- 易迪拓培训,专注于微波、射频、天线设计工程师的培养
地海杂波测试控制平台的设计
地海杂波是地表平面,海平面反射的雷达回波,由于受到风力,环境湿度等多种自然因素的影响,地海杂波信号变化复杂,信号强。它的存在严重干扰了雷达对地面,海面目标的检测性能。为了提高雷达的检测性能,要采用地海杂波测试控制平台来实现对地海杂波的检测。这样可以有效检测地海杂波信号,从而掌握各种条件下地海杂波的分部,以便消除或者减小杂波的影响。该测试平台由天线,天线座以及伺服控制系统3部分组成。
1 椭圆波束偏置抛物面天线设计
1.1 天线参数设计
在该系统中的天线部分使用偏置抛物面天线。偏置抛物面天线是指利用常规抛物面天线在其焦轴上(或下)半空间的一部分为天线主反射面的天线,如图1所示。图1中:V是抛物面的顶点,F是抛物面的焦点,V到F是抛物面的焦距,用f表示,h是静距,θh是静距角,θo=θh+θα是偏置角,θα是馈源对偏置抛物面的半照射角,XOZ平面是偏置抛物面的对称平面,YOZ平面是其非对称平面。



根据实际地海杂波信号情况,天线使用频率带宽为14.93%,馈源对偏置抛物面的照射角为79.6°。可以采用的馈源有波纹喇叭和多模喇叭,由于L波段频率低,波长224mm,若采用波纹喇叭则尺寸和重量过大,因此采用多模喇叭。多模喇叭的双极化馈电长度为200 mm,多模传输段长1 1993 mm,总长1 400 mm。天线方位半功率角为6.3°;俯仰半功率角为7.8°;增益G=27.4 dB。
1.2 天线干扰因素
天线在工作过程中,存在有干扰。收、发天线并排紧靠一起,辐射耦合不仅存在于两天线之间,在设备的机壳,机壳的孔洞,传输线及元件之间都可能存在,综合起来主要有3种不同的干扰途径:1)收、发天线之间的辐射干扰;2)元件或机壳间的辐射干扰;3)传输线之间的辐射干扰。除此之外,周边反射体的干扰也会影响天线的性能。但是天线之间的辐射干扰是主要干扰途径。 天线之间的近场耦合计算是一个比较复杂的电磁场问题,因此本文只做定性的分析。假设两天线彼此位于远场区,即天线间距,两个天线的最大口径为2.5 m,中心频率波长为0.224 m;通过计算得到天线间距为58 m,在实际工程中,两个天线之间的距离是不可能达到58 m的,由于天线的旋转半径为3 m,两天线中心距离6 m,即两天线处于近场区,天线的馈源对另一天线的干扰将起到明显作用,隔离这项干扰最有效的办法是在天线周边加上导电围边,当围边的高度为波长的5.3倍时,天线远旁瓣可降低13 dB,两天线的隔离可达到80 dB左右,围边的实际高度为1.2 m。
2 天线座设计
2.1 天线座结构设计
天线座设计采用方位,俯仰型转台式结构。由方位座、俯仰箱驱动系统、轴角装置、限位保护装置、调平装置、配重等部分组成,如图3所示。方位部分由底座、转盘、转盘轴承等组成,转盘式具有较好的刚性和稳定性,转盘轴承直接带有蜗轮,保证了方位驱动刚性。底座、转盘均为钢板焊接件,为保证-13.5°仰角工作,方位上增加一个支座以提高俯仰轴高度。俯仰由俯仰箱左右轴承、俯仰轴和左右支臂组成,俯仰箱为铸件,左右支臂与俯仰轴同步转动,其上端与天线联接,后端放置配重,用于平衡天线重量,在左右支臂上端增加过渡件,即可与其他天线联接。对于驱动系统目前在工程中广泛采用丝杆驱动方式,但本系统的天线座设计并未考虑采用,主要原因有2个:1)由于工作环境比较恶劣,对于天线的速度均匀性要求比较高,而丝杆驱动在工作范围内速度是不均匀的,测试平台要求天线转动速度约为6(°)/s,该速度用丝杆方式实现比较困难;2)丝杆转动效率低,在要求较大风速条件下工作,电机功率比较大。针对实际情况,该驱动系统选择采用蜗轮付加行星减速器方式,为了减少体积和重量蜗轮采用包络面型式,这种型式具有较大的负载能力,行星减速器具有体积少、重量轻、效率高等优点。采用涡轮驱动的方式,电机功率约550 W。

