- 易迪拓培训,专注于微波、射频、天线设计工程师的培养
基于网络分析仪实现长延时器件的测量
光纤长延时器件的特点与应用
光纤通信在数字通信领域已得到相当广泛的应用,且得到了快速的发展。由于光纤通讯具有带宽宽、损耗低、抗干扰、保密性好、重量轻、性能价格比高等优点,近年来通过光纤传输模拟信号特别是微波射频信号在国际上研究十分活跃。
在电子学系统中,常常需要对数字信号和模拟信号进行一系列处理,例如进行脉冲编码、解码、滤波、进行相关卷积运算及作A/D变换等。过去常用的方法除电子学方法外,还应用了声表面波电荷耦合器件(SAW CCD)以及同轴电缆等,但是随着信号工作频率与带宽的提高,特别是在微波频段,这些方法就显得无能为力了。由光纤及其相应的光电子器件构成的光纤延迟线不仅能完成上述信号处理功能,而且在某些方面比新发展的静磁波与超导延迟线还优越。此外,光纤除可以用作信息传输与传感之外,还有一个很重要的应用就是进行频域和时域的信号处理,其中,最典型的应用是将光纤作为延迟线。
微波光纤延迟线主要用于传输微波模拟信号,该系统可以用于相控阵雷达主仓和分仓之间,多基地雷达之间,舰艇、飞机、操作室和炮火控制台的模拟信号传输。在电子系统中,采用光纤传输微波模拟信号,可以使雷达,通信导航识别,电子战信号经传输更好地显示与控制,减轻重量,增大容量,屏蔽干扰,大大提高系统的可靠性。
网络分析仪系统结构
要想获取高精度的测量结果,必须非常清楚地理解网络分析仪的系统结构。安捷伦矢量网络分析仪VNA的系统结构如图1所示。

图1 VNA网络分析仪的结构图
前向测量时,B为测试接收机,A为反射接收机,R1为参考接收机;反向测量时,A为测试接收机,B为反射接收机,R2为参考接收机。
四个S参数定义如下:
前向:S11=A/R1 S21=B/R1 反向:S22=B/R2 S12=A/R2
对于长延时器件常常需要测量其衰减和电延时,电延时是相位相关的,即测量S21的幅度信息和相位信息,因此我们只需要关心B接收机和R1接收机。
长延时器件S21的幅度测量时问题分析以及解决方案[next]
长延时器件测量连接如图2所示。

图2 测试连接
当测量S21的幅度时,幅度相应看起来非常低,甚至会有一些跳变。此时,如果你增加扫描时间,你会发现测试结果会变得准确一些。很显然,问题是由于网络分析仪扫描速度太快导致,但是为什么快的扫描速度会引起较差的测试结果?
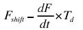
我们测量长延时器件的S21时,VNA的扫描类型是线性频率扫描,也就是频率随着时间扫描,因此被测件(DUT)的时延会引起输出频率对输入频率有一个频率偏移,频率偏移是由VNA的扫描速率和DUT的时延共同决定:

其中Td为被测件电子延时
由图2可以看出,DUT的输出信号到达B接收机,依据VNA的工作原理,B接收机被调谐到DUT输入信号的频率,因此DUT输出信号的频率与B接收机的工作频率相差Fshift。最终导致接收机的中频信号并不是在中频滤波器的中心位置,滤波器的裙边会对DUT的输出信号有一些衰减。因此,扫描速率越快,频率偏移越大,S21的幅度下降越严重。如果扫描频率跨越几个VNA频带,S21幅度可能会有跳变现象,因此VNA需要在不同的频带内设置不同的扫描速率,但是对于每个频带可以设置相同的较慢的扫描速率。
当你测量长延时器件的S21幅度时,如果发现测试结果不正确,建议几种如下解决方案
·降低VNA的扫描速度,直到S21幅度稳定。
·使用“Stepped Sweep”步进扫描模式,设置每个频点的驻留时间。
·在参考通道,增加一个足够长的电缆,让这个电缆来匹配DUT的时延,但是这个方案会给校准带来一些麻烦。
长延时器件的电延时测量问题分析与解决方案
很多工程师都知道安捷轮的VNA网络分析仪具有群时延的测量功能,但是很少有人能够准确地测量出长延时器件的电子延时,甚至有时候测量的群时延为负值。针对这一问题,笔者向大家提供三种测试方案。
电子延时补偿等效法
首先,设置S21的显示格式为Unwrapped Phase,然后调整VNA的Electric Delay进行补偿,直到S21的相位轨迹曲线变得非常平坦。调整时,请注意当曲线的斜率为正值时,说明过补偿。最终的补偿值为被测器件的电子延时长度。
群时延法

群时延的定义如下:

图3 群时延的图像化表示
图3所示的Average Delay代表DUT的电子长度或电延时,Group Delay Ripple代表DUT的相位失真。群时延计算的前提条件是要保证任意两点之间的相位差小于180度,否则出现相位反转,相位反转的典型现象是群时延为负值。避免两点之间相位反转,须保证以下不等式成立:
ΔΦ = -360×Δf×t0<180°
Δf =测量带宽/(扫描点数-1)
t0 为被测件的电子长度
针对长延时器件,要想满足以上不等式,需要增加扫描点数和减少扫描带宽。测量时,设置S21的显示格式为Group Delay,图4给出群时延方法的测量结果,DUT的平均群时延为247.776微秒。

图4 群时延方法的测量结果
电延时补偿等效法与群时延法相结合
这种方法结合电子延时补偿等效法与群时延法,首先在VNA里设置Electric Delay为一个估计值,例如在图4中可以估测电子延时为247.7微秒(这个值可以根据被测件的物理长度,介电常数和光速大约计算出来;这里也可以估算为240微秒),然后测量其群时延。测量结果如图5所示,平均群时延为75.9纳秒。如果过补偿,会导致测量结果为负值,不过不影响最终测量结果。最终测量结果为补偿值加上测量值,因此最终测量结果为247.7759微秒。

图5 电子延时补偿法与群时法相结合的测量结果
结语
在测量长延时器件时,由于VNA扫描速度太快,导致传输系数S21幅度测量不准确。群时延测量不准确的原因是由于扫描相邻两点之间的相位差大于180度,从而导致相位翻转。正确合理地设置VNA网络分析仪,准确地测量长延时器件就不会那么复杂了。


