- 易迪拓培训,专注于微波、射频、天线设计工程师的培养
应变式测试仪的设计
1 引言
火炮在膛内、飞行和撞击目标时的各种动态参数是获取研制和改进火炮系统中重要数据的必要手段。我国自行研制的火炮因缺少这些动态数据而给研制和改进工作带来诸多困难。火炮膛压测试要求测试仪器体积必须小于药室容积的2.5%,而目前的测试仪器不能满足小口径膛压测试。为减小测试仪器体积,利用存储技术设计出一种应变片式测试仪。这种测试仪能够满足中小口径火炮膛压测试要求,为研制各种新型火炮、弹药、引信系统提供有效的测试手段,具有广泛的民用推广价值。
2 系统工作原理
图1给出应变式测试仪结构。它由高强度弹性体、电阻应变片、电路模块等构成。弹性体感受到被测量时.产生变形,其表面产生应变,而粘贴在弹性体与表面的电阻应变片构成测试仪的传感器,它将随弹性体的变形而产生应变.即随电阻应变片的电阻值产生相应变化。这样,通过测量电阻应变片的电阻值变化来确定被测量值。待确定被测量值后,电路模块完成数据采集和存储。

3 测试仪结构设计
3.1 弹性体结构设计
应变式测试仪通过电阻应变片测量弹性体上贴片部位的应变来测量被测力的大小。若要保证贴片部位的应力与被测力保持严格的对应关系,实际上就是保证在测试仪受力时,弹性体上贴片部位的应变按某一规律分布。在实际应用中,影响弹性体贴片部位应变分布的较大因素主要是弹性体受力条件的变化。对于测试仪,在承载强度足够的条件下,若将弹性体贴片部位周围未贴片部分挖空。使得应力只能在未挖空的部位分布,或者通过局部削弱弹性体,造成局部的应力集中,这两种操作都能使电阻应变片粘贴处的应力高于其他部位的应力水平。图2给出设计的弹性体结构。

由于弹性体结构为变截面的厚板,由厚板变形理论分析可知,在r=0处,X向应力与Y向应力相等,切向应变与径向应变基本相等,而且具有正的最大值。采用ANSYS软件分析其在500 MPa外压条件下的应变,如图3所示。由图可见,弹性体在r=0处的应变最明显。因此,电阻应变片要粘贴在中心。

利用ANSYS软件对弹性体施加不同压力时,仿真得出弹性体贴片处在不同外压下的应变。利用仿真应变数据画出图4所示贴片部位的应变与外压关系。由图4可得。弹性体贴片处的应变按线性规律分布。

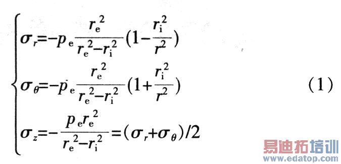
3.2 简体设计分析
图5给出简体受压作用图。

当简体受外压时,它的弹性变形应力为:

式中:ri为圆筒内半径;re为圆筒外半径;r为计算应力点的径向坐标;pe为外压。
Mises的屈服条件为:

根据Mises屈服条件,当该最大应力达到屈服应力时,内壁进入塑性状态。设外压最大为pEL,则有:
![]()
由式(6)中ri与re的关系,可设计出最大外压下,简体既处于弹性变形内,又使其体积最小的ri与re的值。
4 结语
通过对应变测试仪结构设计分析.提出了一种在电路模块体积已确定时,测试仪体积达到最小的设计方案。该设计优点在于利用测试仪壳体作为应变式传感器的敏感器件.这样既大大缩减测试仪安装压电传感器的空间.又提供最小体积的简体。实验结果证明,该设计方案有较好的实用性,使测试仪体积至少减小5~10 m3。
上一篇:.什么是NI FlexRIO?
下一篇:采用仪表放大器的0V压降分流器