轴角传感器采用旋变、俯仰旋变1:1与俯仰轴联接,方位通过齿轮联接,为消除齿隙传动齿轮采用双片消隙。天线座中安装有限位开关和机械限位块,以保证设备安全,限位开关采用无接触接近开关,以适应恶劣海边环境,系统采用蜗轮驱动具有自锁性,所以朝天锁定可利用其本身自锁性能。
3 伺服控制系统设计
3.1 伺服控制原理
地海杂波测试控制平台由两副天线,天线座,伺服控制系统组成。两幅天线采用独立天线座,左右并排放置,两幅天线的转动可以独立控制。伺服控制原理框图,如图4所示。驱动链采用一级涡轮涡杆传动,使其具有自锁功能,以阻止由于风负载使天线转动。采用步进电机驱动(配套驱动器)的驱动方式,旋转变压器轴角传感器;12位RDC模块的轴角编码;轴角及状态参数显示采用液晶显示,专用控制计算机PC-104及配套卡。计算机采集到轴角数据并送给显示屏,通过键盘实现对天线方位,俯仰的转动控制。伺服控制系统接收中心计算机的远程控制信息以及向中心计算机传送相关的参数信息,并接收限位信息,实现对天线的限位保护。限位保护采用电限位方式,在俯仰上安装上、下限位开关,在方位上安装左、右开关,以实现对天线的限位保护。

3.2 伺服控制系统实现
中心控制芯片采用单片机C8051F020,该单片机具有集成度高,功能多的优点,广泛应用于控制电路。图5所示为单片机与PC104的串行接口原理图,PC104的串行口与电平转换器接口连接,信号输入输出通过电平转换器片与单片机串口连接。为了提高系统的抗干扰性能,PC 104与单片机之间使用了高速光耦元件6N137,将CPU与通信接口隔离,防止串入式干扰。

本系统中的RDC模块采用AD2S80,可以实现10、12、14、16位4种不同的分辨率,通过SC1和SC2引脚进行选择。综合考虑转换精度和跟踪速率,本系统中选择了12位的分辨率。在工作时,旋转变压器产生的正弦和余弦信号分别接入对应的正弦输入和余弦输入引脚,转换得到的12位的数字信息直接传送给中心控制芯片。AD2S8OA及其外围电路如图6所示。

4 性能指标及工作原理
4.1 性能指标
天线转动范围为俯仰:-13°~90°,方位:±170°;天线转动方式为自动电控;波束指向精度为俯仰:±0.1°,方位:±0.1°;限位保护具有限位保护功能。接口为伺服控制计算机传送相关参数信息,该接口采用RS232串口。
4.2 工作原理
根据测定范围的要求,确定天线指向的变化,伺服控制系统的主要任务是确保天线指向的稳定性,同时通过改变天线的俯角和仰角实时的检测杂波信号。由于杂波信号的不确定性,准确稳定的确定天线的指向至关重要,因此控制系统中有两个闭环回路:俯仰控制环路和方位控制环路。
在俯仰控制环路中,引入了水平基准。水平基准对俯仰方向的倾斜角非常敏感,从而确保与俯仰轴成垂直关系,进一步提高了俯仰控制的准确性,实现俯仰指令角的定向控制。
在方位控制环路中,引入方位基准。方位基准对天线平台的方位非常敏感,从而实现方位指令角的定向控制。根据本系统的要求,伺服控制设备要具有自动定位目标范围的功能,该任务由计算机控制完成。将俯仰角和方位角输入计算机,计算机根据输入参数从而确定天线的指向。
5 指向精度分析
在系统测试过程中发现由于制作工艺,伺服系统的固有误差造成指向精度发生偏差,主要误差源及数值通过测试得出,如表1所示。

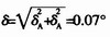
由表1可知总指向误差(均方根值):

按方位、俯仰等误差计算,得波束指向精度
。
通过对总指向误差,波束指向精度等相关参数的测试与计算,误差值在可控误差的范围内,系统符合使用要求。
6 结论
文中采用偏置抛物面天线,伺服控制系统设计了地海杂波测试控制平台,实现了复杂情况下,地海杂波的检测,对消除或者减小杂波的影响,提高雷达的抗干扰能力提供了依据。该平台提高了工作的时效性,它的推广应用具有较为重要的意义。
上一篇:视频监控中分布式存储技术方案
下一篇:MF-TDMA卫星通信网络仿真测试研究


