- 易迪拓培训,专注于微波、射频、天线设计工程师的培养
RFID读写器接收机基带数字信号处理研究
1 引言
超高频RFID系统空中接口标准包括ISO/IEC系列,F2C系列,以及中国正在研究制定的国家标准,数字接收机可实现软件升级和多协议支持,相比模拟接收机具备易于调试、应用灵活的优势,因而在超高频姗读写器中得到了广泛应用.提高超高频RFID读写器的读取效果一直是近年来的研究重点.在经过详尽分析和实验验证后,本文给出相关问题的解决办法。
超高频RFID读写器是与标签之间采用反向散射原理完成通信,根据当前主要的UHF频段空中接口标准ISO/IEC 18000-6C,标签在无源状态下以同频半双工方式通讯.基本的通信过程是,读写器采用幅移键控(ASK)等方式来调制载波,在特定频率的信道上将信息发送给一个或多个标签.之后读写器仍然需要发射CW载波,在指定的时间内来等待标签的应答。
零中频架构具有不需要中频环节,能够减小功耗,降低电路复杂度,易于调试等优点.零中频RFID数字接收机电路框图如图1所示.天线接收进来的射频信号通过环行器后直接进入下变频器,转换完成的基带信号通过LNA放大、低通滤波,输出两路I、Q基带信号交由基带进行数字信号处理。

图1 零中频RFID数字接收机电路框图
读写器的通信效果受到发射机输出功率、接收机灵敏度、收发天线增益、收发隔离度、标签功耗、标签天线增益,以及环境状况等参数的影响.其中,发射端最大有效全向发射功率(EIRP)受到国家无线电发射设备管制,收发隔离度受到环行器等器件隔离度限制(一般只能达到25dB),在标签、天线和环境等参数一定的条件下,接收机的性能对读写器整机性能起决定性作用。
2 接收机性能影响因素分析
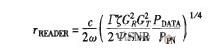
超高频RFID读写器接收机工作时也需要发射机发出无调制的载波.接收机接收到的包括标签反射信号、天线噪声、环境反射、发射机直接耦合,以及接收机自身的噪声等。在标签能获得足够工作能量的前提下,读写器的工作距离主要取决于标签反向散射信号在读写器的解调输出能否满足最低信噪比要求.根据文献[3],可用下面的公式来标示读写器决定的最大工作距离:

其中,C是电磁波在自由空间的传播速度,ω是电磁波信号的角频率,Г是标签功率反射系数,ξ是收发隔离系数,GR是读写器天线增益,Gt是标签天线增益,分母中的Ppn表示本振的单边带通带内相位噪声功率,可以计算本振已知的相位噪声数据或者使用频谱分析仪(SPA)直接测量获得.分子中的PDATA表示标签二进制数据序列的单边带通带内信号功率,可以数值计算的方式得到.根据公式,在标签参数、天线增益和收发隔离等参数一定的情况下,读写器的工作距离取决于接收机的信噪比性能(SNR),尤其是相位噪声以及降噪处理效果。
环境折反射干扰及相位噪声主要在载波频率附近,下变频之后表现为低频噪声;基带信号上混有常见的高频噪声,在密集读写器模式下,需要控制接收机带宽在一定范围以避免读写器之间相互干扰,因此需要对基带信号作带通滤波处理,以提高其信噪比。
直流偏移是零中频结构特有的一种干扰,是由于接收机中本振、发射机泄漏、环境反射等信号耦合到混频器输入端形成的。读写器收发同频造成了直流偏移远大于常规的接收机,加上常见工作距离只有3—5米,载波泄漏情况还受天馈及环境影响,直流偏移具有时变性.直流偏移不仅破坏了后级电路的直流工作点,还影响放大滤波电路的线性度性能,使信噪比变差.使用环行器的单天线设计中,环行器隔离度有限导致发射泄漏到接收端的强度大,直流偏移问题会更加严重,直流偏移、环境折反射引起的幅度相位干扰、本振相位噪声、ADC量化噪声等都可降低接收机的信噪比,提高其性能除了要在模拟射频电路上进行改进,还必须在基带信号处理算法上采取相应措施。
3 基带数字信号处理
为保证正确完成解码,基带数字信号处理需要完成噪声与干扰的消除,以适当的方式完成ASK信号判决.关键的处理措施包括:过采样与滤波、直流偏移校正、数据解码等。
3.1 过采样与滤波
根据奈奎斯特采样定理,为了使采样信号能恢复成原来的连续信号,采样频率至少应大于信号最高频率的两倍,过采样是在奈奎斯特频率的基础上将采样频率提高一个过采样倍律的水平,过采样能够降低有效带宽内量化噪声的功率,提高信噪比,相当于增加了ADC的分辩率,过采样得到的数据可以用CIC滤波器进行抽取,使数据率回到正常水平,再级联FIR滤波器进行带通滤波,进一步降低噪声功率,提高信噪比。
以常见的码率250kbps的ASK标签返回信号为例,为了能够和ADC芯片性能配合,选择过采样系数为40,则采样速率为20MSI焉.抽取之后的码率设定为回发数据码率的8倍,即2Mbps,CIC滤波级数为3。
FM0编码的绝大部分信号功率都在第一零点内,通常第一零点带宽位置为通信速率的2倍,加入时钟抖动后,其最大的第一零点带宽可达通信速率的2.5倍,因此,设置低通截止频率为650kHz;考虑同步头的V特征点,可设置高通截止频率为160kHz,以便在有限的资源条件下尽可能滤除带外噪声.图2为设计得到的带通滤波器幅频特性曲线。

