- 易迪拓培训,专注于微波、射频、天线设计工程师的培养
软件定义仪器的数字化前端和ADC 的等效分辨率
为了给软件定义仪器中的数字化前端的设计和选择提供依据,提出了ADC 等效分辨率的概念。结合过采样技术和香农限带高斯白噪声信道的容量公式推导出了等效分辨率的公式,并以测量心电信号为例,采样速率为400SPS、ADC 参考电压为2.5 V 时,选用等效分辨率为26 位的ADC。经实例证明,等效分辨率为ADC 的性能*估和软件定义仪器中的数字化前端的选择提供了一个重要参数,也为选择软件定义仪器提供了一个简明的指标,有着一定的指导意义。
测试仪器在人类进步史上的作用不言而喻,其发展经历了漫长的过程,传统测试仪器结构简单,功能单一,主要依靠手工测试,工作效率较低。伴随着现代工业革命浪潮出现的现代测试仪器,集计算机软硬件技术、通信技术、自动测试(ATE)技术于一身,大大提高了测试的速度和准确度,但这些仪器主要由硬件构成,其所有功能都在出厂前以硬件的形式固化下来,用户很难对其功能做出改变,且仪器难以升级换代,开发研制周期长,经费投入大。文献[5]提出的软件定义仪器是一种基于 SoC(System on Chip,单片系统)技术,尽可能用数字信号处理取代模拟信号处理和用户可以方便定义与修改仪器功能的仪器,为新一代的仪器设计提出了新的思路。因此,这里提出一种软件定义仪器,详细介绍了该仪器的数字化前端和ADC 的等效分辨率。
1 软件定义仪器
现代仪器一般都采用微处理器作为其核心控制器件,微处理器只能处理数字信号,而待测信号多为模拟信号。通常采用的方法是将被测信号模拟放大、滤波,使其信号的输出动态范围与参考电压相适应, 以满足所需要的分辨率,并抑制噪声。在仪器仪表的研发中,模拟电路部分(传感器接口电路+放大滤波)和数字部分是最为重要的两个部分,又是各个整机厂“各自”研发、投入最大、重复最多的两个部分。软件仪器的一般结构如图1 所示。

为使被测量经过传感器后直接进行A/D 转换,再进行数字信号处理,就要求ADC 尽量靠近传感器,使接收到的足够幅度的模拟信号尽早地数字化,接下来的工作就是由软件和数字化硬件实现仪器功能的定义与修改。可见软件定义仪器是用A/D 转换的高分辨率换取了信号的增益,而用采样速度来换取A/D 转换的分辨率,A/D 转换的精度是仪器功能由软件定义的基础。
软件定义仪器的理念会为仪器的研发和生产带来极大的便利,免去了很多重复性工作,也给使用者以很大的灵活空间。软件定义仪器的基础是尽可能减少模拟电路。采用ADC 的分辨率换取模拟放大器的增益不仅可以降低成本、简化电路、提高抗干扰性能和动态范围,还能提高仪器的灵活性和精度。
在通信市场中,由于新的通信标准发展迅速,经常需要新的信号源和测量功能,所以带来了很大的挑战,为了跟上标准的发展速度,测试仪器供应商通过软件定义无线电技术来缩短仪器开发时间。在软件定义无线电技术中,ADC 的参数选择中已经讨论,而本文根据香农定理,结合过采样技术,提出了针对所有市场测试仪器中软件定义仪器的ADC 参数统一选择的问题,即模数转换器的等效分辨率的概念, 为软件定义仪器的数字化前端设计和ADC 的选择提供一个简明的指标,从而为选择ADC 带来方便。
2 ADC 的等效分辨率
软件定义仪器中的数字化前端可以有3 种途径:1)采用数字化传感器,将模拟信号直接转化为数字信号传入微处理器,这一点在文献[5]中已经做了详细的阐述,本文不做讨论;2)可通过高分辨率的ADC,如Σ-Δ 型ADC,过采样Σ-Δ 技术使之实现高达24 位高分辨率的A/D 转换, 但由于这一技术的原理限制, 使得真正达到24 位分辨率时的转换速度很低,这个缺陷使这一高精度高分辨率的模数转换器只能用于低频信号的测量;3)采用高速中分辨率的ADC,通过过采样将速度转化为精度,这种方法已广泛用于通信领域,在测量领域上也开始引起注意,但现有文献没有提及如何选择合适的模数转换器。
2.1 过采样
根据奈奎斯特定理,采样频率fs应为2 倍以上所要的输入有用信号频率fu,即

