成线性关系的方波信号。该方波信号经过光耦隔离再送处理器,避免母线的高压对操作人员造成伤害。处理器对方波信号测频,并换算成检测点A对应的电压,最后根据3次测得的A点电压及网络结构计算出母线电压和母线绝缘电阻。
64路支路漏电流检。非接触式漏电流传感器送过来的直流感应电压经过8个8选1模拟开关(CD4097)选择,形成8路直流电压信号。为了降低ADC芯片输入阻抗对测量精度的影响,用高输入阻抗的运放对该电压信号进行射随缓冲后送到A/D转换器TLC2543的8个模拟信号输入端。A-DC芯片内部自动进行通道切换,循环采集8个输入端的模拟信号,采集到的数据通过SPI串行通信总线送处理器MSP430F149。
人机交互模块分为LCD显示和矩阵键盘。LCD也为串行SPI接口,与ADC芯片共用一个SPI接口,通过I/O口片选区分。LCD主要用于循环显示当前的正负母线电压,正负母线绝缘电阻,当前的时间,绝缘电阻异常的支路号。键盘采用4个I/O接口对2×2的矩阵键盘进行扫描,用于输入绝缘电阻报警的上下限。母线电压报警的上下限,选择需要查看的存储数据。
处理器模块分为数据存储,实时日历钟,系统复位,系统供电,JTAG调试接口等。当系统的母线电压或者绝缘电阻异常时,仪器将会自动记录当前的母线电压,母线绝缘电阻,异常的支路号和当前的故障发生日期,并将其存储到EEPROM中,以便日后查询使用。实时日历钟芯片用于提供发生故障异常的时间记录来源,并可供日常显示。
3 系统软件设计
本系统采用了MSP430F149处理器作为系统控制中心,在软件设计中利用了该单片机数据存储器大的优点,便于对64路漏电流传感器采集的数据、母线电压和母线绝缘电阻数据进行存储和处理。主程序中首先完成的是各个模块的初始化,主要包括液晶显示器初始化、模拟切换开关初始化、模数转换器初始化。为了确保系统工作的可靠性,系统在上电后首先进行自检,保证系统中的各个部分硬件电路正常后,将会自动进入直流接地检测状态,否则显示自检失败信息提示操作人员。
整个程序的编写均由C语言完成,在程序设计中,采用了结构化程序设计方法,使各个模块程序相对独立,便于程序代码的维护、移植和升级。同时,这样分离式的程序设计,降低了代码的调试难度,缩短了调试周期。将与接地故障信息(如母线电压,母线绝缘电阻,支路绝缘电阻,接地支路号等)密切相关的数据放在一个结构体里,便于掉电存储与回放显示。系统的主程序流程图,如图4所示。
4 实验数据分析
为了达到好的测试效果,A/D采集必须达到一定的测试精度,图5是A/D采集的实测数据和测试误差分析曲线,从图中可以看出,A/D采集的误差约20 mV,属于正常范围,因为系统采用8位A/D,5 V基准电压。这个采样精度满足整体的设计要求。
在实验环境中,采用110 V的稳压直流电源模拟蓄电池直接供电,可知U1=110 V,采用一组电阻分别关联在正负母线与地线之间,模拟正负母线的绝缘电阻,其中1~4组模拟正负母线均接地的情况,第5组模拟无母线接地的情况,第6、7组模拟负母线接地的情况,第8、9组模拟正母线接地的情况,测试结果如表1所示。

由1~5组可知,当绝缘电阻大时,测试相对误差略有增大,这是因为采样A/D的输入阻抗较小,因此当测试电阻较大时造成误差相对大些。另外,当负母线的绝缘电阻<30 kΩ、负母线绝缘电阻正常时,前者的测量效果差些。因为此时实际测得的电压U2和U3都较小,A/D采样的相对误差大一些,所以电阻的误差也大一些。不过远好于平衡桥法无法发现两点接地的情况,可以正却发现接地。绝缘检测的环境下,只要绝缘电阻>20 kΩ即认为绝缘良好,因此对于绝缘检测的应用环境,本系统能够比较精确的测试各路的绝缘电阻,完全满足应用环境的需要。
5 结束语
文中所介绍的直流接地检测系统和绝缘的电阻检测技术,不论何种形式的绝缘电阻,均能得出相对精确的测试结果,很好地解决了传统的平衡电桥检测法及双频探测法所存在的问题。这一方案不仅可应用于发电厂、变电站的直流系统绝缘监测,同样可应用于铁道部门、电信部门的直流系统绝缘监测和接地检测。