图2 带通滤波器的幅频特性曲线
3.2 直流偏移校正
以电路硬件方式处理直流偏移的办法包括:交流耦合、载波消除、谐波混频、自校正补偿等,其中谐波混频处理、自校正补偿方法均较复杂,而实现的效果有局限性.文献[4]提到一种载波消除的处理方法,该方法需要同时在模拟射频和基带单元增加补偿电路及软件,增加了复杂程度和成本,且调试困难.文献[5]提到简单的通过电容交流耦合方式即可滤除信号直流部分来减轻直流偏移的干扰,这种方式是所有方案中结构最简单、成本最低,因而应用最广。
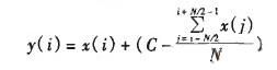
标签回发的数据帧同步头包括若干个前导零加前同步码,基带程序在规定时间内探测到同步头之后才能开始信息解码接收。交流耦合方式虽可减轻信号过载造成的干扰,但由于读写器工作在突发通信模式下,接收电路的阶跃响应特性会在同步头位置产生斜坡效应,往往导致同步判断错误,为处理斜坡,可以在基带信号处理前进行中值校正,该方法仅需要对采集的数据进行滑动窗跟踪和p-p值平均计,其原理是:

上式中c是标定的ADC数据中值,i是数据序号,x(i)为原始数据值,Y(i)表示该点的校正结果数据,n为滑动窗的大小,j是滑动窗计算序号。
除了部分数据头部因为失真无法复原以外,能够以较小的计算代价对通信帧的同步头数据进行还原,从而减轻直流偏移干扰对解码同步的影响。
3.3 数据解码
基带数据解码方法分为过零检测和相干检测两种,过零检测工作原理是设定一个阀值,对数据缓冲区内的每个数据样本都与中值相比较,如果该数据样本与中值的差值的绝对值大于阀值且大于平均值,就判定为1,否则都判为0。由于该方法的实现简便易行,甚至利用比较器就可以实现判决,在中低端读写器产品上使用广泛。
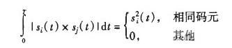
相干检测则具备更好的解码能力,能够在输入信嗓比较差的使用环境中达到远优于过零检测的性能,由于FM0编码采用正交编码方式,满足:

解码之前,需事先创建数据数组S0和S1作为表示FMO编码的0和1的码元模板.根据公式,输入数据分别与S0和S1作相关运算,运算结果即表示了输入信号与码元0和码元1之间的相关程度.码元模板按照采样倍数设置分段长度,相关运算也按照同样方式分段进行。由于码元模板S0和Sl也是正交的,所以与哪个的运算结果值大,则表明该输人数据代表的是哪个码元.由于标签返回信号允许有±22%的频偏,使得分段相干计算的起始位置难以界定.参考文献[6]的设计采用的是分成多组相关器同时计算的方法进行处理,占用FPGA资源较多.更好的方式是综合运用过零检测,间隔3-4个周期就对分段的起始位置进行校正,从而保证了分段计算过程与信号周期始终同步,这样在不过分增加资源消耗的情况下仍然可以达到同样的效果。
4 验证及分析
根据上述分析设计样机验证平台,其中基带的数字信号处理通过Altera CycloneII FPGA完成,实现的功能包括ADC驱动、FIFO缓冲、CIC滤波以及相关性判等,协议流程的处理交由FPGA内嵌的软核CPU完成,上述功能块按照外设的方式挂接在软核CPU内部总线上.全部功能块的设计以Altera提供的标准IP库为基础.测试时发射机天线端口输出功率30dBm,工作频率915MHz,使用7dBi的圆极化天线,标签使用Alien公司产品.设置标签距离天线8m,控制标签的回传速率为250kdBs。
ADC采集的原始数据曲线如下图3所示(横轴是采样个数,纵轴是采样数据值不同)。由于完整的通信帧数据较多,在此仅仅给出包含同步头和同步码的I路前半部分数据及其处理结果。

图3 ADC采集的原始数据曲线
可以看出,在零中频接收模拟输出除了所需要的标签回传数据外,数据帧同步头还混杂了直流偏移干扰以及高频噪声.由于距离较远,有用信号的p-p值仅有110,波形畸变严重,信噪比较差。
经过CIC及带通滤波,可以得到图4所示的曲线,此时滤波器去除了混杂的噪声,波形变得比较圆滑整齐,能够较容易的分辨出数据帧的同步头和数据位.图中同时显示了过零检测的解码曲线(位于图形下方,方波上边标注的是过零检测的0和1及其样本点数量;下方标注解码结果。2B4 :0,表示第2字节的第4位解码为0),该算法在横轴坐标240左边出现了解码判决错误(1B5:1,码元0被判决为1),表明处理畸变干扰能力有限。

图4 直接过零检测解码的效果
同时采用直流偏移校正和相干检测方法对同一个数据进行处理,得到的曲线及效果参见图5。解码结果波形显示算法改善了同步头的解码效果。同时,横轴坐标240左边被正确的解码(1B5:0),证明了该算法在远距离标签返回信号幅度比较小或者标签信号中值波动的情况下,仍然可以正确获得EPC数据。

图5 直流偏移校正及相干检测解码的效果
5 结论
本文通过分析零中频架构超高频RFID读写器数字接收机设计中的性能瓶颈,明确了影响接收性能的噪声干扰、直流偏移及解码问题的成因及解决思路.从基带数字信号处理角度,在过采样滤波处理基础上,给出直流偏移校正和相关解码等解决办法.经过测试验证,读写器最远能够稳定读取10m左右距离的标签,且能够自适应天馈和环境的变化,读取效果比市场上常见产品更为稳定可靠.证明达到了提高读写器作用距离的设计要求。
上一篇:采用模块化仪器应对新兴音频和视频测试
下一篇:车载FM收音机的性能测试