就能够从采样后的数据中无失真地恢复出原来的信号,而过采样是在奈奎斯特频率的基础上将采样频率提高一个过采样系数,即以采样频率为kfs(k 为过采样系数)对连续信号进行采样。ADC 的噪声来源主要是量化噪声,模拟信号的量化带来了量化噪声,理想的最大量化噪声为±0.5 LSB;还可以在频域分心量化噪声,ADC 转换的位数决定信噪比, 也就是说提高信噪比可以提高ADC 转换精度。信噪比RSN(Signal to Noise RaTIo)指信号均方值与其他频率分量(不包括直流和谐波) 均方根的比值, 信噪比RSINAD (Signal to Noise and Distortion)指信号均方根和其他频率分量(包括谐波但不包括直流)均方根的比值,所以RSINAD比RSN要小。
对于理想的ADC 和幅度变化缓慢的输入信号, 量化噪声不能看作为白噪声,但是为了利用白噪声的理论,在输入信号上叠加一个连续变化的信号,这时利用过采样技术提高信噪比,即过采样后信号和噪声功率不发生改变,但是噪声功率分布频带展宽,通过下抽取滤波后,噪声功率减小,达到提高信噪比的效果,从而提高ADC 的分辨率。
Σ-Δ 型ADC 实际采用的是过采样技术,以高速抽样率来换取高位量化,即以速度来换取精度的方案。与一般ADC不同,Σ-Δ 型ADC 不是根据抽样数据的每一个样值的大小量化编码,而是根据前一个量值与后一量值的差值即所谓的增量来进行量化编码。Σ-Δ 型ADC 由模拟Σ-Δ 调制器和数字抽取滤波器组成, Σ-Δ 调制器以极高的抽样频率对输入模拟信号进行抽样, 并对两个抽样之间的差值进行低位量化,得到用低位数码表示的Σ-Δ 码流,然后将这种Σ-Δ 码送给第2 部分的数字抽取滤波器进行抽样滤波,从而得到高分辨率的线性脉冲编码调制的数字信号。
然而,Σ-Δ 型ADC 在原理上,过采样率受到限制,不可无限制提高,从而使得真正达到高分辨率时的采样速率只有几赫兹到几十赫兹,使之只能用于低频信号的测量。
高速中分辨率的ADC 用过采样产生等效分辨率和Σ-Δ型ADC 的高分辨率在原理上基本是一样的, 因此本文在归一化条件下提出的ADC 等效分辨率公式既可以作为*估数字化前端ADC 的一个通用性能参数, 又可作为ADC 选用的参考依据。
2.2 ADC 等效分辨率
与输入信号一起,叠加的噪声信号在有用的测量频带内(小于fs/2 的频率成分)即带内噪声产生的能量谱密度为:
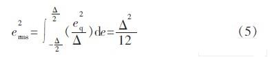
式中,erms为平均噪声功率;E(f)为能量谱密度(ESD)。两个相邻的ADC 码之间的距离决定量化误差的大小,有相邻ADC 码之间的距离表达式为:

设噪声近似为均匀分布的白噪声,则方差为平均噪声功率,表达式为:

用过采样比[OSR]表示采样频率与奈奎斯特采样频率之间的关系,其定义为:

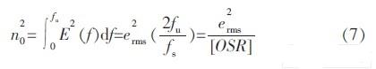
如果噪声为白噪声,则低通滤波器输出端的带内噪声功率为:

式中,n0为滤波器输出的噪声功率。
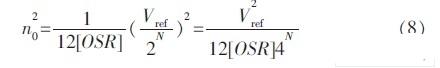
由式(3)、式(5)、式(7)可推出噪声功率[OSR]和分辨率的函数,表示为:

