- 易迪拓培训,专注于微波、射频、天线设计工程师的培养
路面破损图像实时检测方法研究
1 引言
高等级公路建设快速发展,路面质量监控体系完善,则要求高的检测水平。车辆在高等级公路行驶时,对路面的平整度、完好率要求很高,当路面出现裂缝等损坏时,应及时维修。目前国内检测高等级公路路况的手段主要是人工检测,不但劳动强度大、检测速度慢,而且十分危险。随着高速大容量数据传输及图像处理与模式识别技术的发展,使得路面破损实时检测成为可能。国外已有许多学者致力于该领域研究,国内相关领域的学者也在开展这方面的研究工作。对车载实时采集的路面图像进行特征分析和处理,对存在裂纹的路面图像提取裂纹信息,实时处理路面图像。实验结果表明,该方法对路面破损状况的检测快速准确,具有广阔的应用前景。
2 路面图像处理
2.1 去模糊处理
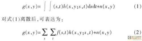
利用CCD摄像机采集图像时,携载摄像机的车辆处于高速运动状态,由于拍摄的路面和摄像机之间的相对运动,导致所获取的路面图像存在模糊现象。因此在图像分析处理前,必须对其去模糊处理。模糊的二维图像可模型化为:
g(x,y),f(s,t),n(x,y)分别表示模糊图像、原图像及噪声。对式(2)进行傅里叶变换后,利用维纳滤波方法进行高通滤波,将产生模糊的低频信息滤除掉,只保留高频图像信息,则可得到去模糊后的图像。
2.2 路面裂纹特征及其度量
一般情况下,路面裂纹在图像上主要表现为:
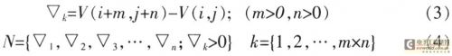
(1)非负性 与周同非裂纹像素相比,裂纹位置的像素灰度值明显低于背景像素灰度值,针对此特征定义其度量公式为:
式中,V(i,j)为当前像素灰度,V(i+m,j+n)为以当前像素为中心设定窗口内的邻域像素灰度值。当满足▽k>0时的非负个数N作为其中的裂纹像素的主要特征判断标准。
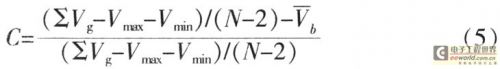
(2)对比度特征 裂纹像素与其周围的非裂纹区域存在明显的对比度关系,将其对比度定义为:
式中,Vb为连续裂纹像素区域灰度平均值,Vg、Vmax和Vmin分别为其邻域非裂纹像素区域灰值及最大灰度值和最小灰度值,N为邻域非裂纹区域像素个数,C为裂纹区域与非裂纹区域的对比度。
(3)路面裂纹的纹理特征 裂纹在窗口区域中表现为连续的、共线的且具有相近灰度值的像素区域,可将裂纹的这种特征描述为基于灰值相似性分布基础上的纹理特征。可描述为:
式中,i,j为像素坐标,P(i-j)为该窗口区域的灰度共生矩阵,若P(i-j)中小的元素接近矩阵主对角线,则表明该窗口中的近邻元素有较大的反差,表明存在裂纹区域。
2.3 特征的快速提取方法
根据上述主要裂纹特征及其度量,这里提出一种基于像素灰度值比较进行裂纹特征量提取的快速扫描方法。
①以图像中心(i,j)为起点,考查其8个邻域点在原图中的灰度信息。若其满足某一灰度特征信息,赋值为255;否则赋0:以1个单位为起始步长(step=1),按照逆时针方向旋转开始扫描;②每改变一次方向时其方向码值增加2个单位方向,每改变两次方向时其步长值增加1个单位。因8个邻域中已赋值的点有4个(转折点处只有3个),故只需比较已赋值的点;③如图1所示,当扫描到(i0,J0)时,将当前点在原图中的灰度值与4个邻域在原图中的灰度值相比较。若与4个邻域中值为255的点在原图中的灰度值相似时,当前点赋为255,下一步执行⑤;若与4邻域中值为0的点在原图中的灰度值相似,当前点赋为0,下一步执行⑤;若与它们都不相似,则执行④操作;④判断其8个邻域点在原图中的灰度信息。若其满足某一灰度特征信息,将其值赋为255;否则赋为0;执行下一步;⑤重复②③操作,直至遍历整幅图像为止。
2.4 特征分析与处理
3 结果与分析
利用该方法处理实时采集的高速路面图像,如图2、图3所示。图2a为采集的路面单裂纹图像,其大小为512×384(文中图像缩小到1/3),图2b为对图2a的裂纹特征提取结果,含有较多的非裂纹像素,通过特征分析对图2b进行虚假裂纹剔除后并进行裂纹跟踪的结果见图2c。图3a为多裂纹路面图像,对其进行裂纹特征提取的结果见图3b,图3c为通过特征分析对图3b进行虚假裂纹剔除后跟踪的结果。从实验结果可以看出,该方法准确完整地提取出了路面裂纹,没有受到路面标记的影响。
4 结语
提出一种路面破损图像实时检测方法。先对路面裂纹图像进行去模糊处理和裂纹特征分析,在此基础上,提出快速方法提取裂纹,对提取出的裂纹图像进行特征处理后,用参数描述裂纹的矢量信息和几何特性。对大量采集的路面图像进行处理。结果表明,该检测方法能正确快速提取路面图像的裂纹信息,具有较强的鲁棒性和实用性。
上一篇:基于FPGA的存储测试系统
下一篇:小尺寸集成电路CDM测试