为得到最佳的[RSN],输入信号的动态范围必须与参考电压Vref相适应。假设输入信号为一个满幅的正弦波,其有效值为:

当[OSR]=1 时,为未进行过采样的信噪比,可见过采样技术增加的信噪比为:

香农限带高斯白噪声信道的容量公式为:

其中,W 为带宽。
式(13)描述了有限带宽、有随机热噪声、信道最大传输速率与信道带宽信号噪声功率比之间的关系, 式(13) 可变为:

式(14)用来描述系统单位带宽的容量,单位为b/(s·Hz)。将式(10)代入式(14)中,得:

其中,fs为归一化频率下的采样速率。
综上可知, 在已知ADC 归一化采样频率后便可根据等效分辨率式(17),得到ADC 所能提供的最大等效分辨率,以指导正确选择和有效利用ADC, 充分利用其速度换取分辨率,分辨率进一步可以换取信号增益,足够高的分辨率可以代替信号的模拟放大电路,从而简化软件仪器的数字化前端设计,方便仪器功能的软件定义。
3 等效分辨率的应用
3.1 ADC 的选择
表1 为10 款ADC 的参数和由式(17)计算出的等效分辨率。由表1 可知,No.10 的等效分辨率最高,因此,仅从等效分辨率来看AD7739 是设计数字化前端的最优选择, 但考虑其采样速率较低,No.6 和No.8 也可以作为优选的型号。总而言之, 选择ADC 时主要参考其等效分辨率和采样速率这两个参数,No.6、No.8 和No.10 均在考虑之列, 其中前二者采样速率较高,适用于中、高频信号;后者采样速率较低,只能用于低频信号的测量。

3.2 数字化前端的设计
选择ADC 设计软件定义仪器的数字化前端不仅要考虑ADC 的性能,还要兼顾控制器的运算能力问题。对于中、高频信号的测量要选用ADS5547 和AD9460-80 型ADC,其采样速率分别为200 MSPS 和80 MSPS。为了与采样速率相匹配, 信号处理核心模块一般选用FPGA、DSP 或ARM 等高速微处理器;而对于低频信号并选用AD7739 型ADC 时,由于其采样速率只有15 kSPS, 因此信号处理核心模块可选用低档单片机。
3.3 用户选择软件定义仪器
用户选用软件仪器时,可以依据实际应用所需的等效分辨率和信号带宽来选择软件仪器。以测量心电信号为例,其幅值一般为1 mV,带宽75 Hz(采样速率为400 SPS),分辨率一般要求10 位。在ADC 参考电Vref=2.5 V,则补偿增益所要求的分辨率约为11 位,因此,要求软件定义仪器的等效分辨率为21 位。
为了保证实现测试的效果, 一般要求分辨率有一定余量。对照表1,同时满足等效分辨率和采样速率要求的ADC有ADS5547、AD9460-80、AD7631 和AD7739,但从控制器机时和数据处理量等方面综合考虑,AD7739 最为合适。其等效分辨率为26 位,可达到规定的测量精度;其采样速率适于测量低频信号,且满足奈奎斯特定理;信号处理模块可选用如单片机、低速ARM 等微处理器,数据处理量相对较小,实时性高,适于低频生理信号的测量与处理。
4 结束语
软件仪器中的数字化前端的设计核心是让ADC 尽可能的靠近传感器,其目的是让待测信号尽快数字化,是用ADC的采样速率换取高分辨率, 用高分辨率换取待测信号的增益,这为仪器功能的软件定义提供了基础,提高仪器的灵活性和稳定性。本文讨论了软件定义仪器中的数字化前端的具体设计方法,结合过采样技术和香农限带高斯白噪声信道的容量公式推导出了等效分辨率公式。本文结合实例,从不同层面出发,应用等效分辨率概念,明确指导了ADC 的选择、软件定义仪器中数字化前端的选择和用户对软件定义仪器的选择。
因此, 等效分辨率为ADC 的性能*估和软件定义仪器中的数字化前端的选择提供了一个重要参数,也为选择软件定义仪器提供了一个简明的指标,有着一定的指导意义。
上一篇:广播电视常用的数字视频编码技术
下一篇:半导体功能测试基础术语


